
Get the free www.sdspayrollservices.compayroll-processingPayroll Processing - SDS Payroll Services
Show details
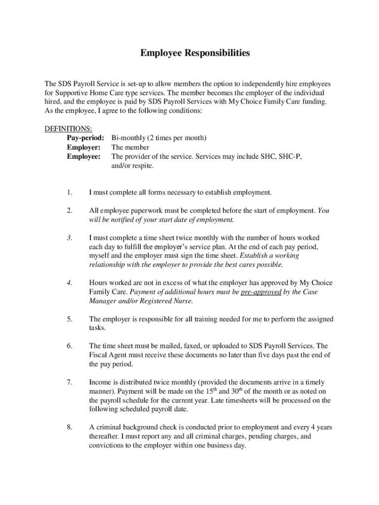
Employee Responsibilities The SDS Payroll Service is set up to allow members the option to independently hire employees for Supportive Home Care type services. The member becomes the employer of the
We are not affiliated with any brand or entity on this form
Get, Create, Make and Sign wwwsdspayrollservicescompayroll-processingpayroll processing - sds

Edit your wwwsdspayrollservicescompayroll-processingpayroll processing - sds form online
Type text, complete fillable fields, insert images, highlight or blackout data for discretion, add comments, and more.

Add your legally-binding signature
Draw or type your signature, upload a signature image, or capture it with your digital camera.

Share your form instantly
Email, fax, or share your wwwsdspayrollservicescompayroll-processingpayroll processing - sds form via URL. You can also download, print, or export forms to your preferred cloud storage service.
Editing wwwsdspayrollservicescompayroll-processingpayroll processing - sds online
In order to make advantage of the professional PDF editor, follow these steps below:
1
Log in. Click Start Free Trial and create a profile if necessary.
2
Upload a file. Select Add New on your Dashboard and upload a file from your device or import it from the cloud, online, or internal mail. Then click Edit.
3
Edit wwwsdspayrollservicescompayroll-processingpayroll processing - sds. Replace text, adding objects, rearranging pages, and more. Then select the Documents tab to combine, divide, lock or unlock the file.
4
Get your file. When you find your file in the docs list, click on its name and choose how you want to save it. To get the PDF, you can save it, send an email with it, or move it to the cloud.
With pdfFiller, dealing with documents is always straightforward. Now is the time to try it!
Uncompromising security for your PDF editing and eSignature needs
Your private information is safe with pdfFiller. We employ end-to-end encryption, secure cloud storage, and advanced access control to protect your documents and maintain regulatory compliance.
How to fill out wwwsdspayrollservicescompayroll-processingpayroll processing - sds

How to fill out wwwsdspayrollservicescompayroll-processingpayroll processing - sds
01
To fill out wwwsdspayrollservicescompayroll-processingpayroll processing - sds, follow these steps:
02
Access the website wwwsdspayrollservicescompayroll-processingpayroll processing - sds
03
Log in using your credentials or create a new account if you don't have one
04
Navigate to the payroll processing section
05
Enter the required employee information, such as name, salary, hours worked, etc.
06
Verify the entered information for accuracy
07
Submit the completed payroll processing form
08
Review the generated payroll report for any errors or discrepancies
09
Make necessary corrections if needed
10
Finalize the payroll processing by approving and saving the report
11
Keep a record of the payroll processing for future reference.
Who needs wwwsdspayrollservicescompayroll-processingpayroll processing - sds?
01
Anyone who has employees and needs to process payroll can benefit from using wwwsdspayrollservicescompayroll-processingpayroll processing - sds. It is particularly useful for small and medium-sized businesses that want a streamlined and efficient way to manage their payroll tasks. Additionally, it can be helpful for individuals or organizations that handle multiple employee payroll records and need a centralized platform to handle payroll calculations, deductions, and generate accurate reports.
Fill
form
: Try Risk Free
For pdfFiller’s FAQs
Below is a list of the most common customer questions. If you can’t find an answer to your question, please don’t hesitate to reach out to us.
How do I edit wwwsdspayrollservicescompayroll-processingpayroll processing - sds online?
pdfFiller not only allows you to edit the content of your files but fully rearrange them by changing the number and sequence of pages. Upload your wwwsdspayrollservicescompayroll-processingpayroll processing - sds to the editor and make any required adjustments in a couple of clicks. The editor enables you to blackout, type, and erase text in PDFs, add images, sticky notes and text boxes, and much more.
How do I fill out wwwsdspayrollservicescompayroll-processingpayroll processing - sds using my mobile device?
You can easily create and fill out legal forms with the help of the pdfFiller mobile app. Complete and sign wwwsdspayrollservicescompayroll-processingpayroll processing - sds and other documents on your mobile device using the application. Visit pdfFiller’s webpage to learn more about the functionalities of the PDF editor.
Can I edit wwwsdspayrollservicescompayroll-processingpayroll processing - sds on an iOS device?
Yes, you can. With the pdfFiller mobile app, you can instantly edit, share, and sign wwwsdspayrollservicescompayroll-processingpayroll processing - sds on your iOS device. Get it at the Apple Store and install it in seconds. The application is free, but you will have to create an account to purchase a subscription or activate a free trial.
What is wwwsdspayrollservicescompayroll-processingpayroll processing - sds?
wwwsdspayrollservicescompayroll-processingpayroll processing - sds refers to the payroll processing services provided by SDS Payroll Services Company.
Who is required to file wwwsdspayrollservicescompayroll-processingpayroll processing - sds?
Employers who use SDS Payroll Services Company for their payroll processing are required to file wwwsdspayrollservicescompayroll-processingpayroll processing - sds.
How to fill out wwwsdspayrollservicescompayroll-processingpayroll processing - sds?
To fill out wwwsdspayrollservicescompayroll-processingpayroll processing - sds, employers need to provide details about their payroll processing activities as per the guidelines provided by SDS Payroll Services Company.
What is the purpose of wwwsdspayrollservicescompayroll-processingpayroll processing - sds?
The purpose of wwwsdspayrollservicescompayroll-processingpayroll processing - sds is to report payroll processing information accurately and ensure compliance with payroll processing regulations.
What information must be reported on wwwsdspayrollservicescompayroll-processingpayroll processing - sds?
Information such as employee wages, deductions, taxes withheld, and other payroll processing details must be reported on wwwsdspayrollservicescompayroll-processingpayroll processing - sds.
Fill out your wwwsdspayrollservicescompayroll-processingpayroll processing - sds online with pdfFiller!
pdfFiller is an end-to-end solution for managing, creating, and editing documents and forms in the cloud. Save time and hassle by preparing your tax forms online.

Wwwsdspayrollservicescompayroll-Processingpayroll Processing - Sds is not the form you're looking for?Search for another form here.
Relevant keywords
Related Forms
If you believe that this page should be taken down, please follow our DMCA take down process
here
.
This form may include fields for payment information. Data entered in these fields is not covered by PCI DSS compliance.