
Get the free Consent and Release Agreement Sample ContractsLaw Insider
Show details
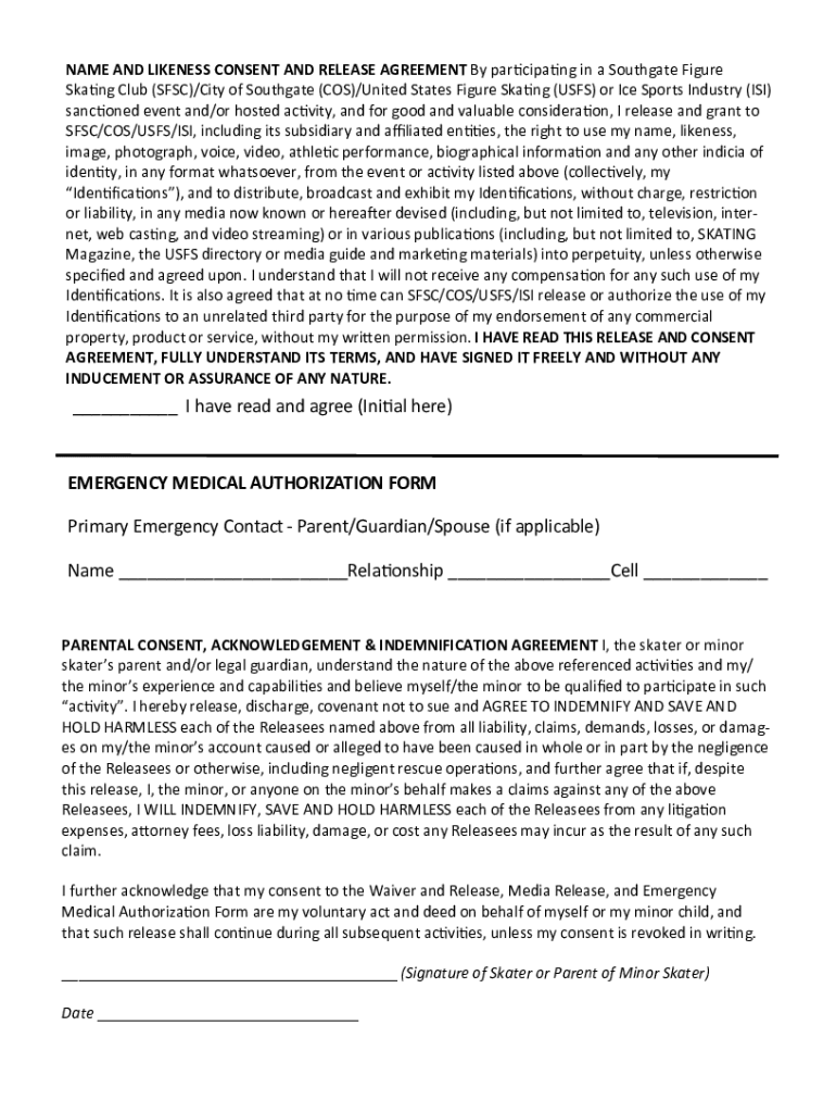
NAME AND LIKENESS CONSENT AND RELEASE AGREEMENT By participating in a Southgate Figure Skating Club (SFC)/City of Southgate (COS)/United States Figure Skating (USES) or Ice Sports Industry (ISI) sanctioned
We are not affiliated with any brand or entity on this form
Get, Create, Make and Sign consent and release agreement

Edit your consent and release agreement form online
Type text, complete fillable fields, insert images, highlight or blackout data for discretion, add comments, and more.

Add your legally-binding signature
Draw or type your signature, upload a signature image, or capture it with your digital camera.

Share your form instantly
Email, fax, or share your consent and release agreement form via URL. You can also download, print, or export forms to your preferred cloud storage service.
How to edit consent and release agreement online
Follow the guidelines below to benefit from a competent PDF editor:
1
Set up an account. If you are a new user, click Start Free Trial and establish a profile.
2
Upload a document. Select Add New on your Dashboard and transfer a file into the system in one of the following ways: by uploading it from your device or importing from the cloud, web, or internal mail. Then, click Start editing.
3
Edit consent and release agreement. Rearrange and rotate pages, add and edit text, and use additional tools. To save changes and return to your Dashboard, click Done. The Documents tab allows you to merge, divide, lock, or unlock files.
4
Get your file. Select the name of your file in the docs list and choose your preferred exporting method. You can download it as a PDF, save it in another format, send it by email, or transfer it to the cloud.
pdfFiller makes working with documents easier than you could ever imagine. Try it for yourself by creating an account!
Uncompromising security for your PDF editing and eSignature needs
Your private information is safe with pdfFiller. We employ end-to-end encryption, secure cloud storage, and advanced access control to protect your documents and maintain regulatory compliance.
How to fill out consent and release agreement

How to fill out consent and release agreement
01
Step 1: Begin by entering the date at the top of the consent and release agreement form.
02
Step 2: Provide the necessary information of the parties involved, such as the name, address, and contact details.
03
Step 3: Specify the purpose of the consent and release agreement, including the nature of the activities or events it covers.
04
Step 4: Clearly state the terms and conditions of the agreement, including any limitations or restrictions.
05
Step 5: Indicate any potential risks or hazards associated with the activities or events in the agreement.
06
Step 6: Include a section where the individual giving consent acknowledges and agrees to release any liability or claims against the parties involved.
07
Step 7: Provide space for the individual to sign and date the consent and release agreement.
08
Step 8: If necessary, include a section for witness signatures or notarization.
09
Step 9: Make copies of the completed consent and release agreement for all parties involved.
10
Step 10: Store the signed consent and release agreements in a secure and easily accessible location for future reference.
Who needs consent and release agreement?
01
Consent and release agreements are typically needed in various situations:
02
- Activities or events that involve potential risks, such as sports tournaments, adventure trips, or recreational activities.
03
- Photography or filming sessions where individuals' images or videos will be used for commercial or promotional purposes.
04
- Research studies or medical experiments where participants' consent and release are required.
05
- Volunteer programs or community service activities that may involve certain risks or liabilities.
06
- Any situation where it is necessary to obtain explicit consent from individuals and release parties from liabilities or claims.
Fill
form
: Try Risk Free
For pdfFiller’s FAQs
Below is a list of the most common customer questions. If you can’t find an answer to your question, please don’t hesitate to reach out to us.
How do I execute consent and release agreement online?
Completing and signing consent and release agreement online is easy with pdfFiller. It enables you to edit original PDF content, highlight, blackout, erase and type text anywhere on a page, legally eSign your form, and much more. Create your free account and manage professional documents on the web.
Can I edit consent and release agreement on an Android device?
You can edit, sign, and distribute consent and release agreement on your mobile device from anywhere using the pdfFiller mobile app for Android; all you need is an internet connection. Download the app and begin streamlining your document workflow from anywhere.
How do I complete consent and release agreement on an Android device?
Complete consent and release agreement and other documents on your Android device with the pdfFiller app. The software allows you to modify information, eSign, annotate, and share files. You may view your papers from anywhere with an internet connection.
What is consent and release agreement?
A consent and release agreement is a legal document that grants permission for an individual or organization to use someone's likeness, image, or personal information for a specific purpose.
Who is required to file consent and release agreement?
Anyone who wants to use another person's likeness, image, or personal information for commercial or promotional purposes is required to file a consent and release agreement.
How to fill out consent and release agreement?
To fill out a consent and release agreement, you need to include the full names of the parties involved, a description of how the likeness or information will be used, and any specific terms and conditions.
What is the purpose of consent and release agreement?
The purpose of a consent and release agreement is to protect the rights and privacy of individuals by obtaining their permission before using their likeness, image, or personal information.
What information must be reported on consent and release agreement?
The consent and release agreement must include the names of the parties involved, a description of the intended use of the likeness or information, any specific terms and conditions, and signatures from all parties.
Fill out your consent and release agreement online with pdfFiller!
pdfFiller is an end-to-end solution for managing, creating, and editing documents and forms in the cloud. Save time and hassle by preparing your tax forms online.

Consent And Release Agreement is not the form you're looking for?Search for another form here.
Relevant keywords
Related Forms
If you believe that this page should be taken down, please follow our DMCA take down process
here
.
This form may include fields for payment information. Data entered in these fields is not covered by PCI DSS compliance.