Get the free MEDS - Fisheries and Oceans Canada - waves-vagues dfo-mpo gc
Show details
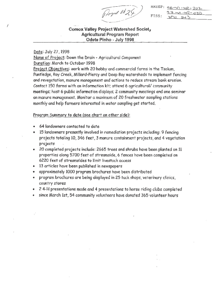
HH!;EP :IS S : /bPD2!::\'Como Valley Project Watershed Society Agricultural Program Report Odets Pinto July 1998Date: July 27, 1998, Name of Project: Down the Drain Agricultural Component Duration:
We are not affiliated with any brand or entity on this form
Get, Create, Make and Sign meds - fisheries and
Edit your meds - fisheries and form online
Type text, complete fillable fields, insert images, highlight or blackout data for discretion, add comments, and more.
Add your legally-binding signature
Draw or type your signature, upload a signature image, or capture it with your digital camera.
Share your form instantly
Email, fax, or share your meds - fisheries and form via URL. You can also download, print, or export forms to your preferred cloud storage service.
How to edit meds - fisheries and online
Here are the steps you need to follow to get started with our professional PDF editor:
1
Register the account. Begin by clicking Start Free Trial and create a profile if you are a new user.
2
Upload a document. Select Add New on your Dashboard and transfer a file into the system in one of the following ways: by uploading it from your device or importing from the cloud, web, or internal mail. Then, click Start editing.
3
Edit meds - fisheries and. Rearrange and rotate pages, add new and changed texts, add new objects, and use other useful tools. When you're done, click Done. You can use the Documents tab to merge, split, lock, or unlock your files.
4
Save your file. Select it in the list of your records. Then, move the cursor to the right toolbar and choose one of the available exporting methods: save it in multiple formats, download it as a PDF, send it by email, or store it in the cloud.
pdfFiller makes working with documents easier than you could ever imagine. Try it for yourself by creating an account!
Uncompromising security for your PDF editing and eSignature needs
Your private information is safe with pdfFiller. We employ end-to-end encryption, secure cloud storage, and advanced access control to protect your documents and maintain regulatory compliance.
How to fill out meds - fisheries and
How to fill out meds - fisheries and
01
To fill out meds - fisheries, follow these steps:
02
Gather all necessary information such as the type of medication being used, dosage instructions, and any special precautions.
03
Check the medication labels for any specific guidelines or warnings related to fisheries.
04
Prepare a well-ventilated and clean area for filling out the medications.
05
Ensure that all required equipment and supplies are available, such as syringes, measuring cups, and mixing containers.
06
Measure the correct amount of medication according to the dosage instructions.
07
Dilute the medication if necessary, following the provided guidelines.
08
Mix the medication thoroughly to ensure proper distribution of the active ingredients.
09
Fill the medication into appropriate containers or dispensers that are suitable for fisheries.
10
Label the containers with clear and accurate information about the medication, dosage, and any precautions.
11
Store the filled medications in a safe and secure location, away from direct sunlight and extreme temperatures.
12
Dispose of any leftover medication or empty containers properly, following the local regulations and guidelines.
Who needs meds - fisheries and?
01
Fisheries administrators, workers, and researchers who are involved in the management, treatment, or study of fish populations and habitats may need meds - fisheries.
02
These medications can be used to treat diseases, parasites, or other health issues that affect fisheries.
03
Fish farmers, aquaculturists, and hobbyists who maintain fish populations in controlled environments may also need meds - fisheries to maintain the health and well-being of their fish.
04
Furthermore, organizations and agencies responsible for ensuring the ecological balance and sustainability of fisheries might require meds - fisheries to control or prevent the spreading of diseases or harmful organisms within fish populations.
Fill
form
: Try Risk Free
For pdfFiller’s FAQs
Below is a list of the most common customer questions. If you can’t find an answer to your question, please don’t hesitate to reach out to us.
How can I edit meds - fisheries and from Google Drive?
You can quickly improve your document management and form preparation by integrating pdfFiller with Google Docs so that you can create, edit and sign documents directly from your Google Drive. The add-on enables you to transform your meds - fisheries and into a dynamic fillable form that you can manage and eSign from any internet-connected device.
Can I create an eSignature for the meds - fisheries and in Gmail?
With pdfFiller's add-on, you may upload, type, or draw a signature in Gmail. You can eSign your meds - fisheries and and other papers directly in your mailbox with pdfFiller. To preserve signed papers and your personal signatures, create an account.
How do I edit meds - fisheries and on an iOS device?
Create, modify, and share meds - fisheries and using the pdfFiller iOS app. Easy to install from the Apple Store. You may sign up for a free trial and then purchase a membership.
What is meds - fisheries and?
Meds - Fisheries and is a form used to report information about fishing activities and catch data.
Who is required to file meds - fisheries and?
Fishermen, fishing vessel owners, and fisheries managers are required to file meds - fisheries and.
How to fill out meds - fisheries and?
Meds - Fisheries and can be filled out online on the official fisheries website or submitted in person at a local fisheries office.
What is the purpose of meds - fisheries and?
The purpose of meds - fisheries and is to monitor and manage fisheries resources, track fishing activities, and ensure compliance with fishing regulations.
What information must be reported on meds - fisheries and?
Information such as catch data, fishing location, gear used, species caught, and fishing effort must be reported on meds - fisheries and.
Fill out your meds - fisheries and online with pdfFiller!
pdfFiller is an end-to-end solution for managing, creating, and editing documents and forms in the cloud. Save time and hassle by preparing your tax forms online.
Meds - Fisheries And is not the form you're looking for?Search for another form here.
Relevant keywords
Related Forms
If you believe that this page should be taken down, please follow our DMCA take down process
here
.
This form may include fields for payment information. Data entered in these fields is not covered by PCI DSS compliance.