Get the free MASTER CONSULTING SERVICES AGREEMENT ... - llbc.leg.bc.ca
Show details
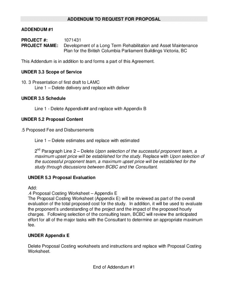
ADDENDUM TO REQUEST FOR PROPOSAL ADDENDUM #1 PROJECT #: PROJECT NAME:1071431 Development of a Long Term Rehabilitation and Asset Maintenance Plan for the British Columbia Parliament Buildings Victoria,
We are not affiliated with any brand or entity on this form
Get, Create, Make and Sign master consulting services agreement
Edit your master consulting services agreement form online
Type text, complete fillable fields, insert images, highlight or blackout data for discretion, add comments, and more.
Add your legally-binding signature
Draw or type your signature, upload a signature image, or capture it with your digital camera.
Share your form instantly
Email, fax, or share your master consulting services agreement form via URL. You can also download, print, or export forms to your preferred cloud storage service.
Editing master consulting services agreement online
To use the professional PDF editor, follow these steps:
1
Log in to account. Start Free Trial and register a profile if you don't have one.
2
Upload a file. Select Add New on your Dashboard and upload a file from your device or import it from the cloud, online, or internal mail. Then click Edit.
3
Edit master consulting services agreement. Add and change text, add new objects, move pages, add watermarks and page numbers, and more. Then click Done when you're done editing and go to the Documents tab to merge or split the file. If you want to lock or unlock the file, click the lock or unlock button.
4
Save your file. Select it from your records list. Then, click the right toolbar and select one of the various exporting options: save in numerous formats, download as PDF, email, or cloud.
With pdfFiller, dealing with documents is always straightforward. Try it now!
Uncompromising security for your PDF editing and eSignature needs
Your private information is safe with pdfFiller. We employ end-to-end encryption, secure cloud storage, and advanced access control to protect your documents and maintain regulatory compliance.
How to fill out master consulting services agreement
How to fill out master consulting services agreement
01
Step 1: Obtain a blank copy of the master consulting services agreement form.
02
Step 2: Review the entire agreement to understand its terms and conditions.
03
Step 3: Fill in the necessary information in the provided fields, such as the names and contact information of both parties involved in the agreement.
04
Step 4: Specify the scope of the consulting services to be provided and any limitations or exclusions.
05
Step 5: Include details regarding the payment terms, including rates, invoicing schedule, and any applicable taxes or fees.
06
Step 6: Clearly outline the responsibilities and obligations of both parties, including confidentiality provisions.
07
Step 7: Include provisions for termination or amendment of the agreement, as well as dispute resolution methods.
08
Step 8: Carefully review the completed agreement to ensure accuracy and consistency.
09
Step 9: Sign and date the agreement, and ensure that all parties involved do the same.
10
Step 10: Keep a copy of the signed agreement for future reference and for any potential disputes or legal purposes.
Who needs master consulting services agreement?
01
Companies or organizations that regularly engage consultants or consulting services.
02
Freelancers or independent consultants who provide their services to clients.
03
Individuals or businesses seeking professional advice or expertise in a specific area, such as management, finance, or IT.
04
Partnerships or joint ventures that require a formal agreement governing the consulting services.
05
Any entity that wants to establish clear expectations, rights, and obligations between the consulting service provider and the client.
Fill
form
: Try Risk Free
For pdfFiller’s FAQs
Below is a list of the most common customer questions. If you can’t find an answer to your question, please don’t hesitate to reach out to us.
How can I modify master consulting services agreement without leaving Google Drive?
Simplify your document workflows and create fillable forms right in Google Drive by integrating pdfFiller with Google Docs. The integration will allow you to create, modify, and eSign documents, including master consulting services agreement, without leaving Google Drive. Add pdfFiller’s functionalities to Google Drive and manage your paperwork more efficiently on any internet-connected device.
How do I edit master consulting services agreement online?
With pdfFiller, you may not only alter the content but also rearrange the pages. Upload your master consulting services agreement and modify it with a few clicks. The editor lets you add photos, sticky notes, text boxes, and more to PDFs.
How do I fill out the master consulting services agreement form on my smartphone?
Use the pdfFiller mobile app to fill out and sign master consulting services agreement on your phone or tablet. Visit our website to learn more about our mobile apps, how they work, and how to get started.
What is master consulting services agreement?
A master consulting services agreement is a contract between a consultant and a client that outlines the terms and conditions of their working relationship.
Who is required to file master consulting services agreement?
Any parties entering into a consulting services agreement are required to file a master consulting services agreement.
How to fill out master consulting services agreement?
To fill out a master consulting services agreement, both parties need to provide their contact information, scope of work, payment terms, and any other relevant details.
What is the purpose of master consulting services agreement?
The purpose of a master consulting services agreement is to ensure that both parties understand their rights and obligations during a consulting engagement.
What information must be reported on master consulting services agreement?
The master consulting services agreement should include details on the services to be provided, payment terms, deadlines, and any other key provisions.
Fill out your master consulting services agreement online with pdfFiller!
pdfFiller is an end-to-end solution for managing, creating, and editing documents and forms in the cloud. Save time and hassle by preparing your tax forms online.
Master Consulting Services Agreement is not the form you're looking for?Search for another form here.
Relevant keywords
Related Forms
If you believe that this page should be taken down, please follow our DMCA take down process
here
.
This form may include fields for payment information. Data entered in these fields is not covered by PCI DSS compliance.