Get the free Maritime Rowing Club at Water Sports Center - Water Skiing ...
Show details
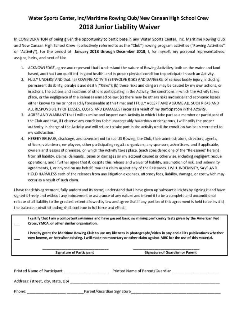
Water Sports Center, Inc/Maritime Rowing Club/New Canaan High School Crew2018 Junior Liability Waiver In CONSIDERATION of being given the opportunity to participate in any Water Sports Center, Inc,
We are not affiliated with any brand or entity on this form
Get, Create, Make and Sign maritime rowing club at
Edit your maritime rowing club at form online
Type text, complete fillable fields, insert images, highlight or blackout data for discretion, add comments, and more.
Add your legally-binding signature
Draw or type your signature, upload a signature image, or capture it with your digital camera.
Share your form instantly
Email, fax, or share your maritime rowing club at form via URL. You can also download, print, or export forms to your preferred cloud storage service.
Editing maritime rowing club at online
In order to make advantage of the professional PDF editor, follow these steps:
1
Log in to your account. Click Start Free Trial and sign up a profile if you don't have one yet.
2
Prepare a file. Use the Add New button. Then upload your file to the system from your device, importing it from internal mail, the cloud, or by adding its URL.
3
Edit maritime rowing club at. Rearrange and rotate pages, add and edit text, and use additional tools. To save changes and return to your Dashboard, click Done. The Documents tab allows you to merge, divide, lock, or unlock files.
4
Get your file. Select the name of your file in the docs list and choose your preferred exporting method. You can download it as a PDF, save it in another format, send it by email, or transfer it to the cloud.
With pdfFiller, it's always easy to work with documents.
Uncompromising security for your PDF editing and eSignature needs
Your private information is safe with pdfFiller. We employ end-to-end encryption, secure cloud storage, and advanced access control to protect your documents and maintain regulatory compliance.
How to fill out maritime rowing club at
How to fill out maritime rowing club at
01
Visit the website of the maritime rowing club.
02
Look for the 'Membership' section on the website.
03
Fill out the online membership form with your personal information.
04
Provide any required documents or certifications that may be requested.
05
Choose the type of membership you would like (e.g. individual, family, student).
06
Select the desired duration of the membership (e.g. monthly, annual).
07
Pay the membership fee through the provided payment methods.
08
Review the membership details and submit the form.
09
Wait for confirmation from the maritime rowing club regarding your membership application.
10
Upon approval, you will be officially registered as a member of the maritime rowing club.
Who needs maritime rowing club at?
01
Maritime rowing club is suitable for individuals who are interested in rowing as a sport or leisure activity.
02
It is ideal for beginners who want to learn rowing techniques and improve their fitness level.
03
People who enjoy water sports and want to engage in a community of like-minded individuals can benefit from joining a maritime rowing club.
04
Additionally, competitive rowers who seek opportunities to participate in rowing competitions and events can find great value in being a part of a maritime rowing club.
05
Overall, anyone with an interest in rowing, regardless of age or skill level, can find a place in a maritime rowing club.
Fill
form
: Try Risk Free
For pdfFiller’s FAQs
Below is a list of the most common customer questions. If you can’t find an answer to your question, please don’t hesitate to reach out to us.
Where do I find maritime rowing club at?
The pdfFiller premium subscription gives you access to a large library of fillable forms (over 25 million fillable templates) that you can download, fill out, print, and sign. In the library, you'll have no problem discovering state-specific maritime rowing club at and other forms. Find the template you want and tweak it with powerful editing tools.
How do I complete maritime rowing club at online?
Completing and signing maritime rowing club at online is easy with pdfFiller. It enables you to edit original PDF content, highlight, blackout, erase and type text anywhere on a page, legally eSign your form, and much more. Create your free account and manage professional documents on the web.
Can I create an electronic signature for the maritime rowing club at in Chrome?
Yes. With pdfFiller for Chrome, you can eSign documents and utilize the PDF editor all in one spot. Create a legally enforceable eSignature by sketching, typing, or uploading a handwritten signature image. You may eSign your maritime rowing club at in seconds.
What is maritime rowing club at?
Maritime rowing club is a club or organization focused on rowing activities in the maritime industry.
Who is required to file maritime rowing club at?
Any organization or club involved in maritime rowing activities may be required to file maritime rowing club at, depending on local regulations.
How to fill out maritime rowing club at?
To fill out maritime rowing club at, you will need to provide information about the club's activities, members, finances, and any other relevant details.
What is the purpose of maritime rowing club at?
The purpose of filing maritime rowing club at is to ensure transparency and accountability in the operation of maritime rowing clubs.
What information must be reported on maritime rowing club at?
Information that must be reported on maritime rowing club at may include club activities, financial statements, membership details, and any other relevant information.
Fill out your maritime rowing club at online with pdfFiller!
pdfFiller is an end-to-end solution for managing, creating, and editing documents and forms in the cloud. Save time and hassle by preparing your tax forms online.
Maritime Rowing Club At is not the form you're looking for?Search for another form here.
Relevant keywords
Related Forms
If you believe that this page should be taken down, please follow our DMCA take down process
here
.
This form may include fields for payment information. Data entered in these fields is not covered by PCI DSS compliance.