Get the free National, State, and County Housing Unit Totals: 2010-2019
Show details
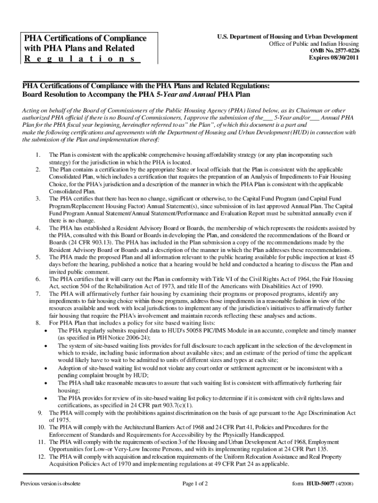
VERSION1 APRIL1,2017HOUSINGAUTHORITYOFMARICOPACOUNTY ANNUALPUBLICHOUSINGAGENCYPLAN 20172018MARICOPAHOUSING.ORG TEL6027444500 TDD6027444540TABLEOFCONTENTS A.1.PHAAnnualPlanHUD50075ST..........................................................................................................3
We are not affiliated with any brand or entity on this form
Get, Create, Make and Sign national state and county
Edit your national state and county form online
Type text, complete fillable fields, insert images, highlight or blackout data for discretion, add comments, and more.
Add your legally-binding signature
Draw or type your signature, upload a signature image, or capture it with your digital camera.
Share your form instantly
Email, fax, or share your national state and county form via URL. You can also download, print, or export forms to your preferred cloud storage service.
How to edit national state and county online
Follow the guidelines below to benefit from the PDF editor's expertise:
1
Create an account. Begin by choosing Start Free Trial and, if you are a new user, establish a profile.
2
Prepare a file. Use the Add New button to start a new project. Then, using your device, upload your file to the system by importing it from internal mail, the cloud, or adding its URL.
3
Edit national state and county. Rearrange and rotate pages, add new and changed texts, add new objects, and use other useful tools. When you're done, click Done. You can use the Documents tab to merge, split, lock, or unlock your files.
4
Get your file. When you find your file in the docs list, click on its name and choose how you want to save it. To get the PDF, you can save it, send an email with it, or move it to the cloud.
pdfFiller makes working with documents easier than you could ever imagine. Create an account to find out for yourself how it works!
Uncompromising security for your PDF editing and eSignature needs
Your private information is safe with pdfFiller. We employ end-to-end encryption, secure cloud storage, and advanced access control to protect your documents and maintain regulatory compliance.
How to fill out national state and county
How to fill out national state and county
01
To fill out national state and county, follow these steps:
02
Start by locating the appropriate form or online portal for filling out national state and county information.
03
Provide your personal information such as name, address, and contact details as required.
04
Enter the name of your country or nation in the national state field.
05
Select the appropriate state or province from the provided options.
06
Specify the county or district you belong to from the given choices.
07
Double-check all the entered information for accuracy and completeness.
08
Submit the form or save the changes made online.
09
Keep a copy of the filled-out national state and county information for your reference.
Who needs national state and county?
01
National state and county information is required by various entities and individuals including:
02
- Government agencies for census purposes and keeping track of population distribution.
03
- Electoral authorities for voter registration and redistricting purposes.
04
- Law enforcement agencies for jurisdictional purposes and maintaining crime statistics.
05
- Organizations conducting surveys or market research to analyze demographic patterns.
06
- Businesses engaging in target marketing and analyzing customer bases.
07
- Healthcare providers for demographic analysis and regional resource allocation.
08
- Real estate agencies for property identification, taxation, and zoning purposes.
09
- Educational institutions for enrollment tracking and resource allocation.
10
- Emergency services and disaster response agencies for efficient resource allocation.
11
- Statistical agencies for data analysis and reporting.
Fill
form
: Try Risk Free
For pdfFiller’s FAQs
Below is a list of the most common customer questions. If you can’t find an answer to your question, please don’t hesitate to reach out to us.
How do I edit national state and county in Chrome?
Add pdfFiller Google Chrome Extension to your web browser to start editing national state and county and other documents directly from a Google search page. The service allows you to make changes in your documents when viewing them in Chrome. Create fillable documents and edit existing PDFs from any internet-connected device with pdfFiller.
Can I create an electronic signature for the national state and county in Chrome?
Yes. You can use pdfFiller to sign documents and use all of the features of the PDF editor in one place if you add this solution to Chrome. In order to use the extension, you can draw or write an electronic signature. You can also upload a picture of your handwritten signature. There is no need to worry about how long it takes to sign your national state and county.
How can I fill out national state and county on an iOS device?
Install the pdfFiller app on your iOS device to fill out papers. If you have a subscription to the service, create an account or log in to an existing one. After completing the registration process, upload your national state and county. You may now use pdfFiller's advanced features, such as adding fillable fields and eSigning documents, and accessing them from any device, wherever you are.
What is national state and county?
National, state, and county refer to the levels of government and geographical divisions within a country.
Who is required to file national state and county?
Individuals and businesses may be required to file national, state, and county taxes based on their income and location.
How to fill out national state and county?
To fill out national, state, and county forms, you will need to provide information about your income, expenses, and deductions.
What is the purpose of national state and county?
The purpose of national, state, and county taxes is to fund government operations and services at different levels of government.
What information must be reported on national state and county?
Information such as income, expenses, deductions, and tax credits must be reported on national, state, and county tax forms.
Fill out your national state and county online with pdfFiller!
pdfFiller is an end-to-end solution for managing, creating, and editing documents and forms in the cloud. Save time and hassle by preparing your tax forms online.
National State And County is not the form you're looking for?Search for another form here.
Relevant keywords
Related Forms
If you believe that this page should be taken down, please follow our DMCA take down process
here
.
This form may include fields for payment information. Data entered in these fields is not covered by PCI DSS compliance.