Form preview

Get the free education.austincc.edu childdev wp-contentTeacher TRAC Project Instructions and Appl...

Get Form
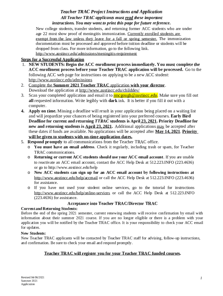
Teacher TRACK Project Instructions and Application All Teacher TRACK applicants must read these important instructions. You may want to print this page for future reference. New college students,
We are not affiliated with any brand or entity on this form

Get, Create, Make and Sign educationaustinccedu childdev wp-contentteacher trac

Edit
Edit your educationaustinccedu childdev wp-contentteacher trac form online
Type text, complete fillable fields, insert images, highlight or blackout data for discretion, add comments, and more.
Add
Add your legally-binding signature
Draw or type your signature, upload a signature image, or capture it with your digital camera.
Share
Share your form instantly
Email, fax, or share your educationaustinccedu childdev wp-contentteacher trac form via URL. You can also download, print, or export forms to your preferred cloud storage service.

How to edit educationaustinccedu childdev wp-contentteacher trac online

9.5
Ease of Setup
pdfFiller User Ratings on G2
9.0
Ease of Use
pdfFiller User Ratings on G2
Here are the steps you need to follow to get started with our professional PDF editor:
1
Log in. Click Start Free Trial and create a profile if necessary.
2
Prepare a file. Use the Add New button to start a new project. Then, using your device, upload your file to the system by importing it from internal mail, the cloud, or adding its URL.
3
Edit educationaustinccedu childdev wp-contentteacher trac. Rearrange and rotate pages, add and edit text, and use additional tools. To save changes and return to your Dashboard, click Done. The Documents tab allows you to merge, divide, lock, or unlock files.
4
Save your file. Choose it from the list of records. Then, shift the pointer to the right toolbar and select one of the several exporting methods: save it in multiple formats, download it as a PDF, email it, or save it to the cloud.
pdfFiller makes working with documents easier than you could ever imagine. Register for an account and see for yourself!

Uncompromising security for your PDF editing and eSignature needs

Your private information is safe with pdfFiller. We employ end-to-end encryption, secure cloud storage, and advanced access control to protect your documents and maintain regulatory compliance.
GDPR
AICPA SOC 2
PCI
HIPAA
CCPA
FDA

How to fill out educationaustinccedu childdev wp-contentteacher trac

Illustration

How to fill out educationaustinccedu childdev wp-contentteacher trac

01
- Open the website educationaustinccedu.
02
- Navigate to the 'Child Development' section.
03
- Click on the 'WP-Content/Teacher Trac' link.
04
- Fill out the necessary information as prompted.
05
- Submit the form.

Who needs educationaustinccedu childdev wp-contentteacher trac?

01
Anyone who is a teacher or involved in child development and has access to educationaustinccedu may need to fill out the 'Child Development' WP-Content/Teacher Trac form.

What is education.austincc.edu childdev wp-contentTeacher TRAC Project Instructions and Application Form?

The education.austincc.edu childdev wp-contentTeacher TRAC Project Instructions and Application is a document that can be completed and signed for specific reasons. Next, it is furnished to the actual addressee in order to provide certain info of any kinds. The completion and signing is able manually in hard copy or with an appropriate tool like PDFfiller. These tools help to submit any PDF or Word file without printing them out. It also allows you to edit it for your requirements and put legit digital signature. Once you're good, the user ought to send the education.austincc.edu childdev wp-contentTeacher TRAC Project Instructions and Application to the recipient or several of them by email and even fax. PDFfiller is known for a feature and options that make your document of MS Word extension printable. It offers different settings for printing out appearance. It does no matter how you will send a document - physically or electronically - it will always look well-designed and organized. In order not to create a new writable document from the beginning all the time, make the original file into a template. After that, you will have an editable sample.

education.austincc.edu childdev wp-contentTeacher TRAC Project Instructions and Application template instructions

Once you're ready to start filling out the education.austincc.edu childdev wp-contentTeacher TRAC Project Instructions and Application fillable form, you need to make certain that all required data is prepared. This part is highly important, as far as errors can lead to undesired consequences. It is always distressing and time-consuming to resubmit entire blank, letting alone the penalties caused by blown deadlines. Handling the digits requires more focus. At first glance, there is nothing tricky in this task. Yet, there is nothing to make an error. Professionals recommend to save all required information and get it separately in a different file. Once you have a writable sample, it will be easy to export this info from the file. In any case, you need to be as observative as you can to provide actual and legit information. Doublecheck the information in your education.austincc.edu childdev wp-contentTeacher TRAC Project Instructions and Application form carefully while filling all important fields. In case of any error, it can be promptly fixed with PDFfiller editing tool, so all deadlines are met.

How should you fill out the education.austincc.edu childdev wp-contentTeacher TRAC Project Instructions and Application template

The first thing you will need to start to fill out the form education.austincc.edu childdev wp-contentTeacher TRAC Project Instructions and Application is writable template of it. If you complete and file it with the help of PDFfiller, there are the following options how you can get it:

  • Search for the education.austincc.edu childdev wp-contentTeacher TRAC Project Instructions and Application in the Search box on the top of the main page.
  • Upload your own Word template to the editing tool, in case you have it.
  • If there is no the form you need in catalogue or your hard drive, create it by yourself with the editing and form building features.

No matter what option you prefer, you are able to modify the form and add more different nice items in it. Nonetheless, if you want a template containing all fillable fields, you can obtain it in the catalogue only. The rest 2 options are lacking this feature, so you will need to insert fields yourself. Nonetheless, it is very simple and fast to do. When you finish it, you will have a handy document to fill out or send to another person by email. The writable fields are easy to put whenever you need them in the word file and can be deleted in one click. Each function of the fields matches a certain type: for text, for date, for checkmarks. Once you need other persons to put their signatures in it, there is a corresponding field as well. Electronic signature tool makes it possible to put your own autograph. When everything is all set, hit the Done button. And now, you can share your fillable form.

Fill form : Try Risk Free
Users Most Likely To Recommend - Summer 2025
Grid Leader in Small-Business - Summer 2025
High Performer - Summer 2025
Regional Leader - Summer 2025
Easiest To Do Business With - Summer 2025
Best Meets Requirements- Summer 2025
Rate the form
4.6
Satisfied
31 Votes

For pdfFiller’s FAQs

Below is a list of the most common customer questions. If you can’t find an answer to your question, please don’t hesitate to reach out to us.

The premium pdfFiller subscription gives you access to over 25M fillable templates that you can download, fill out, print, and sign. The library has state-specific educationaustinccedu childdev wp-contentteacher trac and other forms. Find the template you need and change it using powerful tools.
educationaustinccedu childdev wp-contentteacher trac can be edited, filled out, and signed with the pdfFiller Google Chrome Extension. You can open the editor right from a Google search page with just one click. Fillable documents can be done on any web-connected device without leaving Chrome.
The pdfFiller app for Android allows you to edit PDF files like educationaustinccedu childdev wp-contentteacher trac. Mobile document editing, signing, and sending. Install the app to ease document management anywhere.
EducationAustinCCEDU ChildDev WP-ContentTeacher Trac is a specific educational resource or platform related to child development teaching materials and teacher resources.
Teachers, administrators, or anyone involved in child development education programs may be required to file using the EducationAustinCCEDU ChildDev WP-ContentTeacher Trac.
To fill out the EducationAustinCCEDU ChildDev WP-ContentTeacher Trac, users should follow the provided forms and guidelines available on the official website or portal, ensuring all required information is accurately entered.
The purpose of EducationAustinCCEDU ChildDev WP-ContentTeacher Trac is to facilitate the tracking and documentation of educational activities, resources, and progress in child development programs.
Information that must be reported typically includes details about teaching activities, student interactions, curriculum used, and assessments related to child development education.
Fill out your educationaustinccedu childdev wp-contentteacher trac online with pdfFiller!

pdfFiller is an end-to-end solution for managing, creating, and editing documents and forms in the cloud. Save time and hassle by preparing your tax forms online.

Get started now
Form preview
If you believe that this page should be taken down, please follow our DMCA take down process here .
This form may include fields for payment information. Data entered in these fields is not covered by PCI DSS compliance.