Get the free www.quora.comHow-should-I-fill-this-contractHow should I fill this contract form 'Si...
Show details
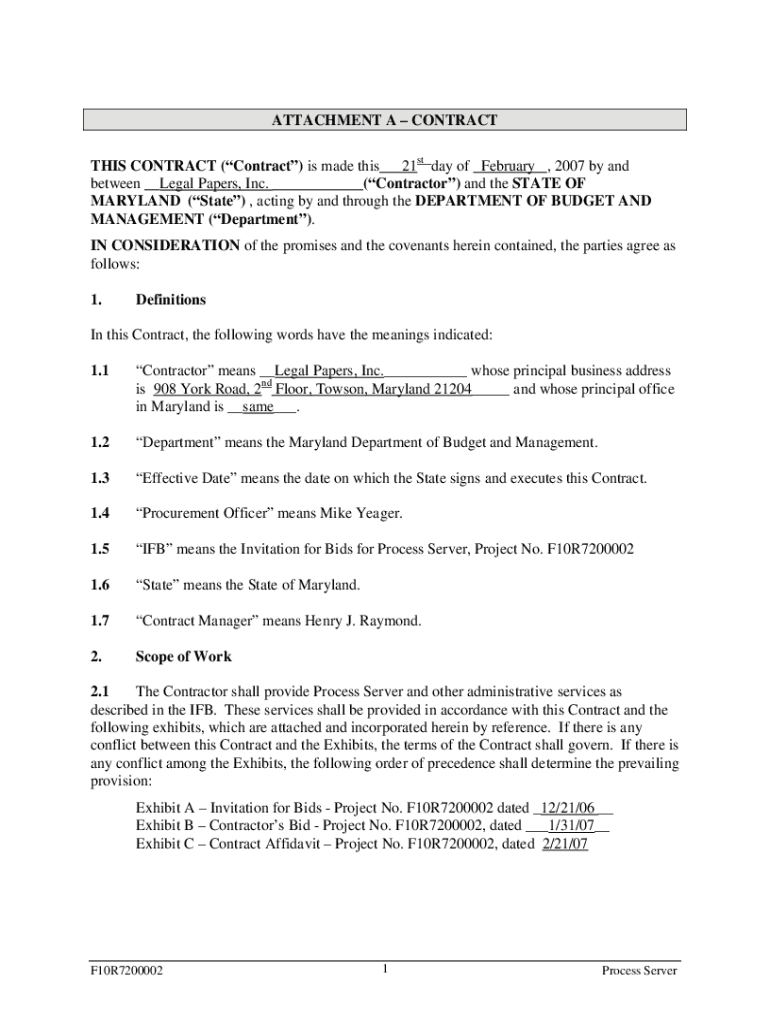
ATTACHMENT A CONTRACT THIS CONTRACT (Contract) is made this 21st day of February 2007 by and between __Legal Papers, Inc. ___(Contractor) and the STATE OF MARYLAND (State), acting by and through the
We are not affiliated with any brand or entity on this form
Get, Create, Make and Sign wwwquoracomhow-should-i-fill-this-contracthow should i fill
Edit your wwwquoracomhow-should-i-fill-this-contracthow should i fill form online
Type text, complete fillable fields, insert images, highlight or blackout data for discretion, add comments, and more.
Add your legally-binding signature
Draw or type your signature, upload a signature image, or capture it with your digital camera.
Share your form instantly
Email, fax, or share your wwwquoracomhow-should-i-fill-this-contracthow should i fill form via URL. You can also download, print, or export forms to your preferred cloud storage service.
How to edit wwwquoracomhow-should-i-fill-this-contracthow should i fill online
Here are the steps you need to follow to get started with our professional PDF editor:
1
Set up an account. If you are a new user, click Start Free Trial and establish a profile.
2
Upload a document. Select Add New on your Dashboard and transfer a file into the system in one of the following ways: by uploading it from your device or importing from the cloud, web, or internal mail. Then, click Start editing.
3
Edit wwwquoracomhow-should-i-fill-this-contracthow should i fill. Add and replace text, insert new objects, rearrange pages, add watermarks and page numbers, and more. Click Done when you are finished editing and go to the Documents tab to merge, split, lock or unlock the file.
4
Get your file. Select the name of your file in the docs list and choose your preferred exporting method. You can download it as a PDF, save it in another format, send it by email, or transfer it to the cloud.
Uncompromising security for your PDF editing and eSignature needs
Your private information is safe with pdfFiller. We employ end-to-end encryption, secure cloud storage, and advanced access control to protect your documents and maintain regulatory compliance.
How to fill out wwwquoracomhow-should-i-fill-this-contracthow should i fill
How to fill out wwwquoracomhow-should-i-fill-this-contracthow should i fill
01
Read the entire contract thoroughly to understand its terms and conditions.
02
Obtain all necessary information and documents related to the contract.
03
Fill in your personal information accurately, including your name, address, and contact details.
04
Review the required sections for additional information or signatures from other parties involved.
05
Provide any additional details or specifications as required by the contract.
06
Sign the contract at the designated signature line.
07
Make copies of the signed contract for your records.
08
Submit the filled-out contract to the appropriate individuals or organizations as instructed.
Who needs wwwquoracomhow-should-i-fill-this-contracthow should i fill?
01
Anyone who is required to enter into a contractual agreement should know how to fill out a contract accurately.
Fill
form
: Try Risk Free
For pdfFiller’s FAQs
Below is a list of the most common customer questions. If you can’t find an answer to your question, please don’t hesitate to reach out to us.
How do I edit wwwquoracomhow-should-i-fill-this-contracthow should i fill online?
The editing procedure is simple with pdfFiller. Open your wwwquoracomhow-should-i-fill-this-contracthow should i fill in the editor. You may also add photos, draw arrows and lines, insert sticky notes and text boxes, and more.
Can I sign the wwwquoracomhow-should-i-fill-this-contracthow should i fill electronically in Chrome?
Yes. By adding the solution to your Chrome browser, you may use pdfFiller to eSign documents while also enjoying all of the PDF editor's capabilities in one spot. Create a legally enforceable eSignature by sketching, typing, or uploading a photo of your handwritten signature using the extension. Whatever option you select, you'll be able to eSign your wwwquoracomhow-should-i-fill-this-contracthow should i fill in seconds.
How do I edit wwwquoracomhow-should-i-fill-this-contracthow should i fill on an iOS device?
Use the pdfFiller mobile app to create, edit, and share wwwquoracomhow-should-i-fill-this-contracthow should i fill from your iOS device. Install it from the Apple Store in seconds. You can benefit from a free trial and choose a subscription that suits your needs.
What is wwwquoracomhow-should-i-fill-this-contracthow should i fill?
The URL www.quora.com/how-should-i-fill-this-contract typically leads to a platform where users ask questions about the best practices for completing a specific contract.
Who is required to file wwwquoracomhow-should-i-fill-this-contracthow should i fill?
Individuals or entities involved in a contractual agreement that requires formal filing are typically required to complete this process.
How to fill out wwwquoracomhow-should-i-fill-this-contracthow should i fill?
To fill out the contract, provide the necessary details as prompted, including names, signatures, dates, and any specific clauses relevant to the agreement.
What is the purpose of wwwquoracomhow-should-i-fill-this-contracthow should i fill?
The purpose is to guide users on the correct procedures and important considerations needed when filling out a contract.
What information must be reported on wwwquoracomhow-should-i-fill-this-contracthow should i fill?
Essential information typically includes parties involved, terms of agreement, signatures, and dates as required by the contract.
Fill out your wwwquoracomhow-should-i-fill-this-contracthow should i fill online with pdfFiller!
pdfFiller is an end-to-end solution for managing, creating, and editing documents and forms in the cloud. Save time and hassle by preparing your tax forms online.
Wwwquoracomhow-Should-I-Fill-This-Contracthow Should I Fill is not the form you're looking for?Search for another form here.
Relevant keywords
Related Forms
If you believe that this page should be taken down, please follow our DMCA take down process
here
.
This form may include fields for payment information. Data entered in these fields is not covered by PCI DSS compliance.