
Get the Sample Consulting Agreement - SEC.govSample Consulting Agreement - SEC.govFree Consulting...
Show details
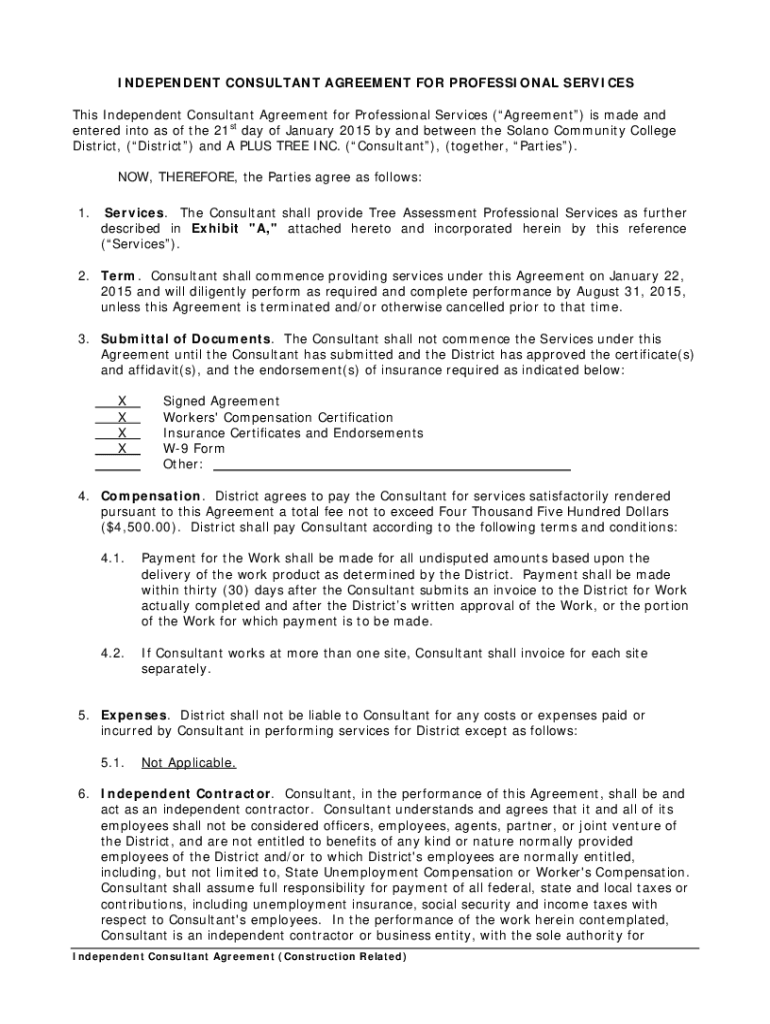
INDEPENDENT CONSULTANT AGREEMENT FOR PROFESSIONAL SERVICES This Independent Consultant Agreement for Professional Services (Agreement) is made and entered into as of the 21st day of January 2015 by
We are not affiliated with any brand or entity on this form
Get, Create, Make and Sign sample consulting agreement

Edit your sample consulting agreement form online
Type text, complete fillable fields, insert images, highlight or blackout data for discretion, add comments, and more.

Add your legally-binding signature
Draw or type your signature, upload a signature image, or capture it with your digital camera.

Share your form instantly
Email, fax, or share your sample consulting agreement form via URL. You can also download, print, or export forms to your preferred cloud storage service.
How to edit sample consulting agreement online
Follow the guidelines below to use a professional PDF editor:
1
Log in. Click Start Free Trial and create a profile if necessary.
2
Simply add a document. Select Add New from your Dashboard and import a file into the system by uploading it from your device or importing it via the cloud, online, or internal mail. Then click Begin editing.
3
Edit sample consulting agreement. Rearrange and rotate pages, add new and changed texts, add new objects, and use other useful tools. When you're done, click Done. You can use the Documents tab to merge, split, lock, or unlock your files.
4
Save your file. Select it from your list of records. Then, move your cursor to the right toolbar and choose one of the exporting options. You can save it in multiple formats, download it as a PDF, send it by email, or store it in the cloud, among other things.
With pdfFiller, dealing with documents is always straightforward. Try it right now!
Uncompromising security for your PDF editing and eSignature needs
Your private information is safe with pdfFiller. We employ end-to-end encryption, secure cloud storage, and advanced access control to protect your documents and maintain regulatory compliance.
How to fill out sample consulting agreement

How to fill out sample consulting agreement
01
Start by gathering all the necessary information about the consulting agreement, including the names and contact details of the parties involved, the scope of work, and the duration of the agreement.
02
Begin by clearly stating the purpose of the agreement and the services to be provided by the consultant.
03
Specify the compensation terms, including the payment structure, rates, and any additional expenses or reimbursements.
04
Outline the timeline and milestones for the project, as well as any deliverables or reports that the consultant is expected to provide.
05
Include provisions for confidentiality and non-disclosure to protect sensitive information shared during the consulting engagement.
06
Specify any intellectual property rights and ownership of work produced during the consulting project.
07
Address any limitations of liability and indemnification clauses to protect both parties from potential risks and damages.
08
Include termination clauses, including conditions for termination and any notice periods required.
09
Have both parties sign and date the agreement, and consider adding a clause for amendment or modification if necessary.
10
Review the completed consulting agreement carefully before finalizing it and consider seeking legal advice if needed.
Who needs sample consulting agreement?
01
Anyone who is looking to hire a consultant or provide consulting services can benefit from having a sample consulting agreement.
02
This includes individuals, businesses, and organizations in various industries such as management consulting, IT consulting, marketing consulting, finance consulting, and more.
03
Having a well-drafted consulting agreement can help clarify the terms and expectations of the consulting engagement, protect the rights and interests of both parties, and minimize potential disputes or misunderstandings.
Fill
form
: Try Risk Free
For pdfFiller’s FAQs
Below is a list of the most common customer questions. If you can’t find an answer to your question, please don’t hesitate to reach out to us.
How do I make edits in sample consulting agreement without leaving Chrome?
Install the pdfFiller Google Chrome Extension to edit sample consulting agreement and other documents straight from Google search results. When reading documents in Chrome, you may edit them. Create fillable PDFs and update existing PDFs using pdfFiller.
How can I edit sample consulting agreement on a smartphone?
You may do so effortlessly with pdfFiller's iOS and Android apps, which are available in the Apple Store and Google Play Store, respectively. You may also obtain the program from our website: https://edit-pdf-ios-android.pdffiller.com/. Open the application, sign in, and begin editing sample consulting agreement right away.
How do I edit sample consulting agreement on an Android device?
You can make any changes to PDF files, such as sample consulting agreement, with the help of the pdfFiller mobile app for Android. Edit, sign, and send documents right from your mobile device. Install the app and streamline your document management wherever you are.
What is sample consulting agreement?
A sample consulting agreement is a document outlining the terms and conditions of a consulting arrangement between a consultant and a client.
Who is required to file sample consulting agreement?
Both the consultant and the client are typically required to file a sample consulting agreement.
How to fill out sample consulting agreement?
The sample consulting agreement should be filled out with all relevant details of the consulting arrangement, including scope of work, payment terms, and duration.
What is the purpose of sample consulting agreement?
The purpose of a sample consulting agreement is to establish a clear understanding between the consultant and client regarding their respective rights and responsibilities.
What information must be reported on sample consulting agreement?
Information such as names and contact details of both parties, scope of work, payment terms, termination clauses, and confidentiality agreements must be reported on a sample consulting agreement.
Fill out your sample consulting agreement online with pdfFiller!
pdfFiller is an end-to-end solution for managing, creating, and editing documents and forms in the cloud. Save time and hassle by preparing your tax forms online.

Sample Consulting Agreement is not the form you're looking for?Search for another form here.
Relevant keywords
Related Forms
If you believe that this page should be taken down, please follow our DMCA take down process
here
.
This form may include fields for payment information. Data entered in these fields is not covered by PCI DSS compliance.