Get the free MG11 Witness Statement - City of York Council
Show details
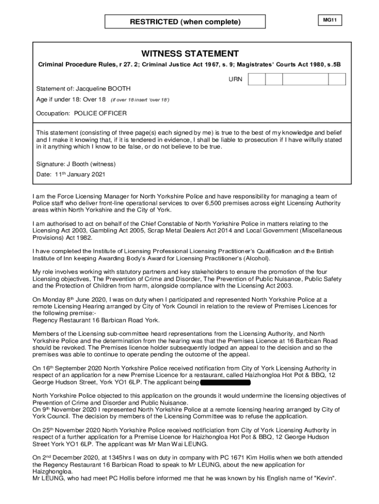
RESTRICTED (when complete×MG11WITNESS STATEMENT Criminal Procedure Rules, r 27. 2; Criminal Justice Act 1967, s. 9; Magistrates Courts Act 1980, s.5B URN Statement of: Jacqueline BOOTH Age if under
We are not affiliated with any brand or entity on this form
Get, Create, Make and Sign mg11 witness statement
Edit your mg11 witness statement form online
Type text, complete fillable fields, insert images, highlight or blackout data for discretion, add comments, and more.
Add your legally-binding signature
Draw or type your signature, upload a signature image, or capture it with your digital camera.
Share your form instantly
Email, fax, or share your mg11 witness statement form via URL. You can also download, print, or export forms to your preferred cloud storage service.
Editing mg11 witness statement online
Follow the guidelines below to use a professional PDF editor:
1
Create an account. Begin by choosing Start Free Trial and, if you are a new user, establish a profile.
2
Prepare a file. Use the Add New button to start a new project. Then, using your device, upload your file to the system by importing it from internal mail, the cloud, or adding its URL.
3
Edit mg11 witness statement. Add and replace text, insert new objects, rearrange pages, add watermarks and page numbers, and more. Click Done when you are finished editing and go to the Documents tab to merge, split, lock or unlock the file.
4
Get your file. When you find your file in the docs list, click on its name and choose how you want to save it. To get the PDF, you can save it, send an email with it, or move it to the cloud.
The use of pdfFiller makes dealing with documents straightforward. Try it now!
Uncompromising security for your PDF editing and eSignature needs
Your private information is safe with pdfFiller. We employ end-to-end encryption, secure cloud storage, and advanced access control to protect your documents and maintain regulatory compliance.
Fill
form
: Try Risk Free
For pdfFiller’s FAQs
Below is a list of the most common customer questions. If you can’t find an answer to your question, please don’t hesitate to reach out to us.
How do I edit mg11 witness statement in Chrome?
mg11 witness statement can be edited, filled out, and signed with the pdfFiller Google Chrome Extension. You can open the editor right from a Google search page with just one click. Fillable documents can be done on any web-connected device without leaving Chrome.
Can I sign the mg11 witness statement electronically in Chrome?
Yes. You can use pdfFiller to sign documents and use all of the features of the PDF editor in one place if you add this solution to Chrome. In order to use the extension, you can draw or write an electronic signature. You can also upload a picture of your handwritten signature. There is no need to worry about how long it takes to sign your mg11 witness statement.
How can I edit mg11 witness statement on a smartphone?
Using pdfFiller's mobile-native applications for iOS and Android is the simplest method to edit documents on a mobile device. You may get them from the Apple App Store and Google Play, respectively. More information on the apps may be found here. Install the program and log in to begin editing mg11 witness statement.
What is mg11 witness statement?
The MG11 witness statement is a written document containing information from a witness related to a criminal investigation or court case.
Who is required to file mg11 witness statement?
Anyone who has witnessed a crime or has information relevant to a criminal investigation or court case may be required to file an MG11 witness statement.
How to fill out mg11 witness statement?
To fill out an MG11 witness statement, the witness should provide their personal details, a detailed account of what they witnessed, and any other relevant information.
What is the purpose of mg11 witness statement?
The purpose of an MG11 witness statement is to provide a written record of a witness's account of events related to a criminal investigation or court case, which can be used as evidence in court.
What information must be reported on mg11 witness statement?
The MG11 witness statement should include the witness's name, contact information, date and location of the incident witnessed, a detailed account of what was seen or heard, and any other relevant information.
Fill out your mg11 witness statement online with pdfFiller!
pdfFiller is an end-to-end solution for managing, creating, and editing documents and forms in the cloud. Save time and hassle by preparing your tax forms online.
mg11 Witness Statement is not the form you're looking for?Search for another form here.
Relevant keywords
Related Forms
If you believe that this page should be taken down, please follow our DMCA take down process
here
.
This form may include fields for payment information. Data entered in these fields is not covered by PCI DSS compliance.