
Get the free AGREEMENT AND PLAN OF MERGER AMONG JUMPTV ... - Law Insider
Show details
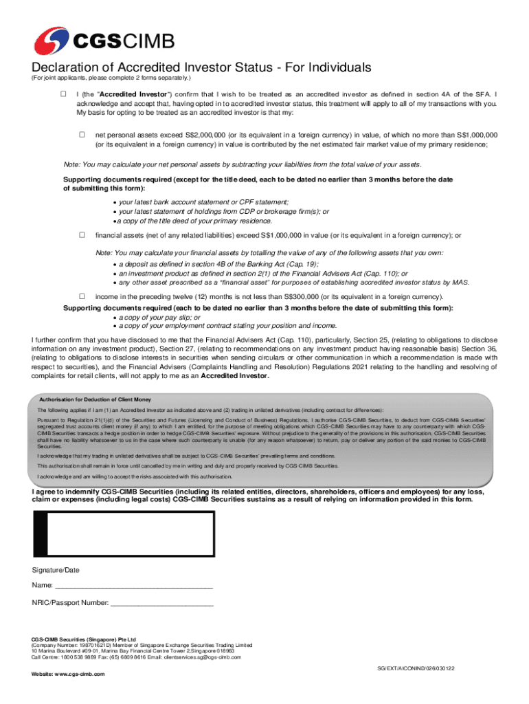
Declaration of Accredited Investor Status For Individuals (For joint applicants, please complete 2 forms separately.×I (the Accredited Investor) confirm that I wish to be treated as an accredited
We are not affiliated with any brand or entity on this form
Get, Create, Make and Sign agreement and plan of

Edit your agreement and plan of form online
Type text, complete fillable fields, insert images, highlight or blackout data for discretion, add comments, and more.

Add your legally-binding signature
Draw or type your signature, upload a signature image, or capture it with your digital camera.

Share your form instantly
Email, fax, or share your agreement and plan of form via URL. You can also download, print, or export forms to your preferred cloud storage service.
How to edit agreement and plan of online
In order to make advantage of the professional PDF editor, follow these steps:
1
Create an account. Begin by choosing Start Free Trial and, if you are a new user, establish a profile.
2
Prepare a file. Use the Add New button. Then upload your file to the system from your device, importing it from internal mail, the cloud, or by adding its URL.
3
Edit agreement and plan of. Rearrange and rotate pages, add new and changed texts, add new objects, and use other useful tools. When you're done, click Done. You can use the Documents tab to merge, split, lock, or unlock your files.
4
Get your file. When you find your file in the docs list, click on its name and choose how you want to save it. To get the PDF, you can save it, send an email with it, or move it to the cloud.
Dealing with documents is always simple with pdfFiller.
Uncompromising security for your PDF editing and eSignature needs
Your private information is safe with pdfFiller. We employ end-to-end encryption, secure cloud storage, and advanced access control to protect your documents and maintain regulatory compliance.
How to fill out agreement and plan of

How to fill out agreement and plan of
01
Read the agreement and plan document thoroughly to understand its purpose and requirements.
02
Gather all the necessary information and supporting documents that are needed to fill out the agreement and plan.
03
Start by providing your personal details such as your name, address, contact information, and any other required identification.
04
Follow the instructions mentioned in the agreement and plan document to fill out the specific sections and fields.
05
Provide accurate and relevant information in each section, ensuring that all the details are clearly mentioned.
06
If there are any terms or conditions mentioned in the agreement and plan, make sure to review and understand them before proceeding.
07
Double-check all the information you have filled in for any errors or omissions.
08
Sign and date the agreement and plan document in the designated areas, following any additional instructions provided.
09
Make copies of the filled-out agreement and plan for your records.
10
Submit the filled-out agreement and plan as per the instructions provided, whether it's by mail, email, or any other specified method.
11
Keep a copy of the submission confirmation or acknowledgment for future reference.
12
If required, follow up with the concerned party to ensure that your agreement and plan has been received and processed.
Who needs agreement and plan of?
01
Agreement and plan documents are typically needed in legal, business, and financial contexts.
02
Various entities and individuals may require an agreement and plan, such as:
03
- Businesses entering into a partnership or joint venture.
04
- Employers and employees drafting employment contracts or non-disclosure agreements.
05
- Individuals purchasing or selling property or real estate.
06
- Investors and stakeholders participating in investment agreements.
07
- Lenders and borrowers creating loan agreements.
08
- Contractors and clients establishing service or project agreements.
Fill
form
: Try Risk Free
For pdfFiller’s FAQs
Below is a list of the most common customer questions. If you can’t find an answer to your question, please don’t hesitate to reach out to us.
How can I get agreement and plan of?
The pdfFiller premium subscription gives you access to a large library of fillable forms (over 25 million fillable templates) that you can download, fill out, print, and sign. In the library, you'll have no problem discovering state-specific agreement and plan of and other forms. Find the template you want and tweak it with powerful editing tools.
How do I edit agreement and plan of online?
pdfFiller not only allows you to edit the content of your files but fully rearrange them by changing the number and sequence of pages. Upload your agreement and plan of to the editor and make any required adjustments in a couple of clicks. The editor enables you to blackout, type, and erase text in PDFs, add images, sticky notes and text boxes, and much more.
Can I edit agreement and plan of on an iOS device?
Create, modify, and share agreement and plan of using the pdfFiller iOS app. Easy to install from the Apple Store. You may sign up for a free trial and then purchase a membership.
What is agreement and plan of?
Agreement and plan of is a legal document outlining the terms and conditions of a mutual agreement between parties.
Who is required to file agreement and plan of?
Parties involved in the agreement are required to file an agreement and plan of.
How to fill out agreement and plan of?
Agreement and plan of can be filled out by providing details of the agreement, terms, conditions, and signature of involved parties.
What is the purpose of agreement and plan of?
The purpose of agreement and plan of is to formalize the agreement between parties and outline the responsibilities and obligations.
What information must be reported on agreement and plan of?
Information such as names of parties, terms of the agreement, obligations, signatures, and date must be reported on the agreement and plan of.
Fill out your agreement and plan of online with pdfFiller!
pdfFiller is an end-to-end solution for managing, creating, and editing documents and forms in the cloud. Save time and hassle by preparing your tax forms online.

Agreement And Plan Of is not the form you're looking for?Search for another form here.
Relevant keywords
Related Forms
If you believe that this page should be taken down, please follow our DMCA take down process
here
.
This form may include fields for payment information. Data entered in these fields is not covered by PCI DSS compliance.