Get the free IDAHO STATE BOWHUNTERS, INC. :: Idaho (US) :: OpenCorporates
Show details
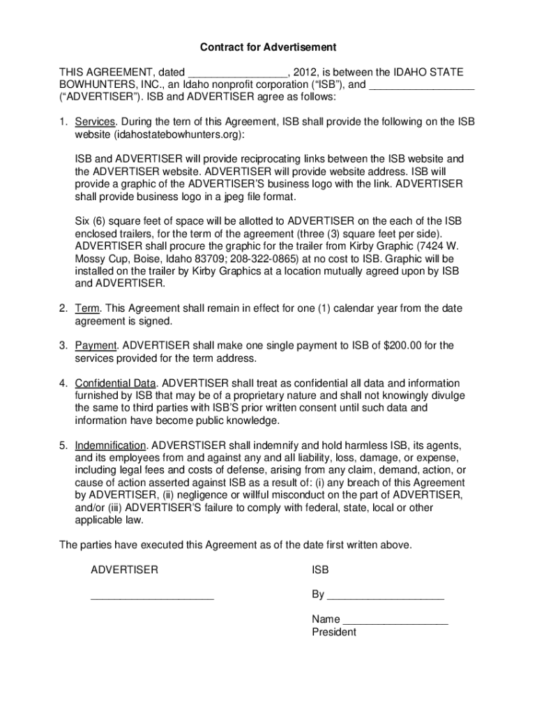
Contract for Advertisement THIS AGREEMENT, dated ___, 2012, is between the IDAHO STATE HUNTERS, INC., an Idaho nonprofit corporation (ISB), and ___ (ADVERTISER). ISB and ADVERTISER agree as follows:
We are not affiliated with any brand or entity on this form
Get, Create, Make and Sign idaho state bowhunters inc
Edit your idaho state bowhunters inc form online
Type text, complete fillable fields, insert images, highlight or blackout data for discretion, add comments, and more.
Add your legally-binding signature
Draw or type your signature, upload a signature image, or capture it with your digital camera.
Share your form instantly
Email, fax, or share your idaho state bowhunters inc form via URL. You can also download, print, or export forms to your preferred cloud storage service.
Editing idaho state bowhunters inc online
To use the professional PDF editor, follow these steps below:
1
Register the account. Begin by clicking Start Free Trial and create a profile if you are a new user.
2
Upload a file. Select Add New on your Dashboard and upload a file from your device or import it from the cloud, online, or internal mail. Then click Edit.
3
Edit idaho state bowhunters inc. Add and replace text, insert new objects, rearrange pages, add watermarks and page numbers, and more. Click Done when you are finished editing and go to the Documents tab to merge, split, lock or unlock the file.
4
Get your file. When you find your file in the docs list, click on its name and choose how you want to save it. To get the PDF, you can save it, send an email with it, or move it to the cloud.
The use of pdfFiller makes dealing with documents straightforward.
Uncompromising security for your PDF editing and eSignature needs
Your private information is safe with pdfFiller. We employ end-to-end encryption, secure cloud storage, and advanced access control to protect your documents and maintain regulatory compliance.
How to fill out idaho state bowhunters inc
How to fill out idaho state bowhunters inc
01
Step 1: Obtain the necessary application form for Idaho State Bowhunters Inc. You can usually find this form on their official website or by contacting their office directly.
02
Step 2: Fill out the personal information section of the application form. This includes your full name, address, phone number, and email address.
03
Step 3: Provide information about your hunting experience and qualifications. This may include the number of years you have been bowhunting, any certifications or training you have received, and any previous memberships in similar organizations.
04
Step 4: Pay the required membership fee. Idaho State Bowhunters Inc. typically requires an annual fee for membership.
05
Step 5: Review your completed application form to ensure all the information is accurate and complete.
06
Step 6: Submit your application form along with the required membership fee. This can usually be done online, by mail, or in person at their office.
07
Step 7: Wait for your membership to be processed. Once your application has been reviewed and approved, you will receive confirmation of your membership.
Who needs idaho state bowhunters inc?
01
Idaho State Bowhunters Inc. is for individuals who are interested in bowhunting and wish to become part of a community of fellow bowhunters.
02
It is also suitable for those who want to support and promote the sport of bowhunting in the state of Idaho.
03
People who are passionate about preserving wildlife and natural habitats for bowhunting may also benefit from joining Idaho State Bowhunters Inc.
Fill
form
: Try Risk Free
For pdfFiller’s FAQs
Below is a list of the most common customer questions. If you can’t find an answer to your question, please don’t hesitate to reach out to us.
How can I manage my idaho state bowhunters inc directly from Gmail?
In your inbox, you may use pdfFiller's add-on for Gmail to generate, modify, fill out, and eSign your idaho state bowhunters inc and any other papers you receive, all without leaving the program. Install pdfFiller for Gmail from the Google Workspace Marketplace by visiting this link. Take away the need for time-consuming procedures and handle your papers and eSignatures with ease.
How can I send idaho state bowhunters inc for eSignature?
idaho state bowhunters inc is ready when you're ready to send it out. With pdfFiller, you can send it out securely and get signatures in just a few clicks. PDFs can be sent to you by email, text message, fax, USPS mail, or notarized on your account. You can do this right from your account. Become a member right now and try it out for yourself!
Where do I find idaho state bowhunters inc?
The premium pdfFiller subscription gives you access to over 25M fillable templates that you can download, fill out, print, and sign. The library has state-specific idaho state bowhunters inc and other forms. Find the template you need and change it using powerful tools.
What is idaho state bowhunters inc?
Idaho State Bowhunters Inc. is an organization dedicated to promoting and supporting bowhunting and archery in the state of Idaho.
Who is required to file idaho state bowhunters inc?
Typically, organizations such as Idaho State Bowhunters Inc. that operate as non-profits or conduct specific types of business may be required to file with the state and federal agencies.
How to fill out idaho state bowhunters inc?
To fill out the filing for Idaho State Bowhunters Inc., one must complete the appropriate forms provided by the state, ensuring all required information is accurately filled and submitted by the due date.
What is the purpose of idaho state bowhunters inc?
The purpose of Idaho State Bowhunters Inc. is to advocate for bowhunting rights, educate the public about bowhunting practices, and promote conservation efforts related to wildlife and their habitats.
What information must be reported on idaho state bowhunters inc?
The information that must be reported includes organizational structure, financial records, activities undertaken, and any affiliations with other organizations.
Fill out your idaho state bowhunters inc online with pdfFiller!
pdfFiller is an end-to-end solution for managing, creating, and editing documents and forms in the cloud. Save time and hassle by preparing your tax forms online.
Idaho State Bowhunters Inc is not the form you're looking for?Search for another form here.
Relevant keywords
Related Forms
If you believe that this page should be taken down, please follow our DMCA take down process
here
.
This form may include fields for payment information. Data entered in these fields is not covered by PCI DSS compliance.