
Get the free Equipment Competition ROADEOS - midatlantic apwa
Show details
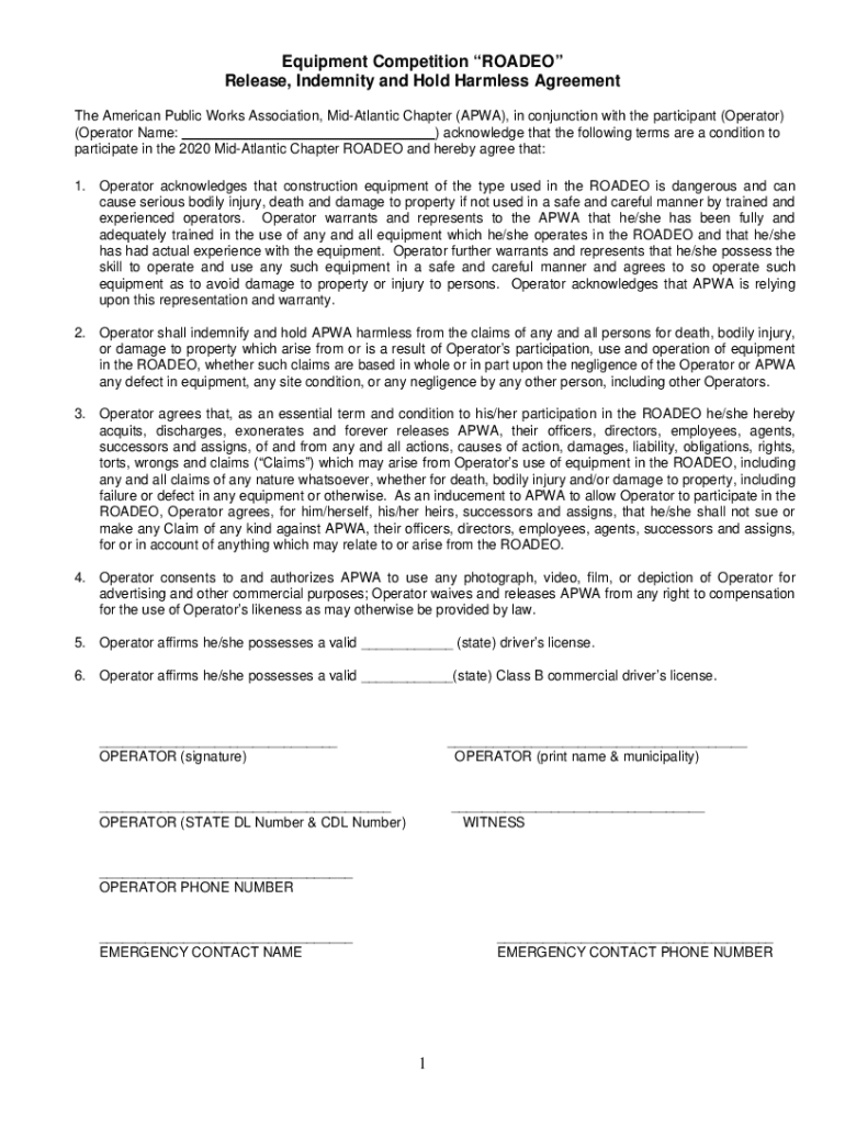
Equipment Competition RODEO Release, Indemnity and Hold Harmless Agreement The American Public Works Association, mid-Atlantic Chapter (APA), in conjunction with the participant (Operator) (Operator
We are not affiliated with any brand or entity on this form
Get, Create, Make and Sign equipment competition roadeos

Edit your equipment competition roadeos form online
Type text, complete fillable fields, insert images, highlight or blackout data for discretion, add comments, and more.

Add your legally-binding signature
Draw or type your signature, upload a signature image, or capture it with your digital camera.

Share your form instantly
Email, fax, or share your equipment competition roadeos form via URL. You can also download, print, or export forms to your preferred cloud storage service.
How to edit equipment competition roadeos online
Use the instructions below to start using our professional PDF editor:
1
Set up an account. If you are a new user, click Start Free Trial and establish a profile.
2
Upload a document. Select Add New on your Dashboard and transfer a file into the system in one of the following ways: by uploading it from your device or importing from the cloud, web, or internal mail. Then, click Start editing.
3
Edit equipment competition roadeos. Add and change text, add new objects, move pages, add watermarks and page numbers, and more. Then click Done when you're done editing and go to the Documents tab to merge or split the file. If you want to lock or unlock the file, click the lock or unlock button.
4
Get your file. When you find your file in the docs list, click on its name and choose how you want to save it. To get the PDF, you can save it, send an email with it, or move it to the cloud.
pdfFiller makes dealing with documents a breeze. Create an account to find out!
Uncompromising security for your PDF editing and eSignature needs
Your private information is safe with pdfFiller. We employ end-to-end encryption, secure cloud storage, and advanced access control to protect your documents and maintain regulatory compliance.
How to fill out equipment competition roadeos

How to fill out equipment competition roadeos
01
Gather all necessary information and required documents for the equipment competition roadeos.
02
Review the competition guidelines and rules to understand the requirements and scoring criteria.
03
Prepare the necessary forms and paperwork, such as registration forms, liability waivers, and equipment inspection checklists.
04
Ensure that all participating equipment and vehicles are in proper working condition and meet the safety requirements.
05
Set up the competition area with the designated obstacles, challenges, and measuring tools.
06
Provide clear instructions to the participants regarding the competition format, time limits, and scoring system.
07
Conduct a briefing session to explain the rules, safety precautions, and any specific instructions for each competition event.
08
Begin the competition and closely monitor the participants' performance while ensuring their safety.
09
Evaluate and score each participant's performance based on their ability to complete the challenges accurately and efficiently.
10
Announce the winners and present them with the appropriate awards or recognitions.
Who needs equipment competition roadeos?
01
Equipment competition roadeos are typically organized for professionals in the construction, utility, and transportation industries.
02
Construction companies and contractors may participate to showcase their equipment operators' skills and abilities.
03
Utility companies, such as electric, gas, or telecommunications providers, can use roadeos to train and evaluate their employees' performance in operating specialized equipment.
04
Public works departments and government organizations often organize roadeos to promote safe and efficient equipment operations among their staff.
05
Equipment manufacturers and dealers may also host roadeos as a marketing event to demonstrate the capabilities and features of their machinery to potential customers and clients.
Fill
form
: Try Risk Free
For pdfFiller’s FAQs
Below is a list of the most common customer questions. If you can’t find an answer to your question, please don’t hesitate to reach out to us.
How do I edit equipment competition roadeos in Chrome?
Add pdfFiller Google Chrome Extension to your web browser to start editing equipment competition roadeos and other documents directly from a Google search page. The service allows you to make changes in your documents when viewing them in Chrome. Create fillable documents and edit existing PDFs from any internet-connected device with pdfFiller.
How do I fill out the equipment competition roadeos form on my smartphone?
You can easily create and fill out legal forms with the help of the pdfFiller mobile app. Complete and sign equipment competition roadeos and other documents on your mobile device using the application. Visit pdfFiller’s webpage to learn more about the functionalities of the PDF editor.
How do I edit equipment competition roadeos on an iOS device?
Create, modify, and share equipment competition roadeos using the pdfFiller iOS app. Easy to install from the Apple Store. You may sign up for a free trial and then purchase a membership.
What is equipment competition roadeos?
Equipment competition roadeos are events where operators compete in the safe and efficient use of equipment, showcasing their skills through various challenges and demonstrations.
Who is required to file equipment competition roadeos?
Individuals or organizations that participate in equipment competition roadeos are typically required to file reports, including operators and sponsors of the events.
How to fill out equipment competition roadeos?
To fill out equipment competition roadeos, participants must complete the designated forms provided by the organizing body, detailing their usage, performance, and other relevant information as specified.
What is the purpose of equipment competition roadeos?
The purpose of equipment competition roadeos is to promote safety, improve skills, and recognize qualified operators while fostering a sense of community among those in the equipment operation field.
What information must be reported on equipment competition roadeos?
Participants must report data including operator details, equipment used, performance metrics, and any incidents that occurred during the competition.
Fill out your equipment competition roadeos online with pdfFiller!
pdfFiller is an end-to-end solution for managing, creating, and editing documents and forms in the cloud. Save time and hassle by preparing your tax forms online.

Equipment Competition Roadeos is not the form you're looking for?Search for another form here.
Relevant keywords
Related Forms
If you believe that this page should be taken down, please follow our DMCA take down process
here
.
This form may include fields for payment information. Data entered in these fields is not covered by PCI DSS compliance.