
Get the free COBBLESTONE Cobblestone Clubhouse Rental Agreement
Show details
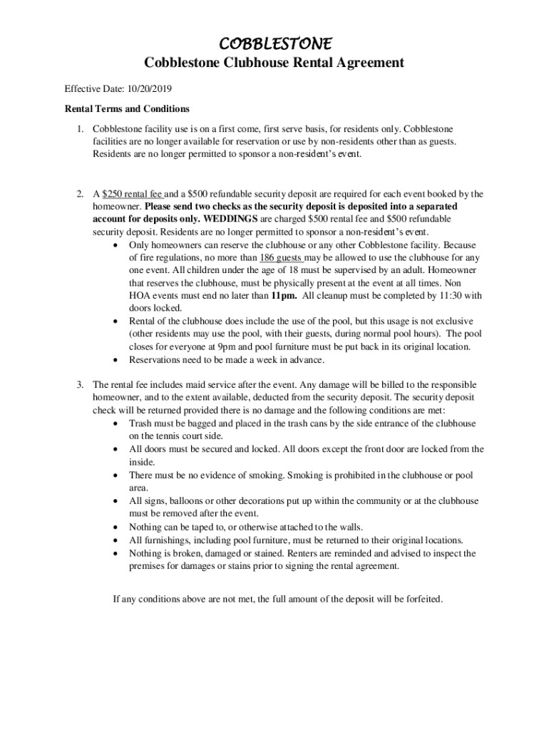
COBBLESTONE Clubhouse Rental Agreement Effective Date: 10×20/2019 Rental Terms and Conditions 1. Cobblestone facility use is on a first come, first served basis, for residents only. Cobblestone facilities
We are not affiliated with any brand or entity on this form
Get, Create, Make and Sign cobblestone cobblestone clubhouse rental

Edit your cobblestone cobblestone clubhouse rental form online
Type text, complete fillable fields, insert images, highlight or blackout data for discretion, add comments, and more.

Add your legally-binding signature
Draw or type your signature, upload a signature image, or capture it with your digital camera.

Share your form instantly
Email, fax, or share your cobblestone cobblestone clubhouse rental form via URL. You can also download, print, or export forms to your preferred cloud storage service.
Editing cobblestone cobblestone clubhouse rental online
To use the services of a skilled PDF editor, follow these steps:
1
Log in. Click Start Free Trial and create a profile if necessary.
2
Upload a file. Select Add New on your Dashboard and upload a file from your device or import it from the cloud, online, or internal mail. Then click Edit.
3
Edit cobblestone cobblestone clubhouse rental. Text may be added and replaced, new objects can be included, pages can be rearranged, watermarks and page numbers can be added, and so on. When you're done editing, click Done and then go to the Documents tab to combine, divide, lock, or unlock the file.
4
Save your file. Choose it from the list of records. Then, shift the pointer to the right toolbar and select one of the several exporting methods: save it in multiple formats, download it as a PDF, email it, or save it to the cloud.
It's easier to work with documents with pdfFiller than you could have believed. Sign up for a free account to view.
Uncompromising security for your PDF editing and eSignature needs
Your private information is safe with pdfFiller. We employ end-to-end encryption, secure cloud storage, and advanced access control to protect your documents and maintain regulatory compliance.
How to fill out cobblestone cobblestone clubhouse rental

How to fill out cobblestone cobblestone clubhouse rental
01
Start by contacting the cobblestone clubhouse rental office to inquire about availability and any requirements.
02
Once you have confirmed availability, set a date and time for your rental.
03
Fill out the rental application form accurately and provide any necessary documentation or information requested.
04
Pay the required rental fees and any applicable deposits.
05
Review and sign any rental agreements or contracts provided by the clubhouse rental office.
06
Attend any orientations or meetings required by the rental office.
07
On the day of your rental, arrive at the cobblestone clubhouse on time and follow any instructions or guidelines provided.
08
Enjoy your rental of the cobblestone clubhouse and ensure that you adhere to any rules or regulations set by the rental office.
Who needs cobblestone cobblestone clubhouse rental?
01
Anyone looking for a venue for a special event or gathering can benefit from cobblestone clubhouse rental. This could include individuals or groups organizing birthday parties, wedding receptions, community meetings, social gatherings, or corporate events. The cobblestone clubhouse provides a suitable space for various occasions.
Fill
form
: Try Risk Free
For pdfFiller’s FAQs
Below is a list of the most common customer questions. If you can’t find an answer to your question, please don’t hesitate to reach out to us.
How can I modify cobblestone cobblestone clubhouse rental without leaving Google Drive?
By integrating pdfFiller with Google Docs, you can streamline your document workflows and produce fillable forms that can be stored directly in Google Drive. Using the connection, you will be able to create, change, and eSign documents, including cobblestone cobblestone clubhouse rental, all without having to leave Google Drive. Add pdfFiller's features to Google Drive and you'll be able to handle your documents more effectively from any device with an internet connection.
How do I make changes in cobblestone cobblestone clubhouse rental?
pdfFiller not only lets you change the content of your files, but you can also change the number and order of pages. Upload your cobblestone cobblestone clubhouse rental to the editor and make any changes in a few clicks. The editor lets you black out, type, and erase text in PDFs. You can also add images, sticky notes, and text boxes, as well as many other things.
How do I complete cobblestone cobblestone clubhouse rental on an Android device?
Complete cobblestone cobblestone clubhouse rental and other documents on your Android device with the pdfFiller app. The software allows you to modify information, eSign, annotate, and share files. You may view your papers from anywhere with an internet connection.
What is cobblestone cobblestone clubhouse rental?
Cobblestone clubhouse rental is the rental of the clubhouse located in the Cobblestone community.
Who is required to file cobblestone cobblestone clubhouse rental?
Residents or organizations renting the Cobblestone clubhouse are required to file the rental agreement.
How to fill out cobblestone cobblestone clubhouse rental?
The cobblestone clubhouse rental agreement can be filled out online or in person at the clubhouse office.
What is the purpose of cobblestone cobblestone clubhouse rental?
The purpose of cobblestone clubhouse rental is to allow residents and organizations to host events and gatherings at the community clubhouse.
What information must be reported on cobblestone cobblestone clubhouse rental?
The rental agreement must include the date and time of the event, contact information of the renter, and any additional requests or requirements.
Fill out your cobblestone cobblestone clubhouse rental online with pdfFiller!
pdfFiller is an end-to-end solution for managing, creating, and editing documents and forms in the cloud. Save time and hassle by preparing your tax forms online.

Cobblestone Cobblestone Clubhouse Rental is not the form you're looking for?Search for another form here.
Relevant keywords
Related Forms
If you believe that this page should be taken down, please follow our DMCA take down process
here
.
This form may include fields for payment information. Data entered in these fields is not covered by PCI DSS compliance.