
Get the free Title IX Summary - HomeU.S. Department of Education
Show details
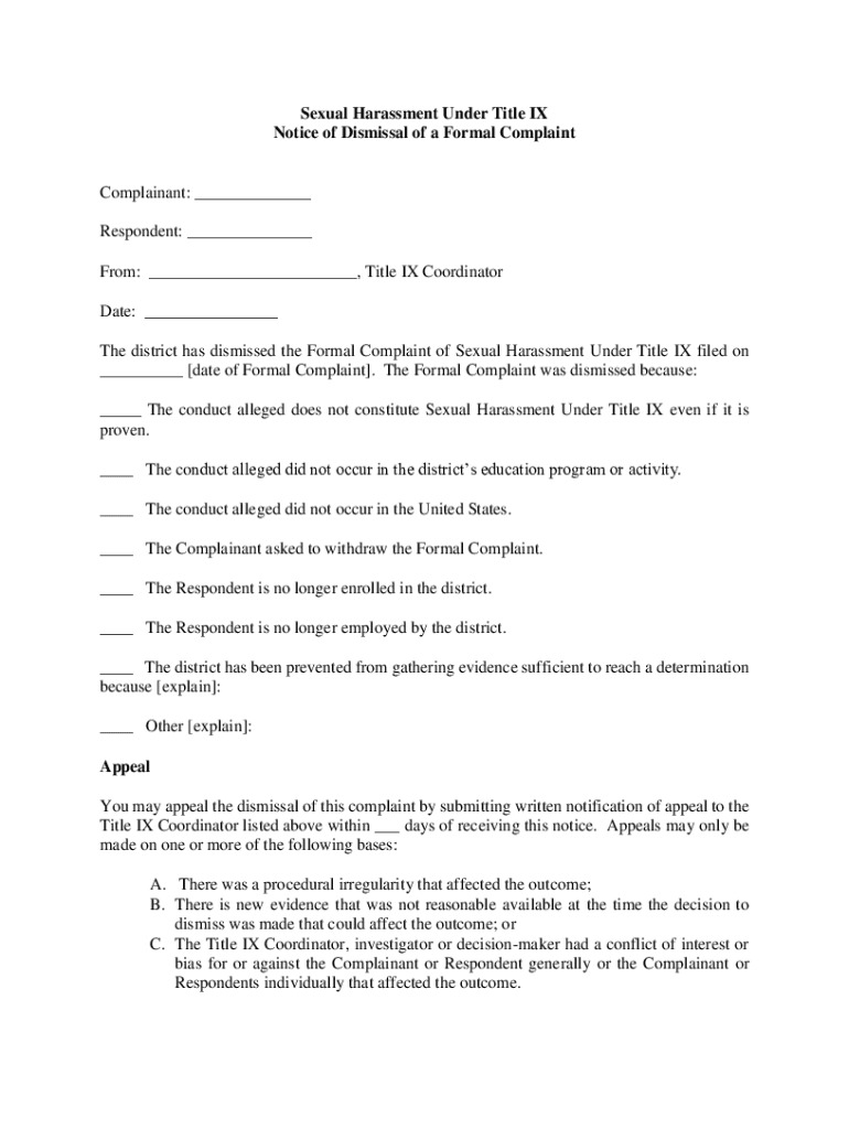
Sexual Harassment Under Title IX Notice of Dismissal of a Formal ComplaintComplainant: Respondent: From:, Title IX Coordinator Date: The district has dismissed the Formal Complaint of Sexual Harassment
We are not affiliated with any brand or entity on this form
Get, Create, Make and Sign title ix summary

Edit your title ix summary form online
Type text, complete fillable fields, insert images, highlight or blackout data for discretion, add comments, and more.

Add your legally-binding signature
Draw or type your signature, upload a signature image, or capture it with your digital camera.

Share your form instantly
Email, fax, or share your title ix summary form via URL. You can also download, print, or export forms to your preferred cloud storage service.
Editing title ix summary online
Here are the steps you need to follow to get started with our professional PDF editor:
1
Create an account. Begin by choosing Start Free Trial and, if you are a new user, establish a profile.
2
Prepare a file. Use the Add New button to start a new project. Then, using your device, upload your file to the system by importing it from internal mail, the cloud, or adding its URL.
3
Edit title ix summary. Rearrange and rotate pages, insert new and alter existing texts, add new objects, and take advantage of other helpful tools. Click Done to apply changes and return to your Dashboard. Go to the Documents tab to access merging, splitting, locking, or unlocking functions.
4
Get your file. Select the name of your file in the docs list and choose your preferred exporting method. You can download it as a PDF, save it in another format, send it by email, or transfer it to the cloud.
pdfFiller makes dealing with documents a breeze. Create an account to find out!
Uncompromising security for your PDF editing and eSignature needs
Your private information is safe with pdfFiller. We employ end-to-end encryption, secure cloud storage, and advanced access control to protect your documents and maintain regulatory compliance.
How to fill out title ix summary

How to fill out title ix summary
01
Begin by identifying the key details of the incident or complaint that needs to be summarized.
02
Start by summarizing the nature of the incident or complaint briefly.
03
Include important dates, locations, and persons involved in the incident or complaint.
04
Provide a clear and concise description of the alleged violation of Title IX and any relevant policies or regulations.
05
Present a summary of the actions taken by the institution to address the incident or complaint.
06
Summarize any outcomes or resolutions related to the incident or complaint, including disciplinary actions or changes in policies or procedures.
07
Review the summary for clarity, accuracy, and compliance with applicable guidelines or requirements.
08
Make any necessary revisions and ensure that the summary is comprehensive and complete.
09
Seek feedback or input from relevant stakeholders, such as legal counsel or Title IX coordinators, to ensure the summary is accurate and thorough.
10
Once finalized, distribute the Title IX summary to appropriate parties or authorities, as required.
Who needs title ix summary?
01
Title IX summary is required by institutions that receive federal funding, particularly educational institutions such as colleges, universities, and K-12 schools.
02
Title IX coordinators, administrators, or legal personnel involved in handling sexual harassment or discrimination complaints may need the summary to understand and address the issues raised.
03
Students or employees who have filed a complaint or are directly involved in a Title IX investigation may also benefit from having access to a clear and concise summary of the incident or complaint.
Fill
form
: Try Risk Free
For pdfFiller’s FAQs
Below is a list of the most common customer questions. If you can’t find an answer to your question, please don’t hesitate to reach out to us.
Can I create an electronic signature for signing my title ix summary in Gmail?
You may quickly make your eSignature using pdfFiller and then eSign your title ix summary right from your mailbox using pdfFiller's Gmail add-on. Please keep in mind that in order to preserve your signatures and signed papers, you must first create an account.
How do I edit title ix summary on an Android device?
You can make any changes to PDF files, like title ix summary, with the help of the pdfFiller Android app. Edit, sign, and send documents right from your phone or tablet. You can use the app to make document management easier wherever you are.
How do I complete title ix summary on an Android device?
Use the pdfFiller mobile app to complete your title ix summary on an Android device. The application makes it possible to perform all needed document management manipulations, like adding, editing, and removing text, signing, annotating, and more. All you need is your smartphone and an internet connection.
What is title ix summary?
Title IX summary is a document that provides a summary of the institution's compliance with Title IX of the Education Amendments of 1972.
Who is required to file title ix summary?
All educational institutions that receive federal funding are required to file Title IX summaries.
How to fill out title ix summary?
Title IX summaries can be filled out online through the Department of Education's reporting system.
What is the purpose of title ix summary?
The purpose of Title IX summary is to ensure that educational institutions are in compliance with Title IX regulations and to promote gender equality in education.
What information must be reported on title ix summary?
Title IX summaries must include information on the number of reports of sexual misconduct, investigations conducted, and outcomes of those investigations.
Fill out your title ix summary online with pdfFiller!
pdfFiller is an end-to-end solution for managing, creating, and editing documents and forms in the cloud. Save time and hassle by preparing your tax forms online.

Title Ix Summary is not the form you're looking for?Search for another form here.
Relevant keywords
Related Forms
If you believe that this page should be taken down, please follow our DMCA take down process
here
.
This form may include fields for payment information. Data entered in these fields is not covered by PCI DSS compliance.