Get the free law.richmond.eduresumewritingguideCareer Development Office Resume Writing Guide Pur...
Show details
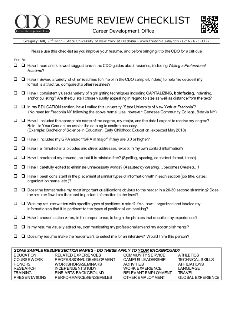
RESUME REVIEW CHECKLIST Career Development Office Gregory Hall, 2nd Floor State University of New York at Macedonia www.fredonia.edu/cdo (716) 6733327Please use this checklist as you improve your
We are not affiliated with any brand or entity on this form
Get, Create, Make and Sign lawrichmondeduresumewritingguidecareer development office resume
Edit your lawrichmondeduresumewritingguidecareer development office resume form online
Type text, complete fillable fields, insert images, highlight or blackout data for discretion, add comments, and more.
Add your legally-binding signature
Draw or type your signature, upload a signature image, or capture it with your digital camera.
Share your form instantly
Email, fax, or share your lawrichmondeduresumewritingguidecareer development office resume form via URL. You can also download, print, or export forms to your preferred cloud storage service.
Editing lawrichmondeduresumewritingguidecareer development office resume online
To use our professional PDF editor, follow these steps:
1
Create an account. Begin by choosing Start Free Trial and, if you are a new user, establish a profile.
2
Upload a file. Select Add New on your Dashboard and upload a file from your device or import it from the cloud, online, or internal mail. Then click Edit.
3
Edit lawrichmondeduresumewritingguidecareer development office resume. Rearrange and rotate pages, insert new and alter existing texts, add new objects, and take advantage of other helpful tools. Click Done to apply changes and return to your Dashboard. Go to the Documents tab to access merging, splitting, locking, or unlocking functions.
4
Get your file. When you find your file in the docs list, click on its name and choose how you want to save it. To get the PDF, you can save it, send an email with it, or move it to the cloud.
The use of pdfFiller makes dealing with documents straightforward.
Uncompromising security for your PDF editing and eSignature needs
Your private information is safe with pdfFiller. We employ end-to-end encryption, secure cloud storage, and advanced access control to protect your documents and maintain regulatory compliance.
How to fill out lawrichmondeduresumewritingguidecareer development office resume
How to fill out lawrichmondeduresumewritingguidecareer development office resume
01
Start by gathering all the necessary information about your education, work experience, skills, and any relevant achievements.
02
Use a professional and clean resume template to create a well-organized and easy-to-read document.
03
Begin with your contact information, including your full name, phone number, email address, and professional social media profiles (if applicable).
04
Write a compelling professional summary or objective statement that highlights your career goals and showcases your key qualifications.
05
Follow with a detailed section on your education, including the name of the institution, degree obtained, major/minor, and graduation date. Include any academic honors or relevant coursework.
06
List your work experience in reverse chronological order, starting with your most recent or current position. For each job, provide the company name, job title, dates of employment, and a brief description of your responsibilities and accomplishments.
07
Include a separate section for your skills, highlighting both hard and soft skills relevant to the position you are applying for. Use bullet points or short phrases to convey your skills effectively.
08
If applicable, include a section on your certifications, licenses, or professional affiliations, providing the relevant details.
09
Add any additional sections that demonstrate your relevant experiences or achievements, such as volunteer work, publications, conferences attended, or language proficiency.
10
Proofread your resume thoroughly for grammatical errors, typos, and formatting inconsistencies. Consider seeking feedback from a trusted friend or professional before finalizing it.
11
Save your resume as a PDF file to ensure compatibility and professional presentation when sending it electronically.
12
Tailor your resume for each job application, emphasizing the most relevant qualifications and experiences for the specific role.
13
Update your resume regularly to reflect your latest achievements and experiences.
Who needs lawrichmondeduresumewritingguidecareer development office resume?
01
Law students who are seeking internships or employment in law firms or legal organizations.
02
Professionals in the field of law who are looking to advance their careers or explore new opportunities.
03
Career changers who want to transition into the legal industry and need a resume tailored for this field.
04
Individuals who are applying for positions in the career development office or similar roles within educational institutions.
05
Anyone who wants to have a well-crafted and professional resume for their career advancement.
Fill
form
: Try Risk Free
For pdfFiller’s FAQs
Below is a list of the most common customer questions. If you can’t find an answer to your question, please don’t hesitate to reach out to us.
Can I sign the lawrichmondeduresumewritingguidecareer development office resume electronically in Chrome?
Yes. With pdfFiller for Chrome, you can eSign documents and utilize the PDF editor all in one spot. Create a legally enforceable eSignature by sketching, typing, or uploading a handwritten signature image. You may eSign your lawrichmondeduresumewritingguidecareer development office resume in seconds.
How can I fill out lawrichmondeduresumewritingguidecareer development office resume on an iOS device?
Make sure you get and install the pdfFiller iOS app. Next, open the app and log in or set up an account to use all of the solution's editing tools. If you want to open your lawrichmondeduresumewritingguidecareer development office resume, you can upload it from your device or cloud storage, or you can type the document's URL into the box on the right. After you fill in all of the required fields in the document and eSign it, if that is required, you can save or share it with other people.
How do I edit lawrichmondeduresumewritingguidecareer development office resume on an Android device?
You can edit, sign, and distribute lawrichmondeduresumewritingguidecareer development office resume on your mobile device from anywhere using the pdfFiller mobile app for Android; all you need is an internet connection. Download the app and begin streamlining your document workflow from anywhere.
What is lawrichmondeduresumewritingguidecareer development office resume?
The lawrichmondeduresumewritingguidecareer development office resume is a document that outlines an individual's educational and professional background, skills, and experiences.
Who is required to file lawrichmondeduresumewritingguidecareer development office resume?
Professionals who are seeking to apply for jobs or internships are required to file a lawrichmondeduresumewritingguidecareer development office resume.
How to fill out lawrichmondeduresumewritingguidecareer development office resume?
To fill out a lawrichmondeduresumewritingguidecareer development office resume, one must include personal information, education history, work experience, skills, and any additional relevant information.
What is the purpose of lawrichmondeduresumewritingguidecareer development office resume?
The purpose of a lawrichmondeduresumewritingguidecareer development office resume is to present a comprehensive overview of an individual's qualifications and experiences to potential employers.
What information must be reported on lawrichmondeduresumewritingguidecareer development office resume?
Information such as personal details, education background, work experience, skills, certifications, and any relevant achievements must be reported on a lawrichmondeduresumewritingguidecareer development office resume.
Fill out your lawrichmondeduresumewritingguidecareer development office resume online with pdfFiller!
pdfFiller is an end-to-end solution for managing, creating, and editing documents and forms in the cloud. Save time and hassle by preparing your tax forms online.
Lawrichmondeduresumewritingguidecareer Development Office Resume is not the form you're looking for?Search for another form here.
Relevant keywords
Related Forms
If you believe that this page should be taken down, please follow our DMCA take down process
here
.
This form may include fields for payment information. Data entered in these fields is not covered by PCI DSS compliance.