
Get the free icbda.orgieeecopyrightformIEEE COPYRIGHT AND CONSENT FORM
Show details
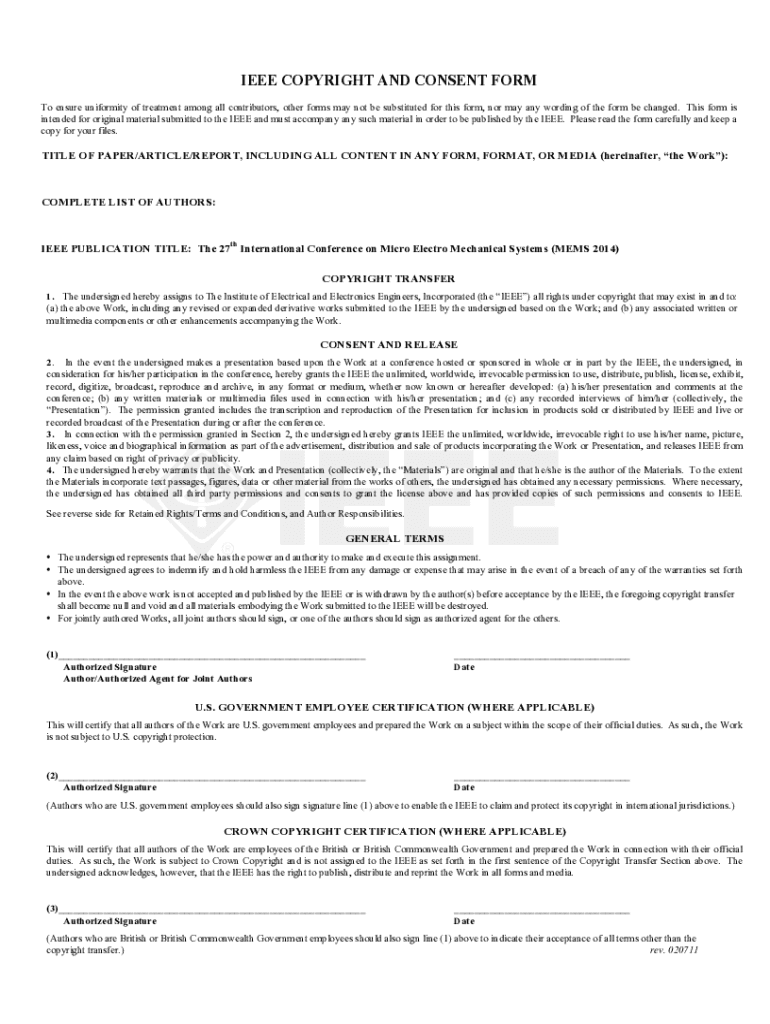
IEEE COPYRIGHT AND CONSENT FORM To ensure uniformity of treatment among all contributors, other forms may not be substituted for this form, nor may any wording of the form be changed. This form is
We are not affiliated with any brand or entity on this form
Get, Create, Make and Sign icbdaorgieeecopyrightformieee copyright and consent

Edit your icbdaorgieeecopyrightformieee copyright and consent form online
Type text, complete fillable fields, insert images, highlight or blackout data for discretion, add comments, and more.

Add your legally-binding signature
Draw or type your signature, upload a signature image, or capture it with your digital camera.

Share your form instantly
Email, fax, or share your icbdaorgieeecopyrightformieee copyright and consent form via URL. You can also download, print, or export forms to your preferred cloud storage service.
Editing icbdaorgieeecopyrightformieee copyright and consent online
Follow the guidelines below to benefit from a competent PDF editor:
1
Log in to account. Click on Start Free Trial and register a profile if you don't have one.
2
Simply add a document. Select Add New from your Dashboard and import a file into the system by uploading it from your device or importing it via the cloud, online, or internal mail. Then click Begin editing.
3
Edit icbdaorgieeecopyrightformieee copyright and consent. Rearrange and rotate pages, add new and changed texts, add new objects, and use other useful tools. When you're done, click Done. You can use the Documents tab to merge, split, lock, or unlock your files.
4
Get your file. Select your file from the documents list and pick your export method. You may save it as a PDF, email it, or upload it to the cloud.
With pdfFiller, dealing with documents is always straightforward.
Uncompromising security for your PDF editing and eSignature needs
Your private information is safe with pdfFiller. We employ end-to-end encryption, secure cloud storage, and advanced access control to protect your documents and maintain regulatory compliance.
Fill
form
: Try Risk Free
For pdfFiller’s FAQs
Below is a list of the most common customer questions. If you can’t find an answer to your question, please don’t hesitate to reach out to us.
How can I send icbdaorgieeecopyrightformieee copyright and consent to be eSigned by others?
When you're ready to share your icbdaorgieeecopyrightformieee copyright and consent, you can swiftly email it to others and receive the eSigned document back. You may send your PDF through email, fax, text message, or USPS mail, or you can notarize it online. All of this may be done without ever leaving your account.
Can I sign the icbdaorgieeecopyrightformieee copyright and consent electronically in Chrome?
Yes. By adding the solution to your Chrome browser, you can use pdfFiller to eSign documents and enjoy all of the features of the PDF editor in one place. Use the extension to create a legally-binding eSignature by drawing it, typing it, or uploading a picture of your handwritten signature. Whatever you choose, you will be able to eSign your icbdaorgieeecopyrightformieee copyright and consent in seconds.
How do I fill out icbdaorgieeecopyrightformieee copyright and consent using my mobile device?
You can easily create and fill out legal forms with the help of the pdfFiller mobile app. Complete and sign icbdaorgieeecopyrightformieee copyright and consent and other documents on your mobile device using the application. Visit pdfFiller’s webpage to learn more about the functionalities of the PDF editor.
What is icbdaorgieeecopyrightformieee copyright and consent?
icbdaorgieeecopyrightformieee copyright and consent is a form that authors need to fill out to grant IEEE the permission to publish their work and to ensure that the work is original and does not violate any copyrights.
Who is required to file icbdaorgieeecopyrightformieee copyright and consent?
Authors who wish to publish their work with IEEE are required to file icbdaorgieeecopyrightformieee copyright and consent.
How to fill out icbdaorgieeecopyrightformieee copyright and consent?
To fill out the form, authors need to provide information about the work, declare that it is original and does not violate any copyrights, and grant IEEE permission to publish the work.
What is the purpose of icbdaorgieeecopyrightformieee copyright and consent?
The purpose of the form is to protect the author's rights, ensure that the work is original, and grant IEEE permission to publish the work.
What information must be reported on icbdaorgieeecopyrightformieee copyright and consent?
Authors must report information about the work, declare its originality, and grant IEEE permission to publish the work.
Fill out your icbdaorgieeecopyrightformieee copyright and consent online with pdfFiller!
pdfFiller is an end-to-end solution for managing, creating, and editing documents and forms in the cloud. Save time and hassle by preparing your tax forms online.

Icbdaorgieeecopyrightformieee Copyright And Consent is not the form you're looking for?Search for another form here.
Relevant keywords
Related Forms
If you believe that this page should be taken down, please follow our DMCA take down process
here
.
This form may include fields for payment information. Data entered in these fields is not covered by PCI DSS compliance.