
Get the free Request Form for Correction, Addition, Suspension of Use, or Deletion of Personal In...
Show details
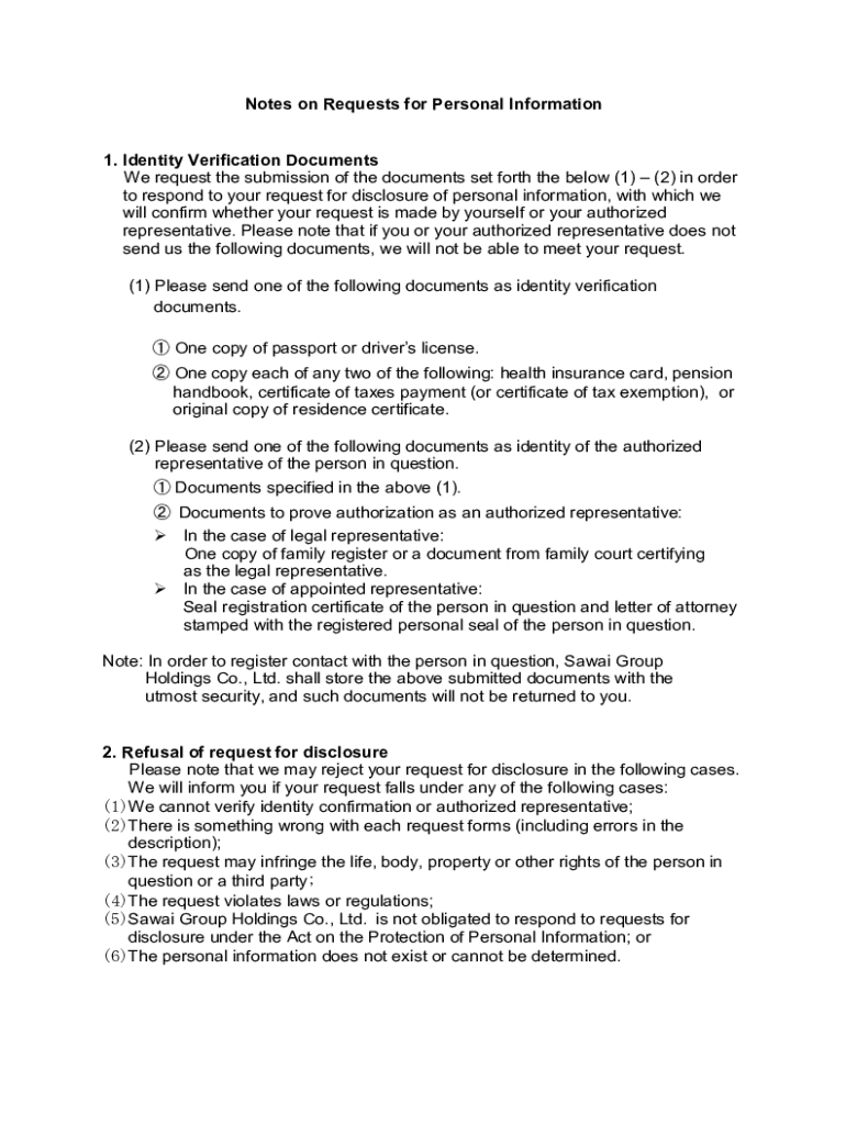
Notes on Requests for Personal Information 1. Identity Verification Documents We request the submission of the documents set forth the below (1) (2) in order to respond to your request for disclosure
We are not affiliated with any brand or entity on this form
Get, Create, Make and Sign request form for correction

Edit your request form for correction form online
Type text, complete fillable fields, insert images, highlight or blackout data for discretion, add comments, and more.

Add your legally-binding signature
Draw or type your signature, upload a signature image, or capture it with your digital camera.

Share your form instantly
Email, fax, or share your request form for correction form via URL. You can also download, print, or export forms to your preferred cloud storage service.
How to edit request form for correction online
Here are the steps you need to follow to get started with our professional PDF editor:
1
Check your account. It's time to start your free trial.
2
Prepare a file. Use the Add New button. Then upload your file to the system from your device, importing it from internal mail, the cloud, or by adding its URL.
3
Edit request form for correction. Add and replace text, insert new objects, rearrange pages, add watermarks and page numbers, and more. Click Done when you are finished editing and go to the Documents tab to merge, split, lock or unlock the file.
4
Get your file. When you find your file in the docs list, click on its name and choose how you want to save it. To get the PDF, you can save it, send an email with it, or move it to the cloud.
pdfFiller makes dealing with documents a breeze. Create an account to find out!
Uncompromising security for your PDF editing and eSignature needs
Your private information is safe with pdfFiller. We employ end-to-end encryption, secure cloud storage, and advanced access control to protect your documents and maintain regulatory compliance.
How to fill out request form for correction

How to fill out request form for correction
01
Obtain the request form for correction from the appropriate department or organization.
02
Read the instructions provided on the form carefully to understand the requirements and procedures.
03
Fill out the personal information section of the form, including your name, address, contact details, and any identification numbers required.
04
Clearly state the correction you are requesting and provide detailed information about the error or mistake that needs to be corrected.
05
Attach any necessary supporting documents or evidence that can help validate the need for the correction.
06
Review the completed form and ensure all fields are filled correctly and accurately.
07
Sign and date the form to certify the information provided.
08
Submit the completed request form to the designated department or organization, following any specified submission methods (e.g., in-person, mail, online).
09
Keep a copy of the filled-out request form and any supporting documents for your records.
10
Follow up with the department or organization if you haven't received a response within the specified timeline.
Who needs request form for correction?
01
Any individual or entity who has identified an error or mistake in an official document or record and wants to have it corrected.
Fill
form
: Try Risk Free
For pdfFiller’s FAQs
Below is a list of the most common customer questions. If you can’t find an answer to your question, please don’t hesitate to reach out to us.
How can I edit request form for correction from Google Drive?
Simplify your document workflows and create fillable forms right in Google Drive by integrating pdfFiller with Google Docs. The integration will allow you to create, modify, and eSign documents, including request form for correction, without leaving Google Drive. Add pdfFiller’s functionalities to Google Drive and manage your paperwork more efficiently on any internet-connected device.
How can I edit request form for correction on a smartphone?
The easiest way to edit documents on a mobile device is using pdfFiller’s mobile-native apps for iOS and Android. You can download those from the Apple Store and Google Play, respectively. You can learn more about the apps here. Install and log in to the application to start editing request form for correction.
How do I edit request form for correction on an iOS device?
Yes, you can. With the pdfFiller mobile app, you can instantly edit, share, and sign request form for correction on your iOS device. Get it at the Apple Store and install it in seconds. The application is free, but you will have to create an account to purchase a subscription or activate a free trial.
What is request form for correction?
A request form for correction is a formal document used to request amendments or corrections to previously submitted information, such as tax filings, records, or other official documents.
Who is required to file request form for correction?
Individuals or entities that have submitted incorrect information in official documents are required to file a request form for correction.
How to fill out request form for correction?
To fill out the request form for correction, provide accurate personal or business details, specify the section needing correction, outline the reasons for the correction, and attach any supporting documentation.
What is the purpose of request form for correction?
The purpose of the request form for correction is to ensure that accurate and updated information is reflected in official records, thereby preventing potential issues or penalties.
What information must be reported on request form for correction?
The request form for correction must include the individual's or entity's identification information, details of the original submission, description of the error, and the desired correction.
Fill out your request form for correction online with pdfFiller!
pdfFiller is an end-to-end solution for managing, creating, and editing documents and forms in the cloud. Save time and hassle by preparing your tax forms online.

Request Form For Correction is not the form you're looking for?Search for another form here.
Relevant keywords
Related Forms
If you believe that this page should be taken down, please follow our DMCA take down process
here
.
This form may include fields for payment information. Data entered in these fields is not covered by PCI DSS compliance.