Get the free koliequestrian.comwp-contentuploadsCHUCKS TRAIL RIDING ADVENTURES LLC RELEASE AND WA...
Show details
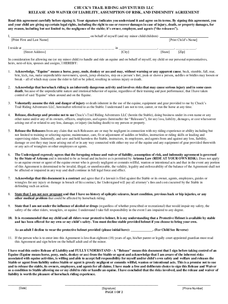
CHUCKS TRAIL RIDING ADVENTURES LLC RELEASE AND WAIVER OF LIABILITY, ASSUMPTION OF RISK, AND INDEMNITY AGREEMENT Read this agreement carefully before signing it. Your signature indicates you understand
We are not affiliated with any brand or entity on this form
Get, Create, Make and Sign koliequestriancomwp-contentuploadschucks trail riding adventures
Edit your koliequestriancomwp-contentuploadschucks trail riding adventures form online
Type text, complete fillable fields, insert images, highlight or blackout data for discretion, add comments, and more.
Add your legally-binding signature
Draw or type your signature, upload a signature image, or capture it with your digital camera.
Share your form instantly
Email, fax, or share your koliequestriancomwp-contentuploadschucks trail riding adventures form via URL. You can also download, print, or export forms to your preferred cloud storage service.
How to edit koliequestriancomwp-contentuploadschucks trail riding adventures online
Here are the steps you need to follow to get started with our professional PDF editor:
1
Set up an account. If you are a new user, click Start Free Trial and establish a profile.
2
Prepare a file. Use the Add New button to start a new project. Then, using your device, upload your file to the system by importing it from internal mail, the cloud, or adding its URL.
3
Edit koliequestriancomwp-contentuploadschucks trail riding adventures. Rearrange and rotate pages, add and edit text, and use additional tools. To save changes and return to your Dashboard, click Done. The Documents tab allows you to merge, divide, lock, or unlock files.
4
Save your file. Choose it from the list of records. Then, shift the pointer to the right toolbar and select one of the several exporting methods: save it in multiple formats, download it as a PDF, email it, or save it to the cloud.
pdfFiller makes dealing with documents a breeze. Create an account to find out!
Uncompromising security for your PDF editing and eSignature needs
Your private information is safe with pdfFiller. We employ end-to-end encryption, secure cloud storage, and advanced access control to protect your documents and maintain regulatory compliance.
How to fill out koliequestriancomwp-contentuploadschucks trail riding adventures
How to fill out koliequestriancomwp-contentuploadschucks trail riding adventures
01
Visit koliequestrian.com/wp-content/uploads/chucks trail riding adventures on your web browser.
02
Scroll down to find the form for filling out the trail riding adventures.
03
Begin by entering your personal details such as name, address, and contact information.
04
Select the trail riding package you are interested in from the options provided.
05
Specify the date and time you wish to book the trail riding adventure.
06
Provide any additional information or special requests in the designated section.
07
Double-check all the filled-out information for accuracy.
08
Once you are satisfied with the information provided, click on the submit button to complete the form.
09
You will receive a confirmation message or email regarding your trail riding adventure booking.
Who needs koliequestriancomwp-contentuploadschucks trail riding adventures?
01
Anyone who enjoys outdoor activities and horseback riding.
02
Individuals or groups looking for an adventurous and scenic trail riding experience.
03
People who want to explore nature and enjoy the beauty of trails on horseback.
04
Horse enthusiasts interested in improving their riding skills and experiencing different terrains.
05
Families or friends seeking a fun and unique outing in nature.
Fill
form
: Try Risk Free
For pdfFiller’s FAQs
Below is a list of the most common customer questions. If you can’t find an answer to your question, please don’t hesitate to reach out to us.
How do I execute koliequestriancomwp-contentuploadschucks trail riding adventures online?
pdfFiller has made it easy to fill out and sign koliequestriancomwp-contentuploadschucks trail riding adventures. You can use the solution to change and move PDF content, add fields that can be filled in, and sign the document electronically. Start a free trial of pdfFiller, the best tool for editing and filling in documents.
Can I create an eSignature for the koliequestriancomwp-contentuploadschucks trail riding adventures in Gmail?
Upload, type, or draw a signature in Gmail with the help of pdfFiller’s add-on. pdfFiller enables you to eSign your koliequestriancomwp-contentuploadschucks trail riding adventures and other documents right in your inbox. Register your account in order to save signed documents and your personal signatures.
Can I edit koliequestriancomwp-contentuploadschucks trail riding adventures on an iOS device?
Use the pdfFiller app for iOS to make, edit, and share koliequestriancomwp-contentuploadschucks trail riding adventures from your phone. Apple's store will have it up and running in no time. It's possible to get a free trial and choose a subscription plan that fits your needs.
What is koliequestriancomwp-contentuploadschucks trail riding adventures?
koliequestriancomwp-contentuploadschucks trail riding adventures is a website where users can find information about trail riding adventures organized by Chuck.
Who is required to file koliequestriancomwp-contentuploadschucks trail riding adventures?
Chuck, the organizer of the trail riding adventures, is required to file koliequestriancomwp-contentuploadschucks trail riding adventures.
How to fill out koliequestriancomwp-contentuploadschucks trail riding adventures?
To fill out koliequestriancomwp-contentuploadschucks trail riding adventures, Chuck needs to provide details about the location, date, time, and other relevant information about the trail riding adventures.
What is the purpose of koliequestriancomwp-contentuploadschucks trail riding adventures?
The purpose of koliequestriancomwp-contentuploadschucks trail riding adventures is to inform users about upcoming trail riding adventures organized by Chuck.
What information must be reported on koliequestriancomwp-contentuploadschucks trail riding adventures?
Information such as the location, date, time, fees, and any special requirements for the trail riding adventures must be reported on koliequestriancomwp-contentuploadschucks trail riding adventures.
Fill out your koliequestriancomwp-contentuploadschucks trail riding adventures online with pdfFiller!
pdfFiller is an end-to-end solution for managing, creating, and editing documents and forms in the cloud. Save time and hassle by preparing your tax forms online.
Koliequestriancomwp-Contentuploadschucks Trail Riding Adventures is not the form you're looking for?Search for another form here.
Relevant keywords
Related Forms
If you believe that this page should be taken down, please follow our DMCA take down process
here
.
This form may include fields for payment information. Data entered in these fields is not covered by PCI DSS compliance.