
Get the free PDF NOTES AND INSTRUCTIONS FOR FORM IR1263 - Inland Revenue ...
Show details
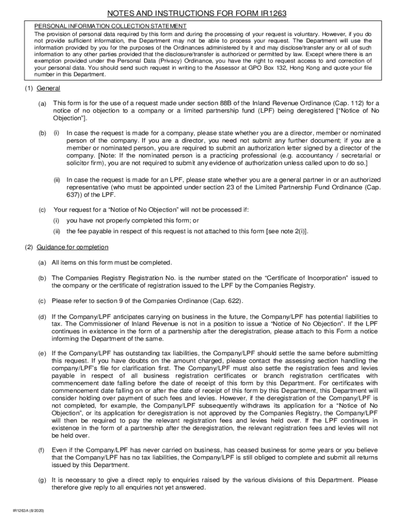
NOTES AND INSTRUCTIONS FOR FORM IR1263 PERSONAL INFORMATION COLLECTION STATEMENT The provision of personal data required by this form and during the processing of your request is voluntary. However,
We are not affiliated with any brand or entity on this form
Get, Create, Make and Sign pdf notes and instructions

Edit your pdf notes and instructions form online
Type text, complete fillable fields, insert images, highlight or blackout data for discretion, add comments, and more.

Add your legally-binding signature
Draw or type your signature, upload a signature image, or capture it with your digital camera.

Share your form instantly
Email, fax, or share your pdf notes and instructions form via URL. You can also download, print, or export forms to your preferred cloud storage service.
Editing pdf notes and instructions online
To use the services of a skilled PDF editor, follow these steps below:
1
Log in to your account. Click on Start Free Trial and register a profile if you don't have one yet.
2
Prepare a file. Use the Add New button. Then upload your file to the system from your device, importing it from internal mail, the cloud, or by adding its URL.
3
Edit pdf notes and instructions. Text may be added and replaced, new objects can be included, pages can be rearranged, watermarks and page numbers can be added, and so on. When you're done editing, click Done and then go to the Documents tab to combine, divide, lock, or unlock the file.
4
Save your file. Choose it from the list of records. Then, shift the pointer to the right toolbar and select one of the several exporting methods: save it in multiple formats, download it as a PDF, email it, or save it to the cloud.
pdfFiller makes working with documents easier than you could ever imagine. Try it for yourself by creating an account!
Uncompromising security for your PDF editing and eSignature needs
Your private information is safe with pdfFiller. We employ end-to-end encryption, secure cloud storage, and advanced access control to protect your documents and maintain regulatory compliance.
How to fill out pdf notes and instructions

How to fill out pdf notes and instructions
01
Open the PDF notes in a PDF editor software.
02
Use the text tool to click on the fields you want to fill out.
03
Type in the required information in the fields.
04
Use the navigation buttons to move to the next page, if necessary.
05
Save the filled-out PDF notes.
Who needs pdf notes and instructions?
01
Students who want to take digital notes instead of writing on paper.
02
Professionals who need to fill out forms or sign documents electronically.
03
Researchers who want to annotate and highlight important points in research papers.
04
Individuals who prefer organizing their information digitally.
05
Anyone who wants to have a convenient and searchable record of their notes and instructions.
Fill
form
: Try Risk Free
For pdfFiller’s FAQs
Below is a list of the most common customer questions. If you can’t find an answer to your question, please don’t hesitate to reach out to us.
Where do I find pdf notes and instructions?
The pdfFiller premium subscription gives you access to a large library of fillable forms (over 25 million fillable templates) that you can download, fill out, print, and sign. In the library, you'll have no problem discovering state-specific pdf notes and instructions and other forms. Find the template you want and tweak it with powerful editing tools.
How do I fill out pdf notes and instructions using my mobile device?
On your mobile device, use the pdfFiller mobile app to complete and sign pdf notes and instructions. Visit our website (https://edit-pdf-ios-android.pdffiller.com/) to discover more about our mobile applications, the features you'll have access to, and how to get started.
How can I fill out pdf notes and instructions on an iOS device?
Install the pdfFiller app on your iOS device to fill out papers. If you have a subscription to the service, create an account or log in to an existing one. After completing the registration process, upload your pdf notes and instructions. You may now use pdfFiller's advanced features, such as adding fillable fields and eSigning documents, and accessing them from any device, wherever you are.
What is pdf notes and instructions?
PDF notes and instructions are documents that provide guidance on how to fill out a specific form or complete a certain task.
Who is required to file pdf notes and instructions?
Anyone who needs to submit a specific form or complete a specific task that has accompanying PDF notes and instructions must file them.
How to fill out pdf notes and instructions?
To fill out PDF notes and instructions, simply follow the step-by-step guidelines provided within the document.
What is the purpose of pdf notes and instructions?
The purpose of PDF notes and instructions is to assist individuals in completing tasks accurately and efficiently.
What information must be reported on pdf notes and instructions?
The information to be reported on PDF notes and instructions will vary depending on the specific task or form being completed.
Fill out your pdf notes and instructions online with pdfFiller!
pdfFiller is an end-to-end solution for managing, creating, and editing documents and forms in the cloud. Save time and hassle by preparing your tax forms online.

Pdf Notes And Instructions is not the form you're looking for?Search for another form here.
Relevant keywords
Related Forms
If you believe that this page should be taken down, please follow our DMCA take down process
here
.
This form may include fields for payment information. Data entered in these fields is not covered by PCI DSS compliance.