
Get the free Find a Case (PACER)United States CourtsFiling Papers in Court - gettingstartedselfhe...
Show details
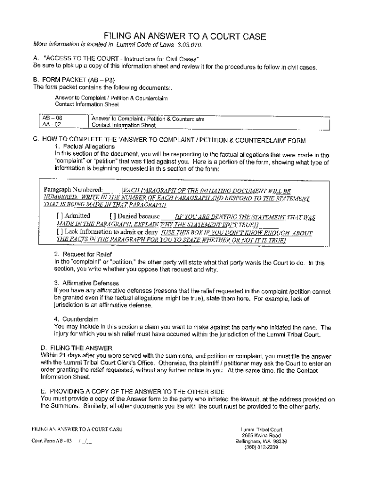
FILING AN ANSWER TO A COURT CASE More information is located in Alumni Code of Laws 3.03.070. A. ACCESS TO THE COURT Instructions for Civil Cases Be sure to pick up a copy of this information sheet
We are not affiliated with any brand or entity on this form
Get, Create, Make and Sign find a case pacerunited

Edit your find a case pacerunited form online
Type text, complete fillable fields, insert images, highlight or blackout data for discretion, add comments, and more.

Add your legally-binding signature
Draw or type your signature, upload a signature image, or capture it with your digital camera.

Share your form instantly
Email, fax, or share your find a case pacerunited form via URL. You can also download, print, or export forms to your preferred cloud storage service.
Editing find a case pacerunited online
Here are the steps you need to follow to get started with our professional PDF editor:
1
Sign into your account. If you don't have a profile yet, click Start Free Trial and sign up for one.
2
Upload a document. Select Add New on your Dashboard and transfer a file into the system in one of the following ways: by uploading it from your device or importing from the cloud, web, or internal mail. Then, click Start editing.
3
Edit find a case pacerunited. Add and change text, add new objects, move pages, add watermarks and page numbers, and more. Then click Done when you're done editing and go to the Documents tab to merge or split the file. If you want to lock or unlock the file, click the lock or unlock button.
4
Save your file. Select it from your list of records. Then, move your cursor to the right toolbar and choose one of the exporting options. You can save it in multiple formats, download it as a PDF, send it by email, or store it in the cloud, among other things.
pdfFiller makes dealing with documents a breeze. Create an account to find out!
Uncompromising security for your PDF editing and eSignature needs
Your private information is safe with pdfFiller. We employ end-to-end encryption, secure cloud storage, and advanced access control to protect your documents and maintain regulatory compliance.
How to fill out find a case pacerunited

How to fill out find a case pacerunited
01
Open the pacerunited website in your web browser.
02
Navigate to the 'Find a Case' section on the website.
03
Enter the required information such as the case number, party name, or court location.
04
Click on the 'Search' button to initiate the search.
05
Review the search results which will display the relevant cases matching your entered criteria.
06
Click on a specific case to view additional details and information about the case.
07
You can further refine your search by using additional filters or criteria.
08
Once you have found the desired case, you can save it or take necessary actions related to the case.
Who needs find a case pacerunited?
01
Anyone who is involved in legal matters and requires access to court case information may need to use the 'Find a Case' feature of pacerunited.
02
This may include lawyers, attorneys, legal researchers, journalists, or even individuals who are personally involved in a case and need to track its progress.
03
By using the 'Find a Case' feature, users can easily locate and review case information, keep track of court proceedings, and stay informed about the status of a particular case.
Fill
form
: Try Risk Free
For pdfFiller’s FAQs
Below is a list of the most common customer questions. If you can’t find an answer to your question, please don’t hesitate to reach out to us.
How do I make changes in find a case pacerunited?
The editing procedure is simple with pdfFiller. Open your find a case pacerunited in the editor, which is quite user-friendly. You may use it to blackout, redact, write, and erase text, add photos, draw arrows and lines, set sticky notes and text boxes, and much more.
Can I create an electronic signature for signing my find a case pacerunited in Gmail?
You may quickly make your eSignature using pdfFiller and then eSign your find a case pacerunited right from your mailbox using pdfFiller's Gmail add-on. Please keep in mind that in order to preserve your signatures and signed papers, you must first create an account.
How do I fill out the find a case pacerunited form on my smartphone?
You can quickly make and fill out legal forms with the help of the pdfFiller app on your phone. Complete and sign find a case pacerunited and other documents on your mobile device using the application. If you want to learn more about how the PDF editor works, go to pdfFiller.com.
What is find a case pacerunited?
Find a Case Pacerunited is a tool used to search for legal cases or court records online.
Who is required to file find a case pacerunited?
Anyone looking for specific legal cases or court records can use Find a Case Pacerunited.
How to fill out find a case pacerunited?
To use Find a Case Pacerunited, simply enter the name of the case or the parties involved in the search bar.
What is the purpose of find a case pacerunited?
The purpose of Find a Case Pacerunited is to make legal cases and court records easily accessible to the public.
What information must be reported on find a case pacerunited?
Find a Case Pacerunited may require entering specific case details or parties involved to narrow down search results.
Fill out your find a case pacerunited online with pdfFiller!
pdfFiller is an end-to-end solution for managing, creating, and editing documents and forms in the cloud. Save time and hassle by preparing your tax forms online.

Find A Case Pacerunited is not the form you're looking for?Search for another form here.
Relevant keywords
Related Forms
If you believe that this page should be taken down, please follow our DMCA take down process
here
.
This form may include fields for payment information. Data entered in these fields is not covered by PCI DSS compliance.