Get the free service.posterguard.composterimagesSanLePOST WHERE EMPLOYEES CAN READ EASILY - VIOLA...
Show details
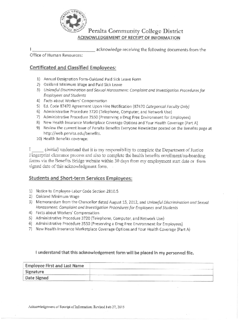
POST WHERE EMPLOYEES CAN READ EASILY. VIOLATORS ARE SUBJECT TO PENALTIESOFFICIAL NOTICEOAKLAND MINIMUM WAGE×14.14PER Operate Effective Date: January 1, 2020Beginning January 1, 2020, employees who
We are not affiliated with any brand or entity on this form
Get, Create, Make and Sign serviceposterguardcomposterimagessanlepost where employees can
Edit your serviceposterguardcomposterimagessanlepost where employees can form online
Type text, complete fillable fields, insert images, highlight or blackout data for discretion, add comments, and more.
Add your legally-binding signature
Draw or type your signature, upload a signature image, or capture it with your digital camera.
Share your form instantly
Email, fax, or share your serviceposterguardcomposterimagessanlepost where employees can form via URL. You can also download, print, or export forms to your preferred cloud storage service.
Editing serviceposterguardcomposterimagessanlepost where employees can online
Follow the steps down below to use a professional PDF editor:
1
Create an account. Begin by choosing Start Free Trial and, if you are a new user, establish a profile.
2
Simply add a document. Select Add New from your Dashboard and import a file into the system by uploading it from your device or importing it via the cloud, online, or internal mail. Then click Begin editing.
3
Edit serviceposterguardcomposterimagessanlepost where employees can. Rearrange and rotate pages, add and edit text, and use additional tools. To save changes and return to your Dashboard, click Done. The Documents tab allows you to merge, divide, lock, or unlock files.
4
Save your file. Select it from your list of records. Then, move your cursor to the right toolbar and choose one of the exporting options. You can save it in multiple formats, download it as a PDF, send it by email, or store it in the cloud, among other things.
It's easier to work with documents with pdfFiller than you could have believed. You may try it out for yourself by signing up for an account.
Uncompromising security for your PDF editing and eSignature needs
Your private information is safe with pdfFiller. We employ end-to-end encryption, secure cloud storage, and advanced access control to protect your documents and maintain regulatory compliance.
How to fill out serviceposterguardcomposterimagessanlepost where employees can
How to fill out serviceposterguardcomposterimagessanlepost where employees can
01
Start by opening the serviceposterguardcomposterimagessanlepost form on your computer or mobile device.
02
Begin by filling out the employee details section. This includes their name, employee ID, position, and department.
03
If there are any specific requirements or instructions for the employee, make sure to include them in the designated section.
04
Next, provide information about the service being requested. This could be anything from a software installation to a hardware repair.
05
Specify the deadline or timeframe for completing the service.
06
If there are any supporting files or documents that need to be attached, use the file upload option to include them.
07
Finally, review the completed form for accuracy and make any necessary edits before submitting it.
08
Click the submit button to send the filled-out serviceposterguardcomposterimagessanlepost to the appropriate department or authority.
09
You may receive a confirmation message or reference number, which you should keep for future reference.
Who needs serviceposterguardcomposterimagessanlepost where employees can?
01
Serviceposterguardcomposterimagessanlepost where employees can is needed by any organization or company that wants a structured and efficient way for employees to request and track various services.
02
It can be used in small businesses, large corporations, government agencies, educational institutions, and any other entity that has a workforce.
03
This serviceposterguardcomposterimagessanlepost is particularly helpful for HR departments, IT teams, facilities management, and any department that handles employee service requests.
Fill
form
: Try Risk Free
For pdfFiller’s FAQs
Below is a list of the most common customer questions. If you can’t find an answer to your question, please don’t hesitate to reach out to us.
How do I modify my serviceposterguardcomposterimagessanlepost where employees can in Gmail?
It's easy to use pdfFiller's Gmail add-on to make and edit your serviceposterguardcomposterimagessanlepost where employees can and any other documents you get right in your email. You can also eSign them. Take a look at the Google Workspace Marketplace and get pdfFiller for Gmail. Get rid of the time-consuming steps and easily manage your documents and eSignatures with the help of an app.
How do I execute serviceposterguardcomposterimagessanlepost where employees can online?
pdfFiller has made it easy to fill out and sign serviceposterguardcomposterimagessanlepost where employees can. You can use the solution to change and move PDF content, add fields that can be filled in, and sign the document electronically. Start a free trial of pdfFiller, the best tool for editing and filling in documents.
How can I fill out serviceposterguardcomposterimagessanlepost where employees can on an iOS device?
Install the pdfFiller app on your iOS device to fill out papers. Create an account or log in if you already have one. After registering, upload your serviceposterguardcomposterimagessanlepost where employees can. You may now use pdfFiller's advanced features like adding fillable fields and eSigning documents from any device, anywhere.
What is serviceposterguardcomposterimagessanlepost where employees can?
This is a placeholder text.
Who is required to file serviceposterguardcomposterimagessanlepost where employees can?
This is a placeholder text.
How to fill out serviceposterguardcomposterimagessanlepost where employees can?
This is a placeholder text.
What is the purpose of serviceposterguardcomposterimagessanlepost where employees can?
This is a placeholder text.
What information must be reported on serviceposterguardcomposterimagessanlepost where employees can?
This is a placeholder text.
Fill out your serviceposterguardcomposterimagessanlepost where employees can online with pdfFiller!
pdfFiller is an end-to-end solution for managing, creating, and editing documents and forms in the cloud. Save time and hassle by preparing your tax forms online.
Serviceposterguardcomposterimagessanlepost Where Employees Can is not the form you're looking for?Search for another form here.
Relevant keywords
Related Forms
If you believe that this page should be taken down, please follow our DMCA take down process
here
.
This form may include fields for payment information. Data entered in these fields is not covered by PCI DSS compliance.