Form preview

Get the free www.stetson.eduadministrationregistrarWithdrawing from Stetson University - Stetson ...

Get Form
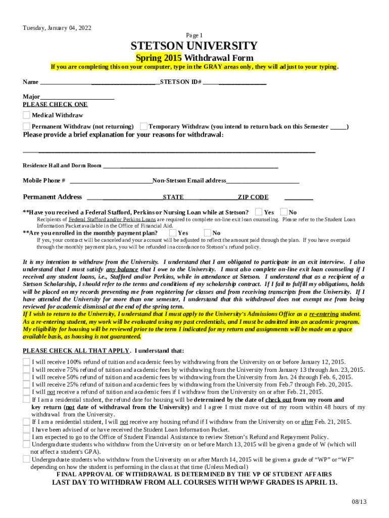
Page 1 STETSON UNIVERSITY Spring 2015 Withdrawal Formic you are completing this on your computer, type in the GRAY areas only, they will adjust to your typing. Name STETSON ID# MajorPLEASE CHECK Premedical
We are not affiliated with any brand or entity on this form

Get, Create, Make and Sign wwwstetsoneduadministrationregistrarwithdrawing from stetson university

Edit
Edit your wwwstetsoneduadministrationregistrarwithdrawing from stetson university form online
Type text, complete fillable fields, insert images, highlight or blackout data for discretion, add comments, and more.
Add
Add your legally-binding signature
Draw or type your signature, upload a signature image, or capture it with your digital camera.
Share
Share your form instantly
Email, fax, or share your wwwstetsoneduadministrationregistrarwithdrawing from stetson university form via URL. You can also download, print, or export forms to your preferred cloud storage service.

Editing wwwstetsoneduadministrationregistrarwithdrawing from stetson university online

9.5
Ease of Setup
pdfFiller User Ratings on G2
9.0
Ease of Use
pdfFiller User Ratings on G2
In order to make advantage of the professional PDF editor, follow these steps:
1
Set up an account. If you are a new user, click Start Free Trial and establish a profile.
2
Simply add a document. Select Add New from your Dashboard and import a file into the system by uploading it from your device or importing it via the cloud, online, or internal mail. Then click Begin editing.
3
Edit wwwstetsoneduadministrationregistrarwithdrawing from stetson university. Rearrange and rotate pages, insert new and alter existing texts, add new objects, and take advantage of other helpful tools. Click Done to apply changes and return to your Dashboard. Go to the Documents tab to access merging, splitting, locking, or unlocking functions.
4
Get your file. Select the name of your file in the docs list and choose your preferred exporting method. You can download it as a PDF, save it in another format, send it by email, or transfer it to the cloud.
It's easier to work with documents with pdfFiller than you could have ever thought. You may try it out for yourself by signing up for an account.

Uncompromising security for your PDF editing and eSignature needs

Your private information is safe with pdfFiller. We employ end-to-end encryption, secure cloud storage, and advanced access control to protect your documents and maintain regulatory compliance.
GDPR
AICPA SOC 2
PCI
HIPAA
CCPA
FDA

How to fill out wwwstetsoneduadministrationregistrarwithdrawing from stetson university

Illustration

How to fill out wwwstetsoneduadministrationregistrarwithdrawing from stetson university

01
Log in to your Stetson University account
02
Navigate to the Administration Registrar section
03
Find the option for withdrawing from Stetson University
04
Click on the withdrawal form and open it
05
Fill out the necessary information such as your personal details, reason for withdrawal, and planned last date of attendance
06
Double-check all the information you provided
07
Submit the completed withdrawal form
08
Wait for confirmation from the university regarding your withdrawal
09
Follow any additional instructions or requirements given by the university

Who needs wwwstetsoneduadministrationregistrarwithdrawing from stetson university?

01
Students who have made the decision to permanently leave Stetson University and no longer wish to continue their studies at the institution

What is www.stetson.eduadministrationregistrarWithdrawing from Stetson University - Stetson University Form?

The www.stetson.eduadministrationregistrarWithdrawing from Stetson University - Stetson University is a document which can be completed and signed for specific reasons. In that case, it is furnished to the relevant addressee in order to provide specific information of any kinds. The completion and signing is able in hard copy or with an appropriate solution e. g. PDFfiller. These services help to send in any PDF or Word file online. It also allows you to customize it depending on the needs you have and put legit digital signature. Once you're good, you send the www.stetson.eduadministrationregistrarWithdrawing from Stetson University - Stetson University to the recipient or several of them by email and also fax. PDFfiller has a feature and options that make your Word form printable. It includes various options for printing out appearance. No matter, how you'll distribute a form after filling it out - in hard copy or by email - it will always look well-designed and firm. In order not to create a new document from the beginning over and over, make the original Word file as a template. Later, you will have an editable sample.

www.stetson.eduadministrationregistrarWithdrawing from Stetson University - Stetson University template instructions

Before starting filling out www.stetson.eduadministrationregistrarWithdrawing from Stetson University - Stetson University .doc form, make sure that you prepared enough of necessary information. It is a very important part, since typos may cause unpleasant consequences from re-submission of the entire word template and finishing with missing deadlines and you might be charged a penalty fee. You need to be careful enough filling out the figures. At first glimpse, you might think of it as to be dead simple thing. However, you might well make a mistake. Some people use such lifehack as saving their records in a separate file or a record book and then add this information into document's template. Anyway, try to make all efforts and provide accurate and genuine data in www.stetson.eduadministrationregistrarWithdrawing from Stetson University - Stetson University word form, and check it twice during the process of filling out all fields. If you find any mistakes later, you can easily make corrections while using PDFfiller application and avoid missed deadlines.

How to fill www.stetson.eduadministrationregistrarWithdrawing from Stetson University - Stetson University word template

The first thing you will need to start completing www.stetson.eduadministrationregistrarWithdrawing from Stetson University - Stetson University fillable template is writable template of it. If you complete and file it with the help of PDFfiller, see the ways below how you can get it:

  • Search for the www.stetson.eduadministrationregistrarWithdrawing from Stetson University - Stetson University form in the PDFfiller’s library.
  • Upload your own Word template to the editing tool, in case you have one.
  • Draw up the document from the beginning using PDFfiller’s creation tool and add the required elements by using the editing tools.

Regardless of what option you prefer, it will be easy to edit the form and add different items. Nonetheless, if you need a form containing all fillable fields out of the box, you can find it only from the library. The second and third options don’t have this feature, so you need to insert fields yourself. Nevertheless, it is quite simple and fast to do as well. After you finish it, you'll have a handy form to fill out or send to another person by email. These fields are easy to put whenever you need them in the word file and can be deleted in one click. Each objective of the fields corresponds to a certain type: for text, for date, for checkmarks. Once you need other persons to sign it, there is a signature field as well. E-signature tool makes it possible to put your own autograph. Once everything is completely ready, hit the Done button. And then, you can share your fillable form.

Fill form : Try Risk Free
Users Most Likely To Recommend - Summer 2025
Grid Leader in Small-Business - Summer 2025
High Performer - Summer 2025
Regional Leader - Summer 2025
Easiest To Do Business With - Summer 2025
Best Meets Requirements- Summer 2025
Rate the form
4.9
Satisfied
20 Votes

For pdfFiller’s FAQs

Below is a list of the most common customer questions. If you can’t find an answer to your question, please don’t hesitate to reach out to us.

To distribute your wwwstetsoneduadministrationregistrarwithdrawing from stetson university, simply send it to others and receive the eSigned document back instantly. Post or email a PDF that you've notarized online. Doing so requires never leaving your account.
When you use pdfFiller's add-on for Gmail, you can add or type a signature. You can also draw a signature. pdfFiller lets you eSign your wwwstetsoneduadministrationregistrarwithdrawing from stetson university and other documents right from your email. In order to keep signed documents and your own signatures, you need to sign up for an account.
Create, modify, and share wwwstetsoneduadministrationregistrarwithdrawing from stetson university using the pdfFiller iOS app. Easy to install from the Apple Store. You may sign up for a free trial and then purchase a membership.
To withdraw from Stetson University, students must complete the official withdrawal process through the Registrar's office.
All students who wish to withdraw from Stetson University are required to file the official withdrawal form through the Registrar's office.
To fill out the withdrawal form, students need to complete all required fields, provide a reason for withdrawal, and submit the form to the Registrar's office.
The purpose of withdrawing from Stetson University is to officially end enrollment at the university and indicate the student's intention to leave the institution.
Students must report their reason for withdrawal, last date of attendance, and any outstanding balances or obligations to the university.
Fill out your wwwstetsoneduadministrationregistrarwithdrawing from stetson university online with pdfFiller!

pdfFiller is an end-to-end solution for managing, creating, and editing documents and forms in the cloud. Save time and hassle by preparing your tax forms online.

Get started now
Form preview
If you believe that this page should be taken down, please follow our DMCA take down process here .
This form may include fields for payment information. Data entered in these fields is not covered by PCI DSS compliance.