Get the free bc hydro get prepared contest official contest rules no ...
Show details
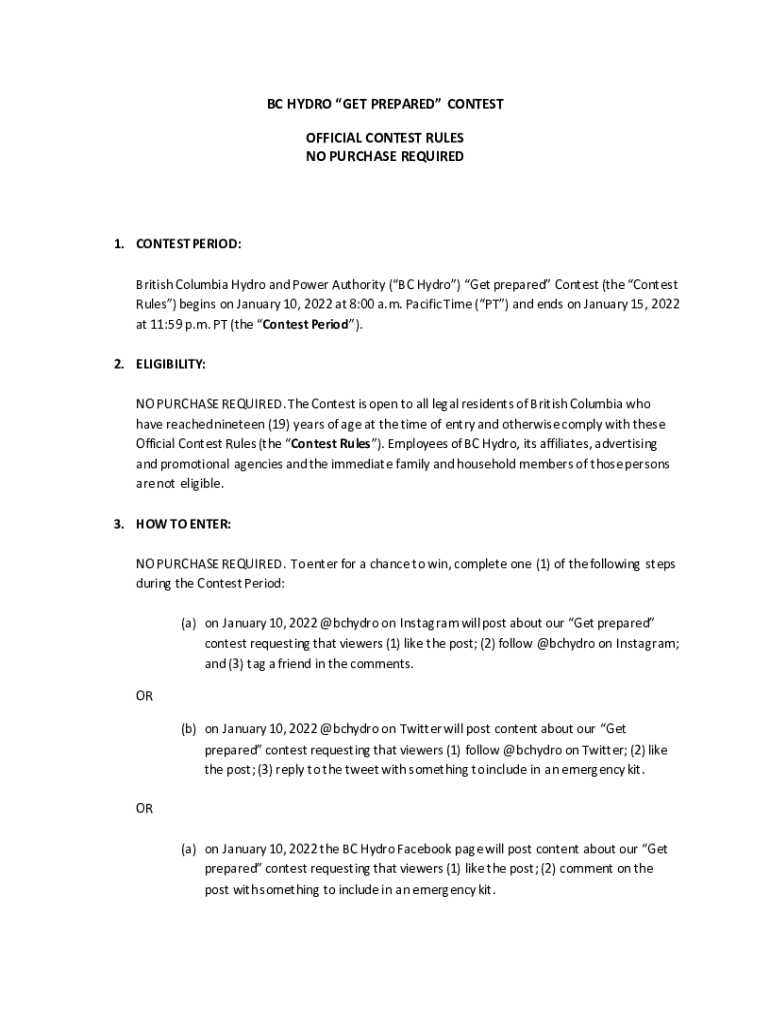
BC HYDRO GET PREPARED CONTEST OFFICIAL CONTEST RULES NO PURCHASE REQUIRED1. CONTEST PERIOD: British Columbia Hydro and Power Authority (BC Hydro) Get prepared Contest (the Contest Rules) begins on
We are not affiliated with any brand or entity on this form
Get, Create, Make and Sign bc hydro get prepared
Edit your bc hydro get prepared form online
Type text, complete fillable fields, insert images, highlight or blackout data for discretion, add comments, and more.
Add your legally-binding signature
Draw or type your signature, upload a signature image, or capture it with your digital camera.
Share your form instantly
Email, fax, or share your bc hydro get prepared form via URL. You can also download, print, or export forms to your preferred cloud storage service.
How to edit bc hydro get prepared online
To use our professional PDF editor, follow these steps:
1
Create an account. Begin by choosing Start Free Trial and, if you are a new user, establish a profile.
2
Simply add a document. Select Add New from your Dashboard and import a file into the system by uploading it from your device or importing it via the cloud, online, or internal mail. Then click Begin editing.
3
Edit bc hydro get prepared. Replace text, adding objects, rearranging pages, and more. Then select the Documents tab to combine, divide, lock or unlock the file.
4
Get your file. Select the name of your file in the docs list and choose your preferred exporting method. You can download it as a PDF, save it in another format, send it by email, or transfer it to the cloud.
It's easier to work with documents with pdfFiller than you could have ever thought. You can sign up for an account to see for yourself.
Uncompromising security for your PDF editing and eSignature needs
Your private information is safe with pdfFiller. We employ end-to-end encryption, secure cloud storage, and advanced access control to protect your documents and maintain regulatory compliance.
How to fill out bc hydro get prepared
How to fill out bc hydro get prepared
01
To fill out BC Hydro Get Prepared, follow these steps:
02
Visit the BC Hydro website and navigate to the 'Get Prepared' section.
03
Click on the 'Fill out BC Hydro Get Prepared' link.
04
Fill in your personal information such as name, address, and contact details.
05
Answer the questions related to your household's preparedness for emergencies and power outages.
06
Provide information about your specific needs or medical requirements during power outages.
07
Review the information you have provided and make any necessary changes.
08
Submit the form and wait for a confirmation email from BC Hydro.
09
Take note of any reference numbers or confirmation details provided.
10
Keep your contact information updated in case of any changes.
11
Review and update your preparedness plan regularly.
Who needs bc hydro get prepared?
01
BC Hydro Get Prepared is for anyone who relies on BC Hydro services and wants to be prepared for emergencies and power outages.
02
It is especially important for those with specific needs or medical requirements during power outages.
03
This includes individuals with medical conditions requiring electricity, elderly individuals, families with young children, and people with disabilities.
Fill
form
: Try Risk Free
For pdfFiller’s FAQs
Below is a list of the most common customer questions. If you can’t find an answer to your question, please don’t hesitate to reach out to us.
How can I modify bc hydro get prepared without leaving Google Drive?
Simplify your document workflows and create fillable forms right in Google Drive by integrating pdfFiller with Google Docs. The integration will allow you to create, modify, and eSign documents, including bc hydro get prepared, without leaving Google Drive. Add pdfFiller’s functionalities to Google Drive and manage your paperwork more efficiently on any internet-connected device.
Where do I find bc hydro get prepared?
It's simple with pdfFiller, a full online document management tool. Access our huge online form collection (over 25M fillable forms are accessible) and find the bc hydro get prepared in seconds. Open it immediately and begin modifying it with powerful editing options.
How do I execute bc hydro get prepared online?
pdfFiller has made it easy to fill out and sign bc hydro get prepared. You can use the solution to change and move PDF content, add fields that can be filled in, and sign the document electronically. Start a free trial of pdfFiller, the best tool for editing and filling in documents.
What is bc hydro get prepared?
BC Hydro Get Prepared is a program designed to help customers be prepared for emergencies such as power outages and natural disasters.
Who is required to file bc hydro get prepared?
All BC Hydro customers are encouraged to participate in the Get Prepared program.
How to fill out bc hydro get prepared?
Customers can fill out the BC Hydro Get Prepared form online or contact BC Hydro for assistance.
What is the purpose of bc hydro get prepared?
The purpose of BC Hydro Get Prepared is to ensure that customers have a plan in place to deal with emergencies and power outages.
What information must be reported on bc hydro get prepared?
Customers must provide their contact information, emergency contact information, and details of their emergency plan.
Fill out your bc hydro get prepared online with pdfFiller!
pdfFiller is an end-to-end solution for managing, creating, and editing documents and forms in the cloud. Save time and hassle by preparing your tax forms online.
Bc Hydro Get Prepared is not the form you're looking for?Search for another form here.
Relevant keywords
Related Forms
If you believe that this page should be taken down, please follow our DMCA take down process
here
.
This form may include fields for payment information. Data entered in these fields is not covered by PCI DSS compliance.