
Get the free art.mt.govaisc-experiences-guidelinesArtists in Schools and Communities
Show details
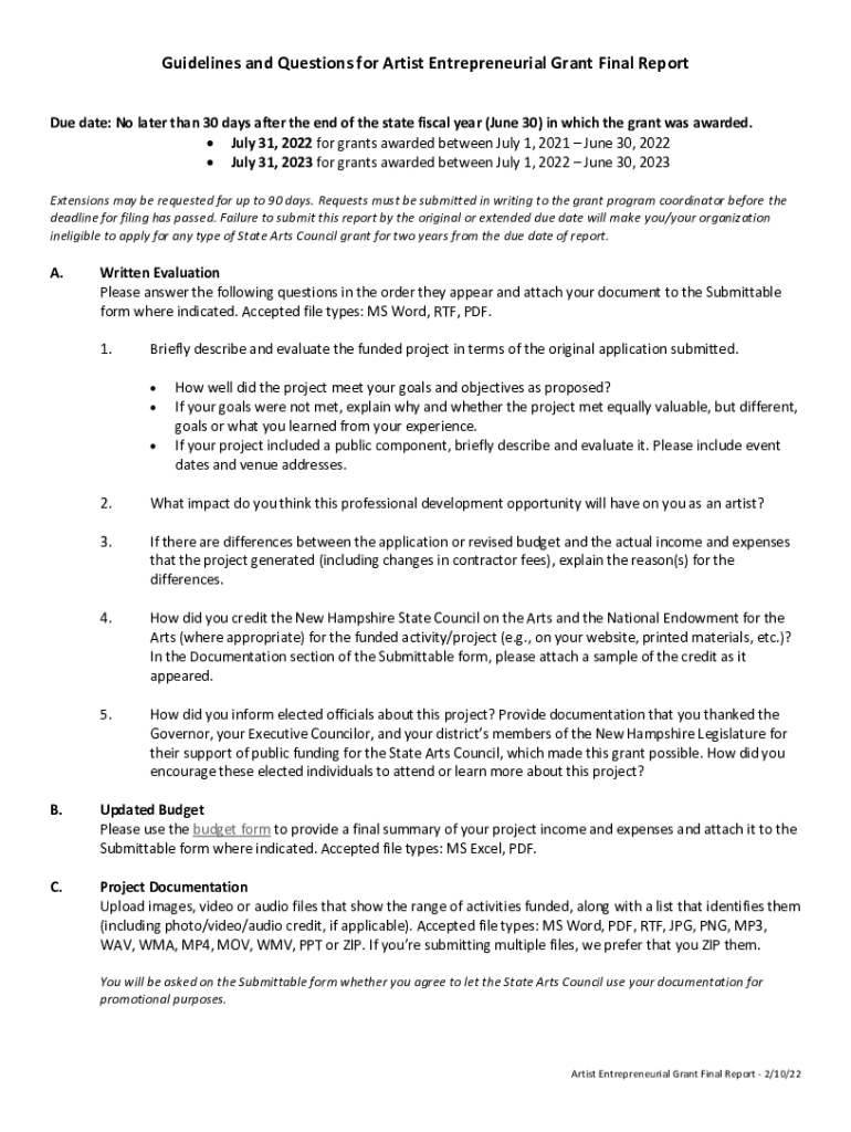
Guidelines and Questions for Artist Entrepreneurial Grant Final Report Due date: No later than 30 days after the end of the state fiscal year (June 30) in which the grant was awarded. July 31, 2022,
We are not affiliated with any brand or entity on this form
Get, Create, Make and Sign artmtgovaisc-experiences-guidelinesartists in schools and

Edit your artmtgovaisc-experiences-guidelinesartists in schools and form online
Type text, complete fillable fields, insert images, highlight or blackout data for discretion, add comments, and more.

Add your legally-binding signature
Draw or type your signature, upload a signature image, or capture it with your digital camera.

Share your form instantly
Email, fax, or share your artmtgovaisc-experiences-guidelinesartists in schools and form via URL. You can also download, print, or export forms to your preferred cloud storage service.
How to edit artmtgovaisc-experiences-guidelinesartists in schools and online
Use the instructions below to start using our professional PDF editor:
1
Log in to your account. Start Free Trial and sign up a profile if you don't have one yet.
2
Prepare a file. Use the Add New button. Then upload your file to the system from your device, importing it from internal mail, the cloud, or by adding its URL.
3
Edit artmtgovaisc-experiences-guidelinesartists in schools and. Replace text, adding objects, rearranging pages, and more. Then select the Documents tab to combine, divide, lock or unlock the file.
4
Save your file. Select it from your list of records. Then, move your cursor to the right toolbar and choose one of the exporting options. You can save it in multiple formats, download it as a PDF, send it by email, or store it in the cloud, among other things.
With pdfFiller, it's always easy to work with documents.
Uncompromising security for your PDF editing and eSignature needs
Your private information is safe with pdfFiller. We employ end-to-end encryption, secure cloud storage, and advanced access control to protect your documents and maintain regulatory compliance.
How to fill out artmtgovaisc-experiences-guidelinesartists in schools and

How to fill out artmtgovaisc-experiences-guidelinesartists in schools and
01
Start by visiting the official website of ARTMTGOVAISC to find the guidelines for artists in schools.
02
Read through the guidelines carefully to familiarize yourself with the requirements and expectations.
03
Prepare all the necessary documentation and materials, such as your resume, portfolio, and references.
04
Fill out the application form provided by ARTMTGOVAISC, ensuring that you provide accurate and complete information.
05
Submit your application along with all the required documents either online or through the designated submission process.
06
Wait for a response from ARTMTGOVAISC regarding your application. This may take some time, so be patient.
07
If your application is approved, follow any further instructions provided by ARTMTGOVAISC to start participating in art programs at schools.
08
If your application is not approved, consider reviewing your application or seeking feedback from ARTMTGOVAISC for improvement in future applications.
Who needs artmtgovaisc-experiences-guidelinesartists in schools and?
01
Artists who are interested in sharing their artistic expertise and skills with students in schools.
02
Schools and educational institutions looking to enhance their art programs and provide students with unique artistic experiences.
03
Students who would benefit from exposure to different art forms and the guidance of experienced artists.
04
Teachers and educators who want to collaborate with artists to enrich their curriculum and offer diverse learning opportunities.
Fill
form
: Try Risk Free
For pdfFiller’s FAQs
Below is a list of the most common customer questions. If you can’t find an answer to your question, please don’t hesitate to reach out to us.
How do I make edits in artmtgovaisc-experiences-guidelinesartists in schools and without leaving Chrome?
Get and add pdfFiller Google Chrome Extension to your browser to edit, fill out and eSign your artmtgovaisc-experiences-guidelinesartists in schools and, which you can open in the editor directly from a Google search page in just one click. Execute your fillable documents from any internet-connected device without leaving Chrome.
Can I create an eSignature for the artmtgovaisc-experiences-guidelinesartists in schools and in Gmail?
Use pdfFiller's Gmail add-on to upload, type, or draw a signature. Your artmtgovaisc-experiences-guidelinesartists in schools and and other papers may be signed using pdfFiller. Register for a free account to preserve signed papers and signatures.
How can I fill out artmtgovaisc-experiences-guidelinesartists in schools and on an iOS device?
Install the pdfFiller app on your iOS device to fill out papers. If you have a subscription to the service, create an account or log in to an existing one. After completing the registration process, upload your artmtgovaisc-experiences-guidelinesartists in schools and. You may now use pdfFiller's advanced features, such as adding fillable fields and eSigning documents, and accessing them from any device, wherever you are.
What is artmtgovaisc-experiences-guidelinesartists in schools and?
artmtgovaisc-experiences-guidelinesartists in schools refers to a set of guidelines and frameworks that outline best practices for integrating artistic experiences in school settings to enhance student learning and engagement.
Who is required to file artmtgovaisc-experiences-guidelinesartists in schools and?
Artists, educators, and school administrators who participate in or facilitate artistic programs within educational institutions are typically required to file artmtgovaisc-experiences-guidelinesartists in schools.
How to fill out artmtgovaisc-experiences-guidelinesartists in schools and?
To fill out artmtgovaisc-experiences-guidelinesartists in schools, individuals must provide specific details about the artistic activities, participant information, outcomes, and compliance with the established guidelines.
What is the purpose of artmtgovaisc-experiences-guidelinesartists in schools and?
The purpose of artmtgovaisc-experiences-guidelinesartists in schools is to enhance artistic education, promote student creativity, ensure quality artistic experiences, and provide a framework for assessment and improvement.
What information must be reported on artmtgovaisc-experiences-guidelinesartists in schools and?
Information that must be reported includes program descriptions, participant demographics, evaluation outcomes, resource utilization, and compliance with artistic and educational standards.
Fill out your artmtgovaisc-experiences-guidelinesartists in schools and online with pdfFiller!
pdfFiller is an end-to-end solution for managing, creating, and editing documents and forms in the cloud. Save time and hassle by preparing your tax forms online.

Artmtgovaisc-Experiences-Guidelinesartists In Schools And is not the form you're looking for?Search for another form here.
Relevant keywords
Related Forms
If you believe that this page should be taken down, please follow our DMCA take down process
here
.
This form may include fields for payment information. Data entered in these fields is not covered by PCI DSS compliance.