
Get the free Acquisition Plan Action ID: VA249-17-AP-6555
Show details
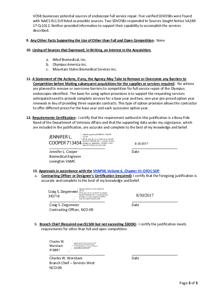
DEPARTMENT OF VETERANS AFFAIRS Justification and Approval (J&A) For Other Than Full and Open Competition ($150K)Acquisition Plan Action ID: VA24917AP6555 1. Contracting Activity: Department of Veterans
We are not affiliated with any brand or entity on this form
Get, Create, Make and Sign acquisition plan action id

Edit your acquisition plan action id form online
Type text, complete fillable fields, insert images, highlight or blackout data for discretion, add comments, and more.

Add your legally-binding signature
Draw or type your signature, upload a signature image, or capture it with your digital camera.

Share your form instantly
Email, fax, or share your acquisition plan action id form via URL. You can also download, print, or export forms to your preferred cloud storage service.
How to edit acquisition plan action id online
To use the professional PDF editor, follow these steps below:
1
Create an account. Begin by choosing Start Free Trial and, if you are a new user, establish a profile.
2
Upload a file. Select Add New on your Dashboard and upload a file from your device or import it from the cloud, online, or internal mail. Then click Edit.
3
Edit acquisition plan action id. Rearrange and rotate pages, add new and changed texts, add new objects, and use other useful tools. When you're done, click Done. You can use the Documents tab to merge, split, lock, or unlock your files.
4
Save your file. Choose it from the list of records. Then, shift the pointer to the right toolbar and select one of the several exporting methods: save it in multiple formats, download it as a PDF, email it, or save it to the cloud.
Dealing with documents is simple using pdfFiller. Now is the time to try it!
Uncompromising security for your PDF editing and eSignature needs
Your private information is safe with pdfFiller. We employ end-to-end encryption, secure cloud storage, and advanced access control to protect your documents and maintain regulatory compliance.
How to fill out acquisition plan action id

How to fill out acquisition plan action id
01
To fill out an acquisition plan action ID, follow these steps:
02
Start by entering the name of the acquisition plan action ID at the top of the document.
03
Fill in the required fields such as the objective, description, and timeline of the action.
04
Identify the necessary resources, both human and material, needed for the action.
05
Define the budget or funding sources for the action.
06
Specify the roles and responsibilities of the individuals or teams involved.
07
Determine the metrics or criteria for measuring the success of the action.
08
Review and proofread the completed form to ensure accuracy and clarity.
09
Submit the filled-out acquisition plan action ID to the appropriate department or supervisor.
Who needs acquisition plan action id?
01
Acquisition plan action ID is needed by project managers, acquisition specialists, procurement officers, and anyone involved in the planning and execution of acquisitions. It provides a structured approach to acquiring goods, services, or assets, which improves efficiency and ensures compliance with regulations.
Fill
form
: Try Risk Free
For pdfFiller’s FAQs
Below is a list of the most common customer questions. If you can’t find an answer to your question, please don’t hesitate to reach out to us.
How can I edit acquisition plan action id from Google Drive?
You can quickly improve your document management and form preparation by integrating pdfFiller with Google Docs so that you can create, edit and sign documents directly from your Google Drive. The add-on enables you to transform your acquisition plan action id into a dynamic fillable form that you can manage and eSign from any internet-connected device.
How can I send acquisition plan action id to be eSigned by others?
Once your acquisition plan action id is ready, you can securely share it with recipients and collect eSignatures in a few clicks with pdfFiller. You can send a PDF by email, text message, fax, USPS mail, or notarize it online - right from your account. Create an account now and try it yourself.
How do I fill out acquisition plan action id using my mobile device?
You can easily create and fill out legal forms with the help of the pdfFiller mobile app. Complete and sign acquisition plan action id and other documents on your mobile device using the application. Visit pdfFiller’s webpage to learn more about the functionalities of the PDF editor.
What is acquisition plan action id?
The acquisition plan action id is a unique identifier assigned to each acquisition plan action.
Who is required to file acquisition plan action id?
Any government agency or department involved in acquiring goods or services must file an acquisition plan action id.
How to fill out acquisition plan action id?
The acquisition plan action id can be filled out online through the designated government procurement portal.
What is the purpose of acquisition plan action id?
The acquisition plan action id is used to track and monitor the progress of government acquisition activities.
What information must be reported on acquisition plan action id?
The acquisition plan action id must include details such as the description of goods or services to be acquired, budget allocation, and timeline.
Fill out your acquisition plan action id online with pdfFiller!
pdfFiller is an end-to-end solution for managing, creating, and editing documents and forms in the cloud. Save time and hassle by preparing your tax forms online.

Acquisition Plan Action Id is not the form you're looking for?Search for another form here.
Relevant keywords
Related Forms
If you believe that this page should be taken down, please follow our DMCA take down process
here
.
This form may include fields for payment information. Data entered in these fields is not covered by PCI DSS compliance.