
Get the free CIP RA OFFICER-WARRANT OFFICER CONTRACT - talent.army.mil
Show details
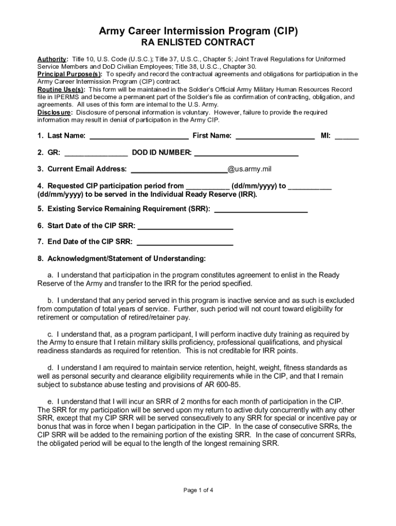
Army Career Intermission Program (CIP) RA ENLISTED CONTRACT Authority: Title 10, U.S. Code (U.S.C.); Title 37, U.S.C., Chapter 5; Joint Travel Regulations for Uniformed Service Members and DoD Civilian
We are not affiliated with any brand or entity on this form
Get, Create, Make and Sign cip ra officer-warrant officer

Edit your cip ra officer-warrant officer form online
Type text, complete fillable fields, insert images, highlight or blackout data for discretion, add comments, and more.

Add your legally-binding signature
Draw or type your signature, upload a signature image, or capture it with your digital camera.

Share your form instantly
Email, fax, or share your cip ra officer-warrant officer form via URL. You can also download, print, or export forms to your preferred cloud storage service.
Editing cip ra officer-warrant officer online
Follow the guidelines below to use a professional PDF editor:
1
Register the account. Begin by clicking Start Free Trial and create a profile if you are a new user.
2
Prepare a file. Use the Add New button to start a new project. Then, using your device, upload your file to the system by importing it from internal mail, the cloud, or adding its URL.
3
Edit cip ra officer-warrant officer. Rearrange and rotate pages, add and edit text, and use additional tools. To save changes and return to your Dashboard, click Done. The Documents tab allows you to merge, divide, lock, or unlock files.
4
Get your file. Select your file from the documents list and pick your export method. You may save it as a PDF, email it, or upload it to the cloud.
pdfFiller makes dealing with documents a breeze. Create an account to find out!
Uncompromising security for your PDF editing and eSignature needs
Your private information is safe with pdfFiller. We employ end-to-end encryption, secure cloud storage, and advanced access control to protect your documents and maintain regulatory compliance.
How to fill out cip ra officer-warrant officer

How to fill out cip ra officer-warrant officer
01
To fill out CIP RA Officer-Warrant Officer, follow these steps:
02
Obtain the CIP RA Officer-Warrant Officer form from the relevant authority.
03
Fill in your personal information, such as your name, address, contact details, and date of birth.
04
Provide details about your previous experience and qualifications related to the role of CIP RA Officer-Warrant Officer.
05
Include information about any certifications or training programs you have completed in the field.
06
Provide details of your employment history, including the dates of your previous positions and your responsibilities.
07
If required, provide references from previous employers or supervisors who can vouch for your skills and abilities.
08
Review the filled-out form for accuracy and completeness.
09
Submit the completed form to the designated authority or organization.
10
Follow up with the authority or organization to inquire about the status of your application.
11
If necessary, attend any interviews or assessments as part of the application process.
Who needs cip ra officer-warrant officer?
01
Individuals who are interested in serving as CIP RA Officer-Warrant Officer may need to fill out this form.
02
Public and private sector organizations that require CIP RA Officer-Warrant Officers as part of their cybersecurity and risk management teams may also request individuals to complete this form.
03
The exact requirements and criteria for needing a CIP RA Officer-Warrant Officer may vary depending on the specific organization or authority.
Fill
form
: Try Risk Free
For pdfFiller’s FAQs
Below is a list of the most common customer questions. If you can’t find an answer to your question, please don’t hesitate to reach out to us.
Where do I find cip ra officer-warrant officer?
It's simple with pdfFiller, a full online document management tool. Access our huge online form collection (over 25M fillable forms are accessible) and find the cip ra officer-warrant officer in seconds. Open it immediately and begin modifying it with powerful editing options.
How do I execute cip ra officer-warrant officer online?
Filling out and eSigning cip ra officer-warrant officer is now simple. The solution allows you to change and reorganize PDF text, add fillable fields, and eSign the document. Start a free trial of pdfFiller, the best document editing solution.
How do I edit cip ra officer-warrant officer straight from my smartphone?
The easiest way to edit documents on a mobile device is using pdfFiller’s mobile-native apps for iOS and Android. You can download those from the Apple Store and Google Play, respectively. You can learn more about the apps here. Install and log in to the application to start editing cip ra officer-warrant officer.
What is cip ra officer-warrant officer?
CIP RA Officer-Warrant Officer is a form used to report certain information in order to comply with regulations.
Who is required to file cip ra officer-warrant officer?
All individuals designated as CIP RA Officers or Warrant Officers are required to file the form.
How to fill out cip ra officer-warrant officer?
The form can be filled out electronically or manually with the required information. It is important to ensure all information is accurate and complete.
What is the purpose of cip ra officer-warrant officer?
The purpose is to ensure compliance with regulations and to report necessary information related to CIP RA Officers or Warrant Officers.
What information must be reported on cip ra officer-warrant officer?
Information such as name, title, contact information, and other relevant details must be reported on the form.
Fill out your cip ra officer-warrant officer online with pdfFiller!
pdfFiller is an end-to-end solution for managing, creating, and editing documents and forms in the cloud. Save time and hassle by preparing your tax forms online.

Cip Ra Officer-Warrant Officer is not the form you're looking for?Search for another form here.
Relevant keywords
Related Forms
If you believe that this page should be taken down, please follow our DMCA take down process
here
.
This form may include fields for payment information. Data entered in these fields is not covered by PCI DSS compliance.