
Get the free leginfo.legislature.ca.govfacescodesdisplayCodes: Code Search - California Legislati...
Show details
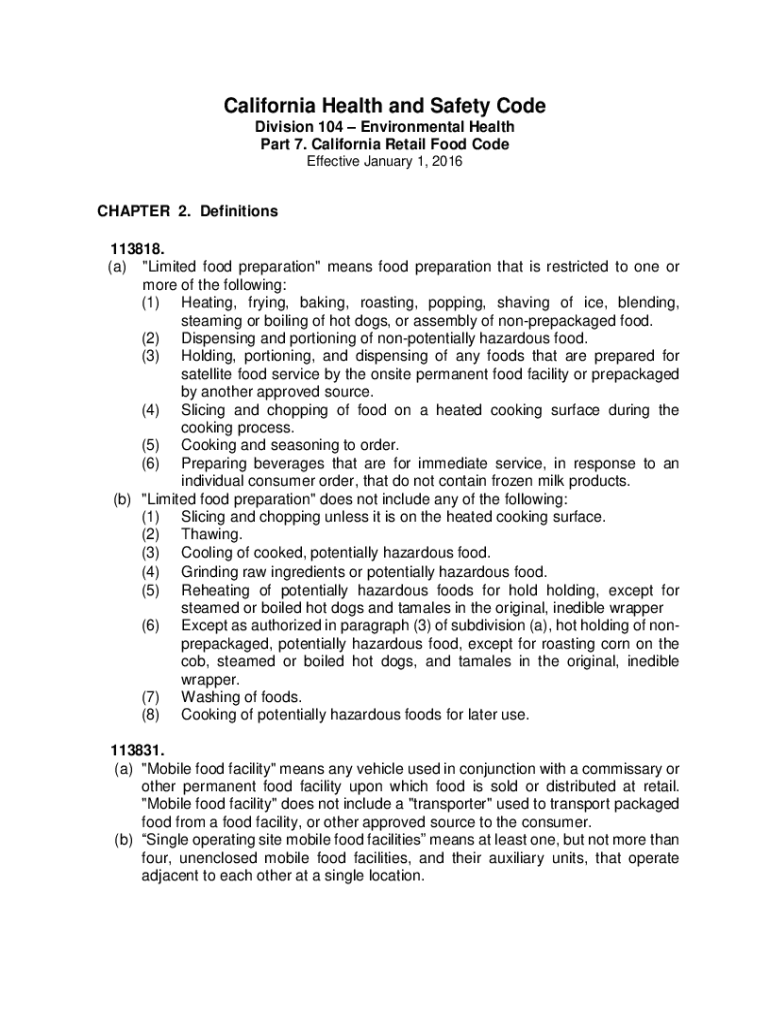
California Health and Safety Code Division 104 Environmental Health Part 7. California Retail Food Code Effective January 1, 2016CHAPTER 2. Definitions 113818. (a) Limited food preparation means food
We are not affiliated with any brand or entity on this form
Get, Create, Make and Sign leginfolegislaturecagovfacescodesdisplaycodes code search

Edit your leginfolegislaturecagovfacescodesdisplaycodes code search form online
Type text, complete fillable fields, insert images, highlight or blackout data for discretion, add comments, and more.

Add your legally-binding signature
Draw or type your signature, upload a signature image, or capture it with your digital camera.

Share your form instantly
Email, fax, or share your leginfolegislaturecagovfacescodesdisplaycodes code search form via URL. You can also download, print, or export forms to your preferred cloud storage service.
Editing leginfolegislaturecagovfacescodesdisplaycodes code search online
To use the professional PDF editor, follow these steps below:
1
Log in. Click Start Free Trial and create a profile if necessary.
2
Upload a document. Select Add New on your Dashboard and transfer a file into the system in one of the following ways: by uploading it from your device or importing from the cloud, web, or internal mail. Then, click Start editing.
3
Edit leginfolegislaturecagovfacescodesdisplaycodes code search. Replace text, adding objects, rearranging pages, and more. Then select the Documents tab to combine, divide, lock or unlock the file.
4
Get your file. Select your file from the documents list and pick your export method. You may save it as a PDF, email it, or upload it to the cloud.
pdfFiller makes dealing with documents a breeze. Create an account to find out!
Uncompromising security for your PDF editing and eSignature needs
Your private information is safe with pdfFiller. We employ end-to-end encryption, secure cloud storage, and advanced access control to protect your documents and maintain regulatory compliance.
How to fill out leginfolegislaturecagovfacescodesdisplaycodes code search

How to fill out leginfolegislaturecagovfacescodesdisplaycodes code search
01
Go to the website leginfo.legislature.ca.gov.
02
On the navigation menu, click on 'Codes'.
03
On the Codes page, click on 'Display All Codes'.
04
Scroll down to find the 'Code Search' section.
05
In the 'Code Search' section, enter the desired code in the search box.
06
Click on the 'Search' button to initiate the search.
07
The search results will be displayed based on the entered code.
Who needs leginfolegislaturecagovfacescodesdisplaycodes code search?
01
Legislators
02
Lawyers
03
Legal researchers
04
Students studying law
05
Anyone interested in California state codes
Fill
form
: Try Risk Free
For pdfFiller’s FAQs
Below is a list of the most common customer questions. If you can’t find an answer to your question, please don’t hesitate to reach out to us.
How can I manage my leginfolegislaturecagovfacescodesdisplaycodes code search directly from Gmail?
Using pdfFiller's Gmail add-on, you can edit, fill out, and sign your leginfolegislaturecagovfacescodesdisplaycodes code search and other papers directly in your email. You may get it through Google Workspace Marketplace. Make better use of your time by handling your papers and eSignatures.
How do I execute leginfolegislaturecagovfacescodesdisplaycodes code search online?
Easy online leginfolegislaturecagovfacescodesdisplaycodes code search completion using pdfFiller. Also, it allows you to legally eSign your form and change original PDF material. Create a free account and manage documents online.
Can I edit leginfolegislaturecagovfacescodesdisplaycodes code search on an iOS device?
Create, modify, and share leginfolegislaturecagovfacescodesdisplaycodes code search using the pdfFiller iOS app. Easy to install from the Apple Store. You may sign up for a free trial and then purchase a membership.
What is leginfolegislaturecagovfacescodesdisplaycodes code search?
Leginfolegislaturecagovfacescodesdisplaycodes code search is a tool used to search for specific legislative codes in California.
Who is required to file leginfolegislaturecagovfacescodesdisplaycodes code search?
Any individual or entity that needs to reference specific legislative codes in California may be required to use the leginfolegislaturecagovfacescodesdisplaycodes code search.
How to fill out leginfolegislaturecagovfacescodesdisplaycodes code search?
Users can fill out the leginfolegislaturecagovfacescodesdisplaycodes code search by entering keywords related to the specific legislative code they are looking for.
What is the purpose of leginfolegislaturecagovfacescodesdisplaycodes code search?
The purpose of leginfolegislaturecagovfacescodesdisplaycodes code search is to provide a convenient way to search and access specific legislative codes in California.
What information must be reported on leginfolegislaturecagovfacescodesdisplaycodes code search?
Users must report specific keywords related to the legislative code they are searching for on leginfolegislaturecagovfacescodesdisplaycodes code search.
Fill out your leginfolegislaturecagovfacescodesdisplaycodes code search online with pdfFiller!
pdfFiller is an end-to-end solution for managing, creating, and editing documents and forms in the cloud. Save time and hassle by preparing your tax forms online.

Leginfolegislaturecagovfacescodesdisplaycodes Code Search is not the form you're looking for?Search for another form here.
Relevant keywords
Related Forms
If you believe that this page should be taken down, please follow our DMCA take down process
here
.
This form may include fields for payment information. Data entered in these fields is not covered by PCI DSS compliance.