
Get the free M.TH. CONFIDENTIAL FORM
Show details
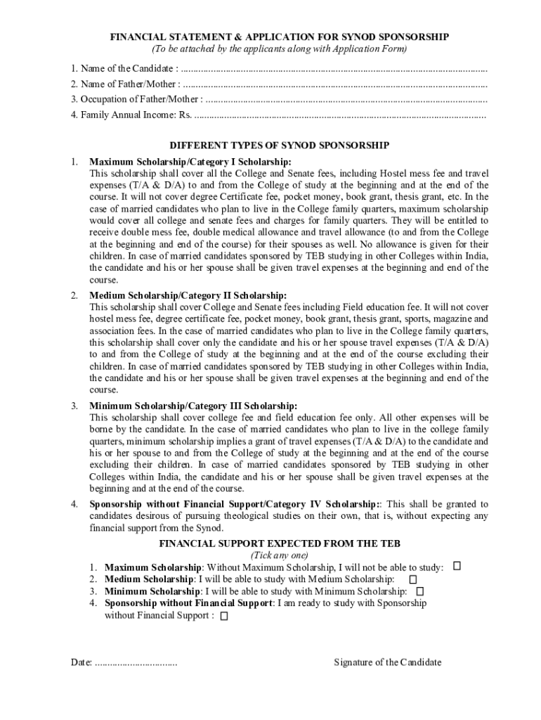
FINANCIAL STATEMENT & APPLICATION FOR SYNOD SPONSORSHIP (To be attached by the applicants along with Application Form) 1. Name of the Candidate : ...........................................................................................................................
We are not affiliated with any brand or entity on this form
Get, Create, Make and Sign mth confidential form

Edit your mth confidential form form online
Type text, complete fillable fields, insert images, highlight or blackout data for discretion, add comments, and more.

Add your legally-binding signature
Draw or type your signature, upload a signature image, or capture it with your digital camera.

Share your form instantly
Email, fax, or share your mth confidential form form via URL. You can also download, print, or export forms to your preferred cloud storage service.
Editing mth confidential form online
Follow the steps down below to take advantage of the professional PDF editor:
1
Set up an account. If you are a new user, click Start Free Trial and establish a profile.
2
Upload a document. Select Add New on your Dashboard and transfer a file into the system in one of the following ways: by uploading it from your device or importing from the cloud, web, or internal mail. Then, click Start editing.
3
Edit mth confidential form. Rearrange and rotate pages, insert new and alter existing texts, add new objects, and take advantage of other helpful tools. Click Done to apply changes and return to your Dashboard. Go to the Documents tab to access merging, splitting, locking, or unlocking functions.
4
Save your file. Select it from your records list. Then, click the right toolbar and select one of the various exporting options: save in numerous formats, download as PDF, email, or cloud.
pdfFiller makes dealing with documents a breeze. Create an account to find out!
Uncompromising security for your PDF editing and eSignature needs
Your private information is safe with pdfFiller. We employ end-to-end encryption, secure cloud storage, and advanced access control to protect your documents and maintain regulatory compliance.
How to fill out mth confidential form

How to fill out mth confidential form
01
To fill out the MTH confidential form, follow these steps:
02
- Obtain a copy of the form either from the official MTH website or from the organization/company requiring the form.
03
- Read the instructions provided with the form carefully to understand the purpose and requirements.
04
- Start by filling out your personal information, such as your name, contact information, and any identification numbers requested.
05
- Proceed to provide details about the confidential information that needs to be disclosed, ensuring accuracy and clarity.
06
- If necessary, attach any supporting documents or evidence required to substantiate the confidential information provided.
07
- Review the completed form to ensure all required fields are filled out correctly.
08
- Once satisfied, sign and date the form in the designated sections.
09
- Submit the filled-out form to the appropriate organization/company through the specified submission method, such as mail, email, or in-person delivery.
10
Note: It is advisable to keep a copy of the filled-out form for your records in case of any future reference or need.
Who needs mth confidential form?
01
The MTH confidential form is typically needed by individuals or organizations that require you to provide confidential information. Common entities that may request this form include employers, educational institutions, healthcare providers, government agencies, and financial institutions. It is best to consult the specific entity requesting the form to determine if you are required to fill it out.
Fill
form
: Try Risk Free
For pdfFiller’s FAQs
Below is a list of the most common customer questions. If you can’t find an answer to your question, please don’t hesitate to reach out to us.
How can I modify mth confidential form without leaving Google Drive?
You can quickly improve your document management and form preparation by integrating pdfFiller with Google Docs so that you can create, edit and sign documents directly from your Google Drive. The add-on enables you to transform your mth confidential form into a dynamic fillable form that you can manage and eSign from any internet-connected device.
How can I get mth confidential form?
The premium subscription for pdfFiller provides you with access to an extensive library of fillable forms (over 25M fillable templates) that you can download, fill out, print, and sign. You won’t have any trouble finding state-specific mth confidential form and other forms in the library. Find the template you need and customize it using advanced editing functionalities.
Can I create an electronic signature for the mth confidential form in Chrome?
You can. With pdfFiller, you get a strong e-signature solution built right into your Chrome browser. Using our addon, you may produce a legally enforceable eSignature by typing, sketching, or photographing it. Choose your preferred method and eSign in minutes.
What is mth confidential form?
The mth confidential form is a document used to report confidential information.
Who is required to file mth confidential form?
Only individuals with access to confidential information are required to file the mth confidential form.
How to fill out mth confidential form?
The mth confidential form can be filled out online or by hand, following the instructions provided.
What is the purpose of mth confidential form?
The purpose of the mth confidential form is to ensure that confidential information is properly reported and protected.
What information must be reported on mth confidential form?
The mth confidential form requires individuals to report details of any confidential information they have access to.
Fill out your mth confidential form online with pdfFiller!
pdfFiller is an end-to-end solution for managing, creating, and editing documents and forms in the cloud. Save time and hassle by preparing your tax forms online.

Mth Confidential Form is not the form you're looking for?Search for another form here.
Relevant keywords
Related Forms
If you believe that this page should be taken down, please follow our DMCA take down process
here
.
This form may include fields for payment information. Data entered in these fields is not covered by PCI DSS compliance.