
Get the free www.gosbcta.com wp-content uploadsSAN BERNARDINO COUNTY TRANSPORTATION AUTHORITY REQ...
Show details
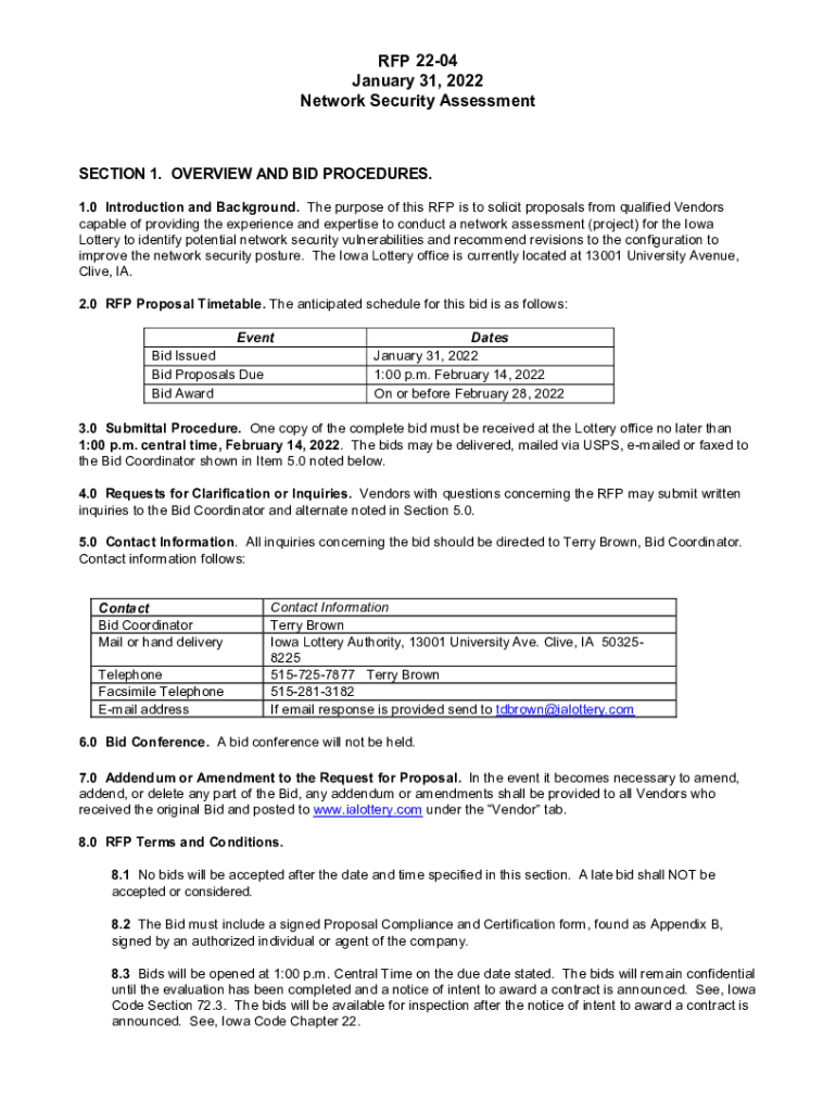
RFP 2204 January 31, 2022, Network Security AssessmentSECTION 1. OVERVIEW AND BID PROCEDURES. 1.0 Introduction and Background. The purpose of this RFP is to solicit proposals from qualified Vendors
We are not affiliated with any brand or entity on this form
Get, Create, Make and Sign wwwgosbctacom wp-content uploadssan bernardino

Edit your wwwgosbctacom wp-content uploadssan bernardino form online
Type text, complete fillable fields, insert images, highlight or blackout data for discretion, add comments, and more.

Add your legally-binding signature
Draw or type your signature, upload a signature image, or capture it with your digital camera.

Share your form instantly
Email, fax, or share your wwwgosbctacom wp-content uploadssan bernardino form via URL. You can also download, print, or export forms to your preferred cloud storage service.
Editing wwwgosbctacom wp-content uploadssan bernardino online
To use our professional PDF editor, follow these steps:
1
Log into your account. If you don't have a profile yet, click Start Free Trial and sign up for one.
2
Prepare a file. Use the Add New button to start a new project. Then, using your device, upload your file to the system by importing it from internal mail, the cloud, or adding its URL.
3
Edit wwwgosbctacom wp-content uploadssan bernardino. Add and change text, add new objects, move pages, add watermarks and page numbers, and more. Then click Done when you're done editing and go to the Documents tab to merge or split the file. If you want to lock or unlock the file, click the lock or unlock button.
4
Get your file. Select the name of your file in the docs list and choose your preferred exporting method. You can download it as a PDF, save it in another format, send it by email, or transfer it to the cloud.
pdfFiller makes dealing with documents a breeze. Create an account to find out!
Uncompromising security for your PDF editing and eSignature needs
Your private information is safe with pdfFiller. We employ end-to-end encryption, secure cloud storage, and advanced access control to protect your documents and maintain regulatory compliance.
How to fill out wwwgosbctacom wp-content uploadssan bernardino

How to fill out wwwgosbctacom wp-content uploadssan bernardino
01
Open a web browser.
02
Go to the website www.gosbcta.com.
03
Locate the 'Uploads' section on the website.
04
Click on the 'wp-content' folder within the 'Uploads' section.
05
Look for the 'san bernardino' folder within the 'wp-content' folder.
06
Click on the 'san bernardino' folder to open it.
07
Finally, you can fill out the necessary information or upload files within the 'san bernardino' folder.
Who needs wwwgosbctacom wp-content uploadssan bernardino?
01
Anyone who wants to fill out or upload files to the san bernardino folder within the www.gosbcta.com website.
Fill
form
: Try Risk Free
For pdfFiller’s FAQs
Below is a list of the most common customer questions. If you can’t find an answer to your question, please don’t hesitate to reach out to us.
How do I modify my wwwgosbctacom wp-content uploadssan bernardino in Gmail?
Using pdfFiller's Gmail add-on, you can edit, fill out, and sign your wwwgosbctacom wp-content uploadssan bernardino and other papers directly in your email. You may get it through Google Workspace Marketplace. Make better use of your time by handling your papers and eSignatures.
Where do I find wwwgosbctacom wp-content uploadssan bernardino?
It’s easy with pdfFiller, a comprehensive online solution for professional document management. Access our extensive library of online forms (over 25M fillable forms are available) and locate the wwwgosbctacom wp-content uploadssan bernardino in a matter of seconds. Open it right away and start customizing it using advanced editing features.
How can I fill out wwwgosbctacom wp-content uploadssan bernardino on an iOS device?
Install the pdfFiller app on your iOS device to fill out papers. If you have a subscription to the service, create an account or log in to an existing one. After completing the registration process, upload your wwwgosbctacom wp-content uploadssan bernardino. You may now use pdfFiller's advanced features, such as adding fillable fields and eSigning documents, and accessing them from any device, wherever you are.
What is wwwgosbctacom wp-content uploadssan bernardino?
wwwgosbctacom/wp-content/uploads/san-bernardino refers to a specific file path possibly related to San Bernardino's administrative or informational resources hosted on the website gosbc.com.
Who is required to file wwwgosbctacom wp-content uploadssan bernardino?
Individuals or organizations involved in specific activities or transactions required by local law or regulation, particularly those related to the San Bernardino area, may be required to file relevant documents.
How to fill out wwwgosbctacom wp-content uploadssan bernardino?
To fill out the necessary forms related to the documents found in the specified link, you should follow any provided guidance or instructions included on the page, ensuring to gather all required information and documentation.
What is the purpose of wwwgosbctacom wp-content uploadssan bernardino?
The purpose is likely to provide access to forms, information, and documents relevant to San Bernardino's administrative processes for public use or compliance.
What information must be reported on wwwgosbctacom wp-content uploadssan bernardino?
The information required typically includes personal identification details, organizational information, financial data, and any specifics related to compliance needs dictated by local regulations.
Fill out your wwwgosbctacom wp-content uploadssan bernardino online with pdfFiller!
pdfFiller is an end-to-end solution for managing, creating, and editing documents and forms in the cloud. Save time and hassle by preparing your tax forms online.

Wwwgosbctacom Wp-Content Uploadssan Bernardino is not the form you're looking for?Search for another form here.
Relevant keywords
Related Forms
If you believe that this page should be taken down, please follow our DMCA take down process
here
.
This form may include fields for payment information. Data entered in these fields is not covered by PCI DSS compliance.