
Get the free Each time there is a highly publicized school shooting ...
Show details
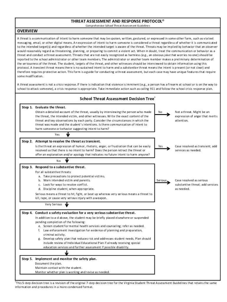
THREAT ASSESSMENT AND RESPONSE PROTOCOL Comprehensive School Threat Assessment GuidelinesOVERVIEW A threat is a communication of intent to harm someone that may be spoken, written, gestured, or expressed
We are not affiliated with any brand or entity on this form
Get, Create, Make and Sign each time formre is

Edit your each time formre is form online
Type text, complete fillable fields, insert images, highlight or blackout data for discretion, add comments, and more.

Add your legally-binding signature
Draw or type your signature, upload a signature image, or capture it with your digital camera.

Share your form instantly
Email, fax, or share your each time formre is form via URL. You can also download, print, or export forms to your preferred cloud storage service.
How to edit each time formre is online
Here are the steps you need to follow to get started with our professional PDF editor:
1
Register the account. Begin by clicking Start Free Trial and create a profile if you are a new user.
2
Prepare a file. Use the Add New button. Then upload your file to the system from your device, importing it from internal mail, the cloud, or by adding its URL.
3
Edit each time formre is. Replace text, adding objects, rearranging pages, and more. Then select the Documents tab to combine, divide, lock or unlock the file.
4
Get your file. Select the name of your file in the docs list and choose your preferred exporting method. You can download it as a PDF, save it in another format, send it by email, or transfer it to the cloud.
With pdfFiller, dealing with documents is always straightforward. Now is the time to try it!
Uncompromising security for your PDF editing and eSignature needs
Your private information is safe with pdfFiller. We employ end-to-end encryption, secure cloud storage, and advanced access control to protect your documents and maintain regulatory compliance.
How to fill out each time formre is

How to fill out each time formre is
01
Start by reading the instructions provided with the time formre is.
02
Look for the relevant sections on the form that need to be filled out.
03
Fill in your personal information accurately, such as your name, address, and contact details.
04
Provide the date and time for which you are filling out the formre is.
05
Fill in any additional information or details that are requested on the formre is.
06
Double-check all the information you have entered for accuracy and completeness.
07
Sign and date the formre is as required.
08
Make a copy of the completed formre is for your records, if needed.
09
Submit the formre is to the designated authority or organization, following the provided instructions.
Who needs each time formre is?
01
Anyone who needs to document and record their activities or events at specific times.
02
Organizations or businesses that require accurate time tracking for various purposes.
03
Individuals or professionals who need to track tasks or activities within specific timeframes.
04
People who need to provide evidence of their presence or engagement at certain times.
05
Authorities or regulatory bodies that require time-related information for compliance or legal purposes.
Fill
form
: Try Risk Free
For pdfFiller’s FAQs
Below is a list of the most common customer questions. If you can’t find an answer to your question, please don’t hesitate to reach out to us.
How do I edit each time formre is in Chrome?
Adding the pdfFiller Google Chrome Extension to your web browser will allow you to start editing each time formre is and other documents right away when you search for them on a Google page. People who use Chrome can use the service to make changes to their files while they are on the Chrome browser. pdfFiller lets you make fillable documents and make changes to existing PDFs from any internet-connected device.
Can I create an electronic signature for signing my each time formre is in Gmail?
Create your eSignature using pdfFiller and then eSign your each time formre is immediately from your email with pdfFiller's Gmail add-on. To keep your signatures and signed papers, you must create an account.
How do I complete each time formre is on an iOS device?
Make sure you get and install the pdfFiller iOS app. Next, open the app and log in or set up an account to use all of the solution's editing tools. If you want to open your each time formre is, you can upload it from your device or cloud storage, or you can type the document's URL into the box on the right. After you fill in all of the required fields in the document and eSign it, if that is required, you can save or share it with other people.
What is each time formre is?
Each time formre is refers to a specific form required to be filed with certain information.
Who is required to file each time formre is?
Each time formre is required to be filed by individuals or entities as per the regulations.
How to fill out each time formre is?
Each time formre is filled out by providing the requested information accurately and completely.
What is the purpose of each time formre is?
The purpose of each time formre is is to report specific information to the relevant authorities.
What information must be reported on each time formre is?
Each time formre is requires reporting of information such as income, expenses, or other relevant data.
Fill out your each time formre is online with pdfFiller!
pdfFiller is an end-to-end solution for managing, creating, and editing documents and forms in the cloud. Save time and hassle by preparing your tax forms online.

Each Time Formre Is is not the form you're looking for?Search for another form here.
Relevant keywords
Related Forms
If you believe that this page should be taken down, please follow our DMCA take down process
here
.
This form may include fields for payment information. Data entered in these fields is not covered by PCI DSS compliance.