
Get the free (PDF) 838 PB 358 Control of Low-Temperature Germination of ...
Show details
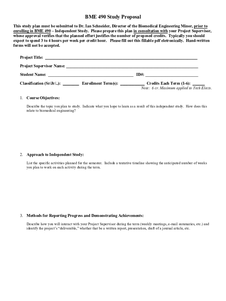
BME 490 Study Proposal This study plan must be submitted to Dr. Ian Schneider, Director of the Biomedical Engineering Minor, prior to enrolling in BME 490 Independent Study. Please prepare this plan
We are not affiliated with any brand or entity on this form
Get, Create, Make and Sign pdf 838 pb 358

Edit your pdf 838 pb 358 form online
Type text, complete fillable fields, insert images, highlight or blackout data for discretion, add comments, and more.

Add your legally-binding signature
Draw or type your signature, upload a signature image, or capture it with your digital camera.

Share your form instantly
Email, fax, or share your pdf 838 pb 358 form via URL. You can also download, print, or export forms to your preferred cloud storage service.
Editing pdf 838 pb 358 online
Here are the steps you need to follow to get started with our professional PDF editor:
1
Set up an account. If you are a new user, click Start Free Trial and establish a profile.
2
Prepare a file. Use the Add New button to start a new project. Then, using your device, upload your file to the system by importing it from internal mail, the cloud, or adding its URL.
3
Edit pdf 838 pb 358. Rearrange and rotate pages, add and edit text, and use additional tools. To save changes and return to your Dashboard, click Done. The Documents tab allows you to merge, divide, lock, or unlock files.
4
Save your file. Select it in the list of your records. Then, move the cursor to the right toolbar and choose one of the available exporting methods: save it in multiple formats, download it as a PDF, send it by email, or store it in the cloud.
The use of pdfFiller makes dealing with documents straightforward. Try it now!
Uncompromising security for your PDF editing and eSignature needs
Your private information is safe with pdfFiller. We employ end-to-end encryption, secure cloud storage, and advanced access control to protect your documents and maintain regulatory compliance.
How to fill out pdf 838 pb 358

How to fill out pdf 838 pb 358
01
To fill out PDF 838 PB 358, follow these steps:
1. Open the PDF file using a PDF reader or editor software.
02
Take a moment to review the information required in each field before proceeding.
03
Click on the first field that needs to be filled out.
04
Type in the necessary information using your keyboard.
05
Move on to the next field and repeat the process until all the required fields are filled.
06
If there are checkboxes or radio buttons, select the appropriate options.
07
Double-check the filled information to ensure accuracy and correctness.
08
Save the filled-out PDF form by clicking on the 'Save' or 'Save As' option.
09
Choose a location on your computer to save the file and give it a descriptive name.
10
Click 'Save' to save the filled-out PDF form.
11
Optionally, print a hard copy of the filled form for your records if needed.
Who needs pdf 838 pb 358?
01
PDF 838 PB 358 may be needed by individuals or organizations who...
02
- Require a specific document that uses the PDF 838 PB 358 format.
03
- Need to fill out the specific form for legal, administrative, or other purposes.
04
- Are involved in a process or procedure that requires the use of PDF 838 PB 358.
05
- Have received instructions or requests to fill out PDF 838 PB 358.
06
- Need to provide information or data in the required format as specified by PDF 838 PB 358.
07
- Want to maintain digital records or documentation using PDF 838 PB 358.
Fill
form
: Try Risk Free
For pdfFiller’s FAQs
Below is a list of the most common customer questions. If you can’t find an answer to your question, please don’t hesitate to reach out to us.
How can I send pdf 838 pb 358 for eSignature?
When you're ready to share your pdf 838 pb 358, you can swiftly email it to others and receive the eSigned document back. You may send your PDF through email, fax, text message, or USPS mail, or you can notarize it online. All of this may be done without ever leaving your account.
How do I execute pdf 838 pb 358 online?
pdfFiller makes it easy to finish and sign pdf 838 pb 358 online. It lets you make changes to original PDF content, highlight, black out, erase, and write text anywhere on a page, legally eSign your form, and more, all from one place. Create a free account and use the web to keep track of professional documents.
How do I fill out the pdf 838 pb 358 form on my smartphone?
The pdfFiller mobile app makes it simple to design and fill out legal paperwork. Complete and sign pdf 838 pb 358 and other papers using the app. Visit pdfFiller's website to learn more about the PDF editor's features.
What is pdf 838 pb 358?
PDF 838 PB 358 is the form required for reporting financial information to the relevant authorities.
Who is required to file pdf 838 pb 358?
Individuals or organizations with specific financial transactions must file PDF 838 PB 358.
How to fill out pdf 838 pb 358?
PDF 838 PB 358 can be filled out electronically or manually following the instructions provided on the form.
What is the purpose of pdf 838 pb 358?
The purpose of PDF 838 PB 358 is to enable accurate reporting of financial data to ensure compliance with regulations.
What information must be reported on pdf 838 pb 358?
PDF 838 PB 358 requires reporting of financial transactions, revenue, expenses, and other relevant financial information.
Fill out your pdf 838 pb 358 online with pdfFiller!
pdfFiller is an end-to-end solution for managing, creating, and editing documents and forms in the cloud. Save time and hassle by preparing your tax forms online.

Pdf 838 Pb 358 is not the form you're looking for?Search for another form here.
Relevant keywords
Related Forms
If you believe that this page should be taken down, please follow our DMCA take down process
here
.
This form may include fields for payment information. Data entered in these fields is not covered by PCI DSS compliance.