
Get the free Introduction to Public Speaking - Core Knowledge Foundation - coreknowledge
Show details
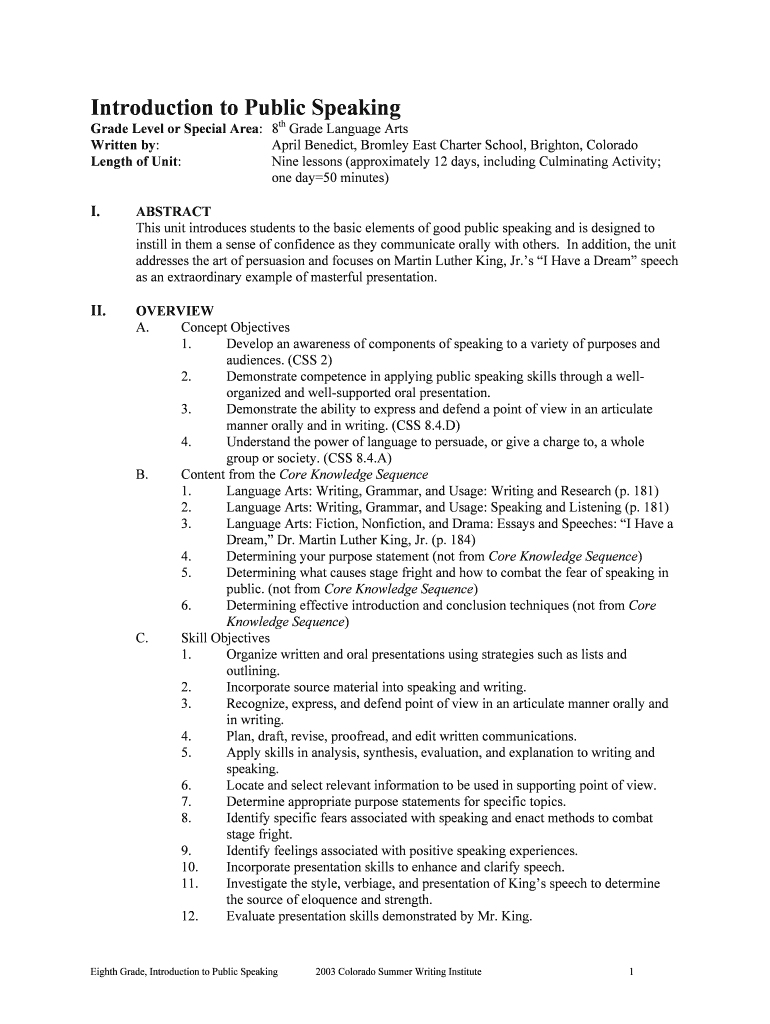
Introduction to Public Speaking Grade Level or Special Area: 8th Grade Language Arts Written by: April Benedict, Bradley East Charter School, Brighton, Colorado Length of Unit: Nine lessons (approximately
We are not affiliated with any brand or entity on this form
Get, Create, Make and Sign introduction to public speaking

Edit your introduction to public speaking form online
Type text, complete fillable fields, insert images, highlight or blackout data for discretion, add comments, and more.

Add your legally-binding signature
Draw or type your signature, upload a signature image, or capture it with your digital camera.

Share your form instantly
Email, fax, or share your introduction to public speaking form via URL. You can also download, print, or export forms to your preferred cloud storage service.
How to edit introduction to public speaking online
To use our professional PDF editor, follow these steps:
1
Log in to account. Click on Start Free Trial and register a profile if you don't have one.
2
Upload a file. Select Add New on your Dashboard and upload a file from your device or import it from the cloud, online, or internal mail. Then click Edit.
3
Edit introduction to public speaking. Rearrange and rotate pages, add new and changed texts, add new objects, and use other useful tools. When you're done, click Done. You can use the Documents tab to merge, split, lock, or unlock your files.
4
Save your file. Select it from your records list. Then, click the right toolbar and select one of the various exporting options: save in numerous formats, download as PDF, email, or cloud.
pdfFiller makes dealing with documents a breeze. Create an account to find out!
Uncompromising security for your PDF editing and eSignature needs
Your private information is safe with pdfFiller. We employ end-to-end encryption, secure cloud storage, and advanced access control to protect your documents and maintain regulatory compliance.
How to fill out introduction to public speaking

How to fill out introduction to public speaking:
01
Start by brainstorming your ideas and goals for the speech. Think about what you want to achieve and what message you want to convey to your audience.
02
Research your topic thoroughly. Gather relevant information, statistics, and examples that will support your main points and make your speech more persuasive.
03
Craft a captivating opening. Begin with a strong hook or attention-grabbing statement to capture your audience's interest from the start.
04
Introduce yourself and establish your credibility. Share your qualifications or personal experiences that make you knowledgeable or passionate about the topic.
05
Clearly state your main objective and preview the key points of your speech. This will provide your audience with a roadmap of what to expect and help them follow along easily.
06
Practice your introduction multiple times to improve your delivery. Pay attention to your tone, pace, and body language to ensure you come across as confident and engaging.
07
Seek feedback from others. Share your introduction with trusted friends or colleagues and ask for their constructive criticism. Make necessary adjustments and improvements based on their suggestions.
08
Finally, remember that everyone can benefit from an introduction to public speaking. Whether you are a student preparing for a class presentation, a professional delivering a business pitch, or someone looking to build their communication skills, understanding the fundamentals of public speaking is valuable for any individual seeking to effectively communicate their ideas to others.
Fill
form
: Try Risk Free
For pdfFiller’s FAQs
Below is a list of the most common customer questions. If you can’t find an answer to your question, please don’t hesitate to reach out to us.
How do I execute introduction to public speaking online?
pdfFiller has made it easy to fill out and sign introduction to public speaking. You can use the solution to change and move PDF content, add fields that can be filled in, and sign the document electronically. Start a free trial of pdfFiller, the best tool for editing and filling in documents.
How do I edit introduction to public speaking straight from my smartphone?
The best way to make changes to documents on a mobile device is to use pdfFiller's apps for iOS and Android. You may get them from the Apple Store and Google Play. Learn more about the apps here. To start editing introduction to public speaking, you need to install and log in to the app.
How can I fill out introduction to public speaking on an iOS device?
Install the pdfFiller app on your iOS device to fill out papers. If you have a subscription to the service, create an account or log in to an existing one. After completing the registration process, upload your introduction to public speaking. You may now use pdfFiller's advanced features, such as adding fillable fields and eSigning documents, and accessing them from any device, wherever you are.
What is introduction to public speaking?
Introduction to public speaking is the process of presenting information to an audience in a clear and engaging manner.
Who is required to file introduction to public speaking?
Any individual or organization that is required to give a public speech, presentation, or address may be required to file an introduction to public speaking.
How to fill out introduction to public speaking?
To fill out an introduction to public speaking, one must provide details about the topic of the speech, audience, purpose, and any other relevant information.
What is the purpose of introduction to public speaking?
The purpose of introduction to public speaking is to ensure that speakers are prepared and have thought through their presentation before delivering it to an audience.
What information must be reported on introduction to public speaking?
Information such as the title of the speech, date and location of the event, target audience, and key points to be covered should be reported on introduction to public speaking.
Fill out your introduction to public speaking online with pdfFiller!
pdfFiller is an end-to-end solution for managing, creating, and editing documents and forms in the cloud. Save time and hassle by preparing your tax forms online.

Introduction To Public Speaking is not the form you're looking for?Search for another form here.
Relevant keywords
Related Forms
If you believe that this page should be taken down, please follow our DMCA take down process
here
.
This form may include fields for payment information. Data entered in these fields is not covered by PCI DSS compliance.