Get the free ncemna.orgnational-association-of-hispanicNational Association of Hispanic Nurses (N...
Show details
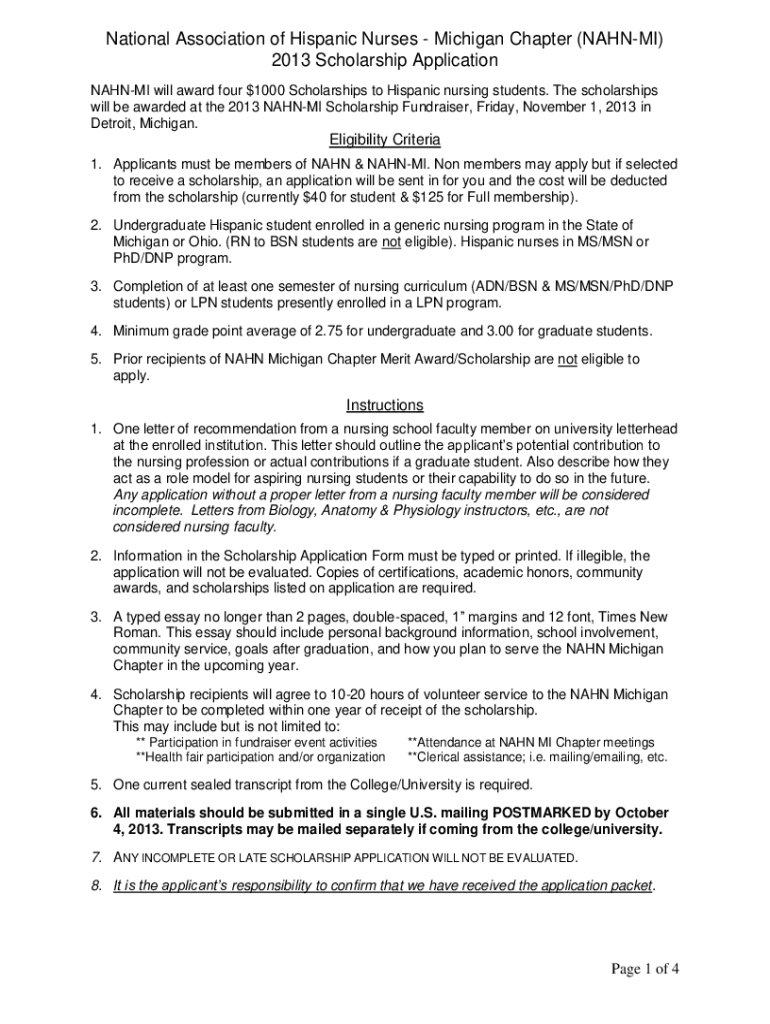
National Association of Hispanic Nurses Michigan Chapter (NAH NMI) 2013 Scholarship Application NAH NMI will award four $1000 Scholarships to Hispanic nursing students. The scholarships will be awarded
We are not affiliated with any brand or entity on this form
Get, Create, Make and Sign ncemnaorgnational-association-of-hispanicnational association of hispanic
Edit your ncemnaorgnational-association-of-hispanicnational association of hispanic form online
Type text, complete fillable fields, insert images, highlight or blackout data for discretion, add comments, and more.
Add your legally-binding signature
Draw or type your signature, upload a signature image, or capture it with your digital camera.
Share your form instantly
Email, fax, or share your ncemnaorgnational-association-of-hispanicnational association of hispanic form via URL. You can also download, print, or export forms to your preferred cloud storage service.
How to edit ncemnaorgnational-association-of-hispanicnational association of hispanic online
In order to make advantage of the professional PDF editor, follow these steps below:
1
Sign into your account. In case you're new, it's time to start your free trial.
2
Prepare a file. Use the Add New button to start a new project. Then, using your device, upload your file to the system by importing it from internal mail, the cloud, or adding its URL.
3
Edit ncemnaorgnational-association-of-hispanicnational association of hispanic. Rearrange and rotate pages, add new and changed texts, add new objects, and use other useful tools. When you're done, click Done. You can use the Documents tab to merge, split, lock, or unlock your files.
4
Get your file. Select the name of your file in the docs list and choose your preferred exporting method. You can download it as a PDF, save it in another format, send it by email, or transfer it to the cloud.
With pdfFiller, it's always easy to work with documents.
Uncompromising security for your PDF editing and eSignature needs
Your private information is safe with pdfFiller. We employ end-to-end encryption, secure cloud storage, and advanced access control to protect your documents and maintain regulatory compliance.
How to fill out ncemnaorgnational-association-of-hispanicnational association of hispanic
How to fill out ncemnaorgnational-association-of-hispanicnational association of hispanic
01
To fill out the ncemnaorgnational-association-of-hispanicnational association of hispanic form, follow these steps:
02
Visit the website ncemna.org and navigate to the 'National Association of Hispanic' page.
03
Locate the form on the page, it may be available as a downloadable PDF or an online form.
04
If it is a downloadable PDF, download and print the form.
05
Fill in the required personal information such as name, address, contact details, and any other requested information.
06
Provide any additional supporting documentation if necessary.
07
Review the form to ensure all information is accurate and complete.
08
Sign and date the form.
09
Submit the completed form as instructed. This may involve mailing the physical copy or submitting it online.
10
Keep a copy of the filled-out form for your records.
Who needs ncemnaorgnational-association-of-hispanicnational association of hispanic?
01
Anyone who is interested in joining or participating in the National Association of Hispanic can fill out the ncemnaorgnational-association-of-hispanicnational association of hispanic form. This organization is open to individuals who have an interest in Hispanic culture, advocacy, and community engagement. It may be particularly beneficial for individuals who identify as Hispanic or Latino and wish to connect with others who share similar backgrounds and interests. Additionally, individuals or organizations looking to collaborate or support the goals and initiatives of the National Association of Hispanic may also need to fill out the form.
Fill
form
: Try Risk Free
For pdfFiller’s FAQs
Below is a list of the most common customer questions. If you can’t find an answer to your question, please don’t hesitate to reach out to us.
How do I execute ncemnaorgnational-association-of-hispanicnational association of hispanic online?
pdfFiller has made it simple to fill out and eSign ncemnaorgnational-association-of-hispanicnational association of hispanic. The application has capabilities that allow you to modify and rearrange PDF content, add fillable fields, and eSign the document. Begin a free trial to discover all of the features of pdfFiller, the best document editing solution.
How do I make edits in ncemnaorgnational-association-of-hispanicnational association of hispanic without leaving Chrome?
Download and install the pdfFiller Google Chrome Extension to your browser to edit, fill out, and eSign your ncemnaorgnational-association-of-hispanicnational association of hispanic, which you can open in the editor with a single click from a Google search page. Fillable documents may be executed from any internet-connected device without leaving Chrome.
How do I edit ncemnaorgnational-association-of-hispanicnational association of hispanic on an iOS device?
No, you can't. With the pdfFiller app for iOS, you can edit, share, and sign ncemnaorgnational-association-of-hispanicnational association of hispanic right away. At the Apple Store, you can buy and install it in a matter of seconds. The app is free, but you will need to set up an account if you want to buy a subscription or start a free trial.
What is ncemnaorgnational-association-of-hispanicnational association of hispanic?
The ncemnaorgnational-association-of-hispanic refers to the National Association of Hispanic, which is an organization focused on advocating for the rights and interests of Hispanic individuals and communities.
Who is required to file ncemnaorgnational-association-of-hispanicnational association of hispanic?
Individuals or organizations that are involved in activities or operations that affect the Hispanic community may be required to file with the National Association of Hispanic.
How to fill out ncemnaorgnational-association-of-hispanicnational association of hispanic?
To fill out the ncemnaorgnational-association-of-hispanic, individuals should follow the specified guidelines provided by the association, which typically includes providing personal information, the nature of involvement, and any relevant statistics or data.
What is the purpose of ncemnaorgnational-association-of-hispanicnational association of hispanic?
The purpose of the ncemnaorgnational-association-of-hispanic is to promote the wellbeing of Hispanic communities, provide advocacy for their rights, and support educational and professional development initiatives.
What information must be reported on ncemnaorgnational-association-of-hispanicnational association of hispanic?
The information that must be reported typically includes demographic data, organizational details, and any activities or initiatives undertaken that impact the Hispanic community.
Fill out your ncemnaorgnational-association-of-hispanicnational association of hispanic online with pdfFiller!
pdfFiller is an end-to-end solution for managing, creating, and editing documents and forms in the cloud. Save time and hassle by preparing your tax forms online.
Ncemnaorgnational-Association-Of-Hispanicnational Association Of Hispanic is not the form you're looking for?Search for another form here.
Relevant keywords
Related Forms
If you believe that this page should be taken down, please follow our DMCA take down process
here
.
This form may include fields for payment information. Data entered in these fields is not covered by PCI DSS compliance.