Get the free media.doe.in.govSchoolImprovementNPSCHLSNATIONAL LUTHERAN SCHOOL ACCREDITATION INDIA...
Show details
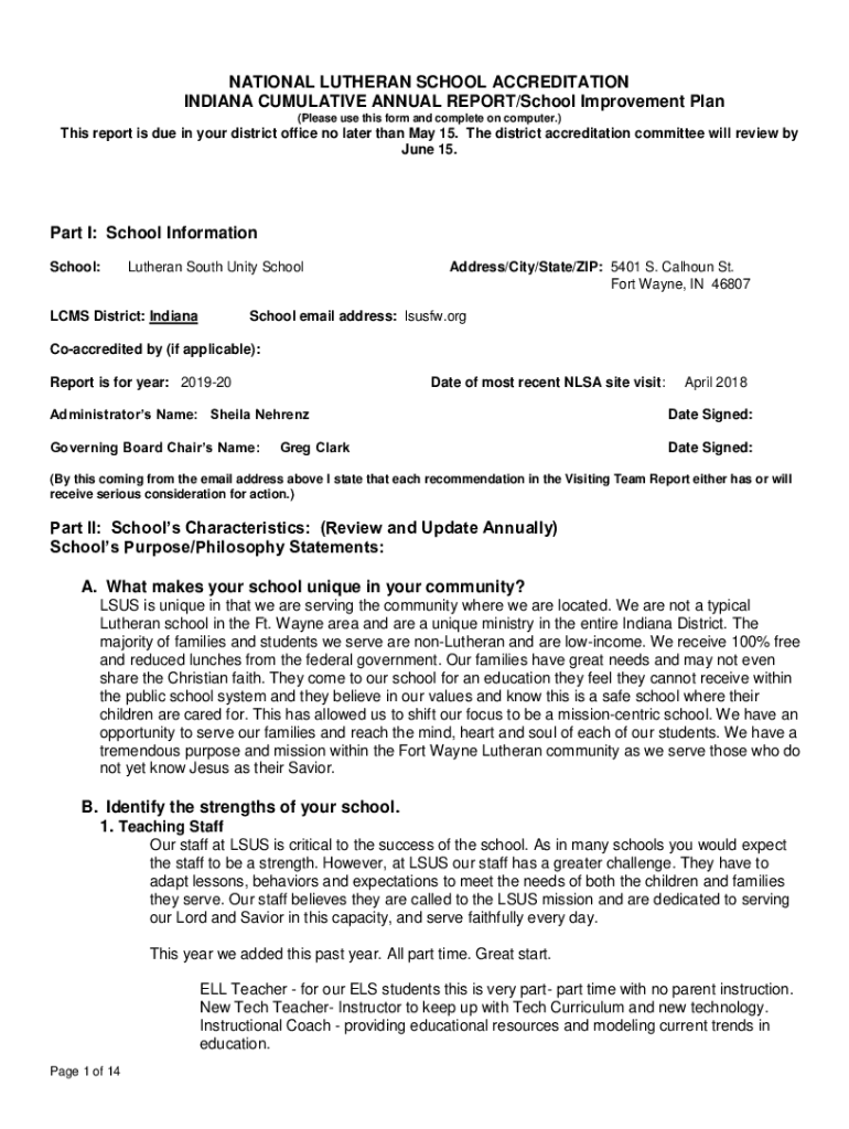
NATIONAL LUTHERAN SCHOOL ACCREDITATION INDIANA CUMULATIVE ANNUAL REPORT×School Improvement Plan (Please use this form and complete on computer.×This report is due in your district office no later
We are not affiliated with any brand or entity on this form
Get, Create, Make and Sign mediadoeingovschoolimprovementnpschlsnational luformran school accreditation
Edit your mediadoeingovschoolimprovementnpschlsnational luformran school accreditation form online
Type text, complete fillable fields, insert images, highlight or blackout data for discretion, add comments, and more.
Add your legally-binding signature
Draw or type your signature, upload a signature image, or capture it with your digital camera.
Share your form instantly
Email, fax, or share your mediadoeingovschoolimprovementnpschlsnational luformran school accreditation form via URL. You can also download, print, or export forms to your preferred cloud storage service.
How to edit mediadoeingovschoolimprovementnpschlsnational luformran school accreditation online
Use the instructions below to start using our professional PDF editor:
1
Register the account. Begin by clicking Start Free Trial and create a profile if you are a new user.
2
Prepare a file. Use the Add New button to start a new project. Then, using your device, upload your file to the system by importing it from internal mail, the cloud, or adding its URL.
3
Edit mediadoeingovschoolimprovementnpschlsnational luformran school accreditation. Add and change text, add new objects, move pages, add watermarks and page numbers, and more. Then click Done when you're done editing and go to the Documents tab to merge or split the file. If you want to lock or unlock the file, click the lock or unlock button.
4
Get your file. Select your file from the documents list and pick your export method. You may save it as a PDF, email it, or upload it to the cloud.
With pdfFiller, dealing with documents is always straightforward.
Uncompromising security for your PDF editing and eSignature needs
Your private information is safe with pdfFiller. We employ end-to-end encryption, secure cloud storage, and advanced access control to protect your documents and maintain regulatory compliance.
How to fill out mediadoeingovschoolimprovementnpschlsnational luformran school accreditation
How to fill out mediadoeingovschoolimprovementnpschlsnational luformran school accreditation
01
Start by visiting the mediadoeingovschoolimprovementnpschlsnational luformran website.
02
Click on the 'School Accreditation' section.
03
Look for the 'National School Accreditation Form' and click on it.
04
Download the form and ensure that you have all the necessary information and documents.
05
Fill out the form accurately, providing all the required information.
06
Double-check the form to ensure there are no errors or missing information.
07
Once you have completed the form, submit it either online or through the designated mailing address.
08
Wait for the accreditation process to be completed and receive a response from mediadoeingovschoolimprovementnpschlsnational luformran.
Who needs mediadoeingovschoolimprovementnpschlsnational luformran school accreditation?
01
Schools and educational institutions that wish to receive mediadoeingovschoolimprovementnpschlsnational luformran school accreditation.
Fill
form
: Try Risk Free
For pdfFiller’s FAQs
Below is a list of the most common customer questions. If you can’t find an answer to your question, please don’t hesitate to reach out to us.
How do I make edits in mediadoeingovschoolimprovementnpschlsnational luformran school accreditation without leaving Chrome?
Add pdfFiller Google Chrome Extension to your web browser to start editing mediadoeingovschoolimprovementnpschlsnational luformran school accreditation and other documents directly from a Google search page. The service allows you to make changes in your documents when viewing them in Chrome. Create fillable documents and edit existing PDFs from any internet-connected device with pdfFiller.
How do I fill out mediadoeingovschoolimprovementnpschlsnational luformran school accreditation using my mobile device?
Use the pdfFiller mobile app to complete and sign mediadoeingovschoolimprovementnpschlsnational luformran school accreditation on your mobile device. Visit our web page (https://edit-pdf-ios-android.pdffiller.com/) to learn more about our mobile applications, the capabilities you’ll have access to, and the steps to take to get up and running.
Can I edit mediadoeingovschoolimprovementnpschlsnational luformran school accreditation on an iOS device?
No, you can't. With the pdfFiller app for iOS, you can edit, share, and sign mediadoeingovschoolimprovementnpschlsnational luformran school accreditation right away. At the Apple Store, you can buy and install it in a matter of seconds. The app is free, but you will need to set up an account if you want to buy a subscription or start a free trial.
What is mediadoeingovschoolimprovementnpschlsnational luformran school accreditation?
Mediadoeingovschoolimprovementnpschlsnational luformran school accreditation is a process to evaluate and recognize schools that meet certain standards of quality.
Who is required to file mediadoeingovschoolimprovementnpschlsnational luformran school accreditation?
School administrators or authorities are typically required to file for mediadoeingovschoolimprovementnpschlsnational luformran school accreditation.
How to fill out mediadoeingovschoolimprovementnpschlsnational luformran school accreditation?
To fill out mediadoeingovschoolimprovementnpschlsnational luformran school accreditation, schools need to provide information about their curriculum, facilities, staff, and student performance.
What is the purpose of mediadoeingovschoolimprovementnpschlsnational luformran school accreditation?
The purpose of mediadoeingovschoolimprovementnpschlsnational luformran school accreditation is to ensure that schools are meeting certain standards of quality and providing a high-quality education to students.
What information must be reported on mediadoeingovschoolimprovementnpschlsnational luformran school accreditation?
Information such as student demographics, academic performance data, staff qualifications, curriculum details, and facilities information must be reported on mediadoeingovschoolimprovementnpschlsnational luformran school accreditation.
Fill out your mediadoeingovschoolimprovementnpschlsnational luformran school accreditation online with pdfFiller!
pdfFiller is an end-to-end solution for managing, creating, and editing documents and forms in the cloud. Save time and hassle by preparing your tax forms online.
Mediadoeingovschoolimprovementnpschlsnational Luformran School Accreditation is not the form you're looking for?Search for another form here.
Relevant keywords
Related Forms
If you believe that this page should be taken down, please follow our DMCA take down process
here
.
This form may include fields for payment information. Data entered in these fields is not covered by PCI DSS compliance.