
Get the free The resident who has signed this contract, hereinafter ...
Show details
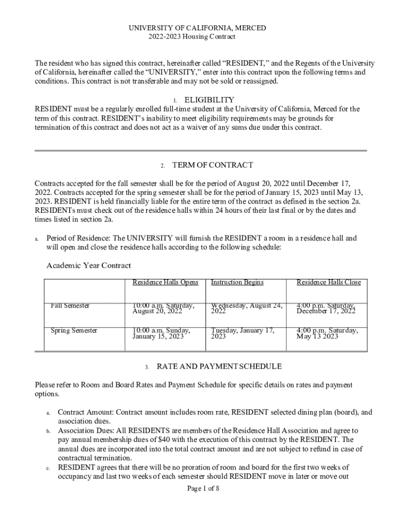
UNIVERSITY OF CALIFORNIA, MERCED 20222023 Housing Contractile resident who has signed this contract, hereinafter called RESIDENT, and the Regents of the University of California, hereinafter called
We are not affiliated with any brand or entity on this form
Get, Create, Make and Sign form resident who has

Edit your form resident who has form online
Type text, complete fillable fields, insert images, highlight or blackout data for discretion, add comments, and more.

Add your legally-binding signature
Draw or type your signature, upload a signature image, or capture it with your digital camera.

Share your form instantly
Email, fax, or share your form resident who has form via URL. You can also download, print, or export forms to your preferred cloud storage service.
How to edit form resident who has online
In order to make advantage of the professional PDF editor, follow these steps:
1
Set up an account. If you are a new user, click Start Free Trial and establish a profile.
2
Prepare a file. Use the Add New button. Then upload your file to the system from your device, importing it from internal mail, the cloud, or by adding its URL.
3
Edit form resident who has. Rearrange and rotate pages, insert new and alter existing texts, add new objects, and take advantage of other helpful tools. Click Done to apply changes and return to your Dashboard. Go to the Documents tab to access merging, splitting, locking, or unlocking functions.
4
Save your file. Select it in the list of your records. Then, move the cursor to the right toolbar and choose one of the available exporting methods: save it in multiple formats, download it as a PDF, send it by email, or store it in the cloud.
It's easier to work with documents with pdfFiller than you can have ever thought. You may try it out for yourself by signing up for an account.
Uncompromising security for your PDF editing and eSignature needs
Your private information is safe with pdfFiller. We employ end-to-end encryption, secure cloud storage, and advanced access control to protect your documents and maintain regulatory compliance.
How to fill out form resident who has

How to fill out form resident who has
01
To fill out the form resident who has, follow these steps:
02
Start by reading the instructions provided with the form. Make sure you understand the requirements and any supporting documents needed.
03
Gather all the necessary information and documentation, such as proof of residency, identification documents, and any additional supporting evidence.
04
Begin filling out the form by entering your personal details accurately. This may include your full name, address, contact information, and date of birth.
05
Provide any relevant information about your residency status, such as the duration of your stay and the purpose of your residency.
06
Answer all the questions on the form truthfully and to the best of your knowledge. If there are any sections or questions that you are unsure about, seek assistance from the form's issuing authority or a professional.
07
Attach any required supporting documents and double-check that you have provided all the necessary information.
08
Review the completed form for accuracy and completeness. Make any necessary corrections before submitting.
09
Sign and date the form as required, following the provided instructions.
10
Submit the filled-out form and any supporting documents to the designated authority or organization according to their specified submission process.
11
Keep a copy of the filled-out form and any supporting documents for your records.
12
Remember to follow any additional instructions or guidelines provided with the form to ensure a successful submission.
Who needs form resident who has?
01
The form resident who has is typically required by individuals who want to establish their residential status or prove their residency. This form may be needed in various situations, such as:
02
- Applying for government benefits or assistance programs that require proof of residency.
03
- Renting or leasing a property where the landlord requests proof of residency.
04
- Registering for voting purposes, since residency is a common requirement for voter registration.
05
- Applying for a driver's license or state identification card, as many jurisdictions require proof of residency.
06
- Seeking to change one's residential status for tax or legal purposes, such as becoming a permanent resident or applying for citizenship.
07
- Enrolling in educational institutions that require proof of residency as part of the admission process.
08
- Applying for certain financial services or accounts that require proof of residency, such as opening a bank account.
09
It is important to note that the specific requirements and purposes for this form may vary depending on the jurisdiction and the specific context in which it is being used.
Fill
form
: Try Risk Free
For pdfFiller’s FAQs
Below is a list of the most common customer questions. If you can’t find an answer to your question, please don’t hesitate to reach out to us.
How can I edit form resident who has from Google Drive?
Using pdfFiller with Google Docs allows you to create, amend, and sign documents straight from your Google Drive. The add-on turns your form resident who has into a dynamic fillable form that you can manage and eSign from anywhere.
How can I get form resident who has?
It's simple using pdfFiller, an online document management tool. Use our huge online form collection (over 25M fillable forms) to quickly discover the form resident who has. Open it immediately and start altering it with sophisticated capabilities.
How do I fill out form resident who has on an Android device?
Use the pdfFiller Android app to finish your form resident who has and other documents on your Android phone. The app has all the features you need to manage your documents, like editing content, eSigning, annotating, sharing files, and more. At any time, as long as there is an internet connection.
What is form resident who has?
Form resident who has is a tax form used to report income earned by a resident individual.
Who is required to file form resident who has?
Any resident individual who has earned income during the tax year is required to file form resident who has.
How to fill out form resident who has?
To fill out form resident who has, you will need to provide details of the income earned, including sources and amounts.
What is the purpose of form resident who has?
The purpose of form resident who has is to report taxable income earned by a resident individual for tax purposes.
What information must be reported on form resident who has?
On form resident who has, you must report all sources of income earned during the tax year, including wages, interest, and dividends.
Fill out your form resident who has online with pdfFiller!
pdfFiller is an end-to-end solution for managing, creating, and editing documents and forms in the cloud. Save time and hassle by preparing your tax forms online.

Form Resident Who Has is not the form you're looking for?Search for another form here.
Relevant keywords
Related Forms
If you believe that this page should be taken down, please follow our DMCA take down process
here
.
This form may include fields for payment information. Data entered in these fields is not covered by PCI DSS compliance.