Get the free www.flrules.org gateway readRefFilePage 1 of 4 State of Florida Department of Busine...
Show details
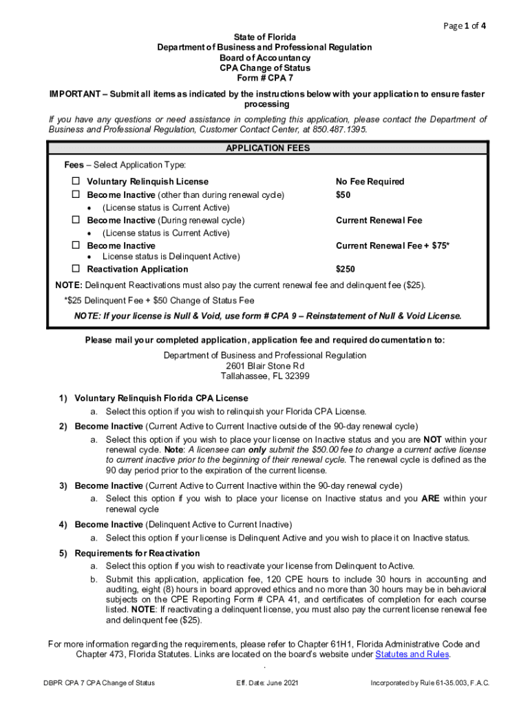
State of Florida Department of Business and Professional Regulation Board of Accountancy CPA Change of Status Form # CPA 7Page 1 of 4IMPORTANT Submit all items as indicated by the instructions below
We are not affiliated with any brand or entity on this form
Get, Create, Make and Sign wwwflrulesorg gateway readreffilepage 1
Edit your wwwflrulesorg gateway readreffilepage 1 form online
Type text, complete fillable fields, insert images, highlight or blackout data for discretion, add comments, and more.
Add your legally-binding signature
Draw or type your signature, upload a signature image, or capture it with your digital camera.
Share your form instantly
Email, fax, or share your wwwflrulesorg gateway readreffilepage 1 form via URL. You can also download, print, or export forms to your preferred cloud storage service.
How to edit wwwflrulesorg gateway readreffilepage 1 online
Follow the guidelines below to benefit from a competent PDF editor:
1
Register the account. Begin by clicking Start Free Trial and create a profile if you are a new user.
2
Simply add a document. Select Add New from your Dashboard and import a file into the system by uploading it from your device or importing it via the cloud, online, or internal mail. Then click Begin editing.
3
Edit wwwflrulesorg gateway readreffilepage 1. Add and replace text, insert new objects, rearrange pages, add watermarks and page numbers, and more. Click Done when you are finished editing and go to the Documents tab to merge, split, lock or unlock the file.
4
Save your file. Select it from your list of records. Then, move your cursor to the right toolbar and choose one of the exporting options. You can save it in multiple formats, download it as a PDF, send it by email, or store it in the cloud, among other things.
pdfFiller makes working with documents easier than you could ever imagine. Register for an account and see for yourself!
Uncompromising security for your PDF editing and eSignature needs
Your private information is safe with pdfFiller. We employ end-to-end encryption, secure cloud storage, and advanced access control to protect your documents and maintain regulatory compliance.
How to fill out wwwflrulesorg gateway readreffilepage 1
How to fill out wwwflrulesorg gateway readreffilepage 1
01
To fill out wwwflrulesorg gateway readreffilepage 1, follow these steps:
02
Open your web browser and go to wwwflrulesorg gateway readreffilepage 1.
03
Locate the form or document that you need to fill out.
04
Read the instructions provided on the form to understand the requirements and guidelines for filling it out.
05
Use your computer keyboard or a digital input device to enter the required information into the designated fields on the form.
06
Double-check your entries for accuracy and completeness.
07
If there are any checkboxes or options to select, click or tick the appropriate boxes.
08
Follow any additional instructions provided on the form, such as attaching supporting documents or signatures.
09
Save a copy of the filled-out form for your records.
10
Submit the completed form by clicking the designated submit button or following the provided submission instructions.
11
Wait for a confirmation or acknowledgment message to ensure your submission was successful.
Who needs wwwflrulesorg gateway readreffilepage 1?
01
wwwflrulesorg gateway readreffilepage 1 is needed by individuals or organizations who require access to specific forms or documents available on the website. It can be used by anyone who needs to fill out and submit these forms electronically.
Fill
form
: Try Risk Free
For pdfFiller’s FAQs
Below is a list of the most common customer questions. If you can’t find an answer to your question, please don’t hesitate to reach out to us.
How can I manage my wwwflrulesorg gateway readreffilepage 1 directly from Gmail?
In your inbox, you may use pdfFiller's add-on for Gmail to generate, modify, fill out, and eSign your wwwflrulesorg gateway readreffilepage 1 and any other papers you receive, all without leaving the program. Install pdfFiller for Gmail from the Google Workspace Marketplace by visiting this link. Take away the need for time-consuming procedures and handle your papers and eSignatures with ease.
Where do I find wwwflrulesorg gateway readreffilepage 1?
It's simple with pdfFiller, a full online document management tool. Access our huge online form collection (over 25M fillable forms are accessible) and find the wwwflrulesorg gateway readreffilepage 1 in seconds. Open it immediately and begin modifying it with powerful editing options.
How do I complete wwwflrulesorg gateway readreffilepage 1 on an Android device?
On an Android device, use the pdfFiller mobile app to finish your wwwflrulesorg gateway readreffilepage 1. The program allows you to execute all necessary document management operations, such as adding, editing, and removing text, signing, annotating, and more. You only need a smartphone and an internet connection.
What is wwwflrulesorg gateway readreffilepage 1?
www.flrules.org gateway readreffilepage 1 is a specific page related to the Florida Administrative Code where users can reference and interact with rules and regulations governed by the state.
Who is required to file wwwflrulesorg gateway readreffilepage 1?
Those required to file include state agencies, local governments, and individuals or organizations subject to Florida regulations, depending on the specific rules being referenced.
How to fill out wwwflrulesorg gateway readreffilepage 1?
To fill out the form, navigate to the appropriate section on the website, provide the requested information pertaining to your filing, and ensure all fields are completed accurately before submission.
What is the purpose of wwwflrulesorg gateway readreffilepage 1?
The purpose of the page is to facilitate the filing and reporting process for rules and regulations, ensuring compliance with state law and promoting transparency.
What information must be reported on wwwflrulesorg gateway readreffilepage 1?
Required information typically includes the name of the filer, the specific rule or regulation referenced, relevant dates, and other supporting documentation as mandated by the state.
Fill out your wwwflrulesorg gateway readreffilepage 1 online with pdfFiller!
pdfFiller is an end-to-end solution for managing, creating, and editing documents and forms in the cloud. Save time and hassle by preparing your tax forms online.
Wwwflrulesorg Gateway Readreffilepage 1 is not the form you're looking for?Search for another form here.
Relevant keywords
Related Forms
If you believe that this page should be taken down, please follow our DMCA take down process
here
.
This form may include fields for payment information. Data entered in these fields is not covered by PCI DSS compliance.