
Get the free Q & As from Wrightslaw: LRETransitionThe Wrightslaw Way - hawks mono k12 wv
Show details
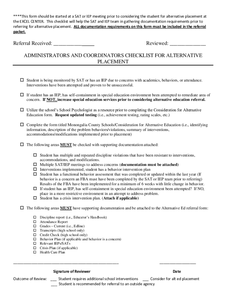
****This form should be started at a SAT or IEP meeting prior to considering the student for alternative placement at the EXCEL CENTER. This checklist will help the SAT and IEP team in gathering documentation
We are not affiliated with any brand or entity on this form
Get, Create, Make and Sign q ampamp as from

Edit your q ampamp as from form online
Type text, complete fillable fields, insert images, highlight or blackout data for discretion, add comments, and more.

Add your legally-binding signature
Draw or type your signature, upload a signature image, or capture it with your digital camera.

Share your form instantly
Email, fax, or share your q ampamp as from form via URL. You can also download, print, or export forms to your preferred cloud storage service.
How to edit q ampamp as from online
Use the instructions below to start using our professional PDF editor:
1
Register the account. Begin by clicking Start Free Trial and create a profile if you are a new user.
2
Upload a document. Select Add New on your Dashboard and transfer a file into the system in one of the following ways: by uploading it from your device or importing from the cloud, web, or internal mail. Then, click Start editing.
3
Edit q ampamp as from. Rearrange and rotate pages, add and edit text, and use additional tools. To save changes and return to your Dashboard, click Done. The Documents tab allows you to merge, divide, lock, or unlock files.
4
Get your file. Select your file from the documents list and pick your export method. You may save it as a PDF, email it, or upload it to the cloud.
Dealing with documents is simple using pdfFiller.
Uncompromising security for your PDF editing and eSignature needs
Your private information is safe with pdfFiller. We employ end-to-end encryption, secure cloud storage, and advanced access control to protect your documents and maintain regulatory compliance.
How to fill out q ampamp as from

How to fill out q ampamp as from
01
To fill out the Q&A form, follow these steps:
02
Start by downloading the Q&A form from the designated source.
03
Open the downloaded form using a PDF reader or editing software.
04
Read the instructions provided on the form carefully to understand the requirements.
05
Enter your personal information in the designated fields, such as your name, address, and contact details.
06
Answer each question in the form by providing the requested information.
07
Use additional sheets if necessary to provide detailed explanations or attach supporting documents when requested.
08
Double-check all the entered information for accuracy and completeness.
09
Save the filled form and print a copy for your records.
10
Submit the filled form as per the instructions provided, either by mail or electronically.
11
Keep a copy of the submitted form along with any supporting documents for future reference.
Who needs q ampamp as from?
01
The Q&A form is typically needed by individuals or organizations who are required to provide specific information or answer questions related to a particular process, application, or legal requirement.
02
Examples of those who may need to fill out Q&A forms include:
03
- Job applicants applying for positions that require additional information beyond a resume or cover letter.
04
- Visa applicants who need to provide detailed information about their background, travel history, and purpose of visit.
05
- Students applying for scholarships or grants, where additional information may be needed to evaluate their eligibility.
06
- Individuals seeking legal assistance or applying for legal aid, where providing detailed information helps in assessing their case.
07
- Companies or individuals involved in contractual agreements or business transactions that require disclosure of specific details.
08
It is essential to understand the specific requirements and instructions provided alongside the Q&A form to determine if it applies to your situation.
Fill
form
: Try Risk Free
For pdfFiller’s FAQs
Below is a list of the most common customer questions. If you can’t find an answer to your question, please don’t hesitate to reach out to us.
How do I complete q ampamp as from online?
With pdfFiller, you may easily complete and sign q ampamp as from online. It lets you modify original PDF material, highlight, blackout, erase, and write text anywhere on a page, legally eSign your document, and do a lot more. Create a free account to handle professional papers online.
How do I make edits in q ampamp as from without leaving Chrome?
Adding the pdfFiller Google Chrome Extension to your web browser will allow you to start editing q ampamp as from and other documents right away when you search for them on a Google page. People who use Chrome can use the service to make changes to their files while they are on the Chrome browser. pdfFiller lets you make fillable documents and make changes to existing PDFs from any internet-connected device.
How do I fill out q ampamp as from on an Android device?
On Android, use the pdfFiller mobile app to finish your q ampamp as from. Adding, editing, deleting text, signing, annotating, and more are all available with the app. All you need is a smartphone and internet.
What is q ampamp as from?
Q& as From is a form used to report financial transactions.
Who is required to file q ampamp as from?
Individuals and entities who have conducted financial transactions are required to file Q& as From.
How to fill out q ampamp as from?
Q& as From can be filled out electronically or manually, providing details of the financial transactions.
What is the purpose of q ampamp as from?
The purpose of Q& as From is to ensure transparency and track financial transactions.
What information must be reported on q ampamp as from?
Q& as From requires information such as date of transaction, amount, parties involved, and purpose of the transaction.
Fill out your q ampamp as from online with pdfFiller!
pdfFiller is an end-to-end solution for managing, creating, and editing documents and forms in the cloud. Save time and hassle by preparing your tax forms online.

Q Ampamp As From is not the form you're looking for?Search for another form here.
Relevant keywords
Related Forms
If you believe that this page should be taken down, please follow our DMCA take down process
here
.
This form may include fields for payment information. Data entered in these fields is not covered by PCI DSS compliance.