
Get the free Core Residency Questions - Texas A&M University-Commerce
Show details
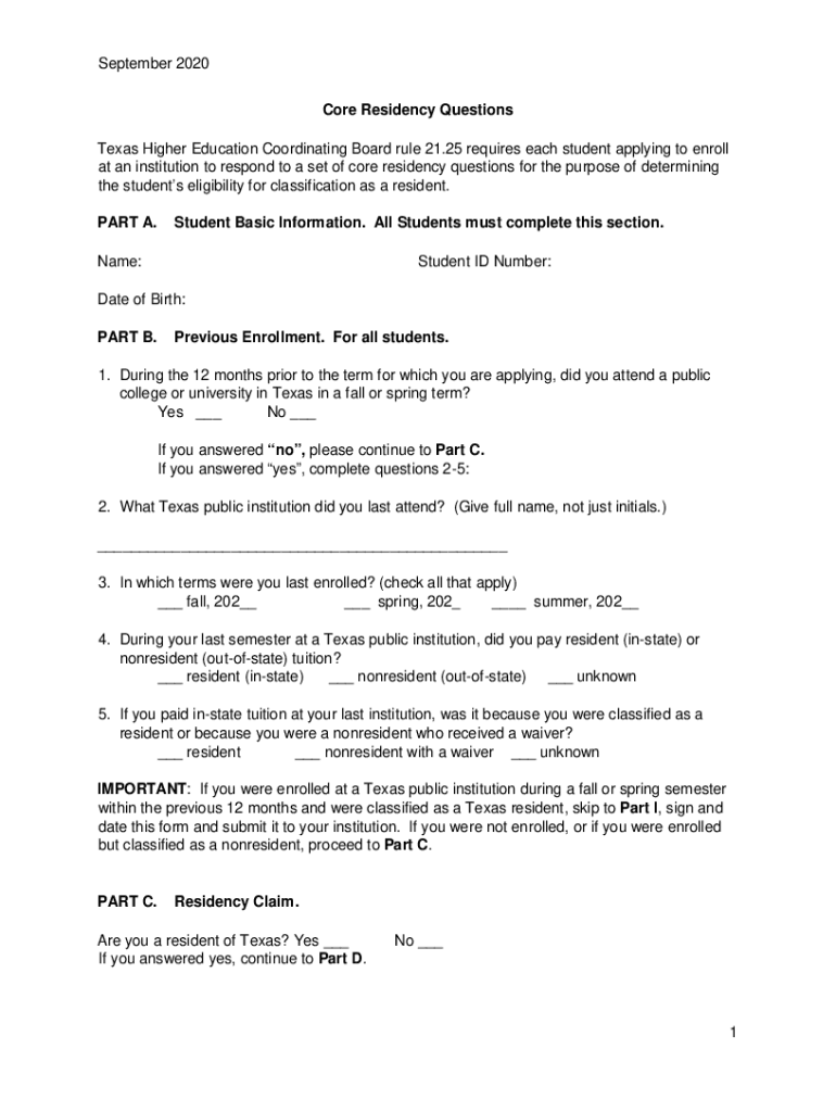
September 2020 Core Residency Questions Texas Higher Education Coordinating Board rule 21.25 requires each student applying to enroll at an institution to respond to a set of core residency questions
We are not affiliated with any brand or entity on this form
Get, Create, Make and Sign core residency questions

Edit your core residency questions form online
Type text, complete fillable fields, insert images, highlight or blackout data for discretion, add comments, and more.

Add your legally-binding signature
Draw or type your signature, upload a signature image, or capture it with your digital camera.

Share your form instantly
Email, fax, or share your core residency questions form via URL. You can also download, print, or export forms to your preferred cloud storage service.
How to edit core residency questions online
Here are the steps you need to follow to get started with our professional PDF editor:
1
Register the account. Begin by clicking Start Free Trial and create a profile if you are a new user.
2
Prepare a file. Use the Add New button. Then upload your file to the system from your device, importing it from internal mail, the cloud, or by adding its URL.
3
Edit core residency questions. Rearrange and rotate pages, add and edit text, and use additional tools. To save changes and return to your Dashboard, click Done. The Documents tab allows you to merge, divide, lock, or unlock files.
4
Get your file. When you find your file in the docs list, click on its name and choose how you want to save it. To get the PDF, you can save it, send an email with it, or move it to the cloud.
It's easier to work with documents with pdfFiller than you could have ever thought. Sign up for a free account to view.
Uncompromising security for your PDF editing and eSignature needs
Your private information is safe with pdfFiller. We employ end-to-end encryption, secure cloud storage, and advanced access control to protect your documents and maintain regulatory compliance.
How to fill out core residency questions

How to fill out core residency questions
01
To fill out core residency questions, follow these steps:
02
Begin by accessing the online residency application form.
03
Provide your personal information, such as your name, date of birth, and contact details.
04
Enter your current residential address and provide any previous addresses if applicable.
05
Answer questions related to your citizenship or immigration status.
06
Provide information about your parents' residency status if necessary.
07
Answer questions about your current educational institution and program of study.
08
Specify the start and end dates of your current program or anticipated program.
09
Provide details about any previous enrollment at different institutions, if applicable.
10
Answer questions about your employment history, including any relevant internships or co-op experiences.
11
Finish by reviewing your responses and submitting the completed form.
Who needs core residency questions?
01
Core residency questions are typically required by educational institutions or government agencies that need to determine your residency status for various purposes, such as tuition fee classification, eligibility for financial aid, or admission considerations.
02
Prospective students seeking admission to a college or university, especially those applying for in-state tuition rates, may need to fill out core residency questions.
03
Government agencies responsible for distributing scholarships or grants often require individuals to provide residency information through these questions.
04
International students may also be asked to provide residency details to establish their eligibility for certain programs or benefits.
Fill
form
: Try Risk Free
For pdfFiller’s FAQs
Below is a list of the most common customer questions. If you can’t find an answer to your question, please don’t hesitate to reach out to us.
How do I edit core residency questions in Chrome?
Install the pdfFiller Chrome Extension to modify, fill out, and eSign your core residency questions, which you can access right from a Google search page. Fillable documents without leaving Chrome on any internet-connected device.
How do I fill out the core residency questions form on my smartphone?
You can quickly make and fill out legal forms with the help of the pdfFiller app on your phone. Complete and sign core residency questions and other documents on your mobile device using the application. If you want to learn more about how the PDF editor works, go to pdfFiller.com.
How do I edit core residency questions on an iOS device?
No, you can't. With the pdfFiller app for iOS, you can edit, share, and sign core residency questions right away. At the Apple Store, you can buy and install it in a matter of seconds. The app is free, but you will need to set up an account if you want to buy a subscription or start a free trial.
What is core residency questions?
Core residency questions are questions that aim to determine a person's residency status, typically for tax or legal purposes.
Who is required to file core residency questions?
Any individual or entity who is required to report residency information is required to file core residency questions.
How to fill out core residency questions?
Core residency questions can usually be filled out online or on paper by providing accurate and detailed information about one's residency status.
What is the purpose of core residency questions?
The purpose of core residency questions is to establish a person's tax or legal residency status, which can affect their obligations and rights.
What information must be reported on core residency questions?
Core residency questions typically ask for information such as current address, length of residency, and any other relevant details regarding one's residency status.
Fill out your core residency questions online with pdfFiller!
pdfFiller is an end-to-end solution for managing, creating, and editing documents and forms in the cloud. Save time and hassle by preparing your tax forms online.

Core Residency Questions is not the form you're looking for?Search for another form here.
Relevant keywords
Related Forms
If you believe that this page should be taken down, please follow our DMCA take down process
here
.
This form may include fields for payment information. Data entered in these fields is not covered by PCI DSS compliance.