
Get the free catalog.k-state.edupreviewentityCollege of Technology and Aviation (Polytechnic Campus)
Show details
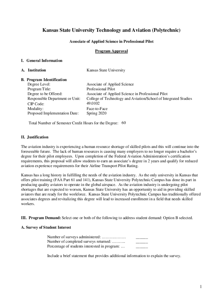
Kansas State University Technology and Aviation (Polytechnic) Associate of Applied Science in Professional Pilot Program Approval I. General Information A. Institution Kansas State University. Program
We are not affiliated with any brand or entity on this form
Get, Create, Make and Sign catalogk-stateedupreviewentitycollege of technology and

Edit your catalogk-stateedupreviewentitycollege of technology and form online
Type text, complete fillable fields, insert images, highlight or blackout data for discretion, add comments, and more.

Add your legally-binding signature
Draw or type your signature, upload a signature image, or capture it with your digital camera.

Share your form instantly
Email, fax, or share your catalogk-stateedupreviewentitycollege of technology and form via URL. You can also download, print, or export forms to your preferred cloud storage service.
How to edit catalogk-stateedupreviewentitycollege of technology and online
Follow the steps below to use a professional PDF editor:
1
Check your account. If you don't have a profile yet, click Start Free Trial and sign up for one.
2
Simply add a document. Select Add New from your Dashboard and import a file into the system by uploading it from your device or importing it via the cloud, online, or internal mail. Then click Begin editing.
3
Edit catalogk-stateedupreviewentitycollege of technology and. Rearrange and rotate pages, insert new and alter existing texts, add new objects, and take advantage of other helpful tools. Click Done to apply changes and return to your Dashboard. Go to the Documents tab to access merging, splitting, locking, or unlocking functions.
4
Save your file. Select it from your records list. Then, click the right toolbar and select one of the various exporting options: save in numerous formats, download as PDF, email, or cloud.
pdfFiller makes working with documents easier than you could ever imagine. Register for an account and see for yourself!
Uncompromising security for your PDF editing and eSignature needs
Your private information is safe with pdfFiller. We employ end-to-end encryption, secure cloud storage, and advanced access control to protect your documents and maintain regulatory compliance.
How to fill out catalogk-stateedupreviewentitycollege of technology and

How to fill out catalogk-stateedupreviewentitycollege of technology and
01
To fill out catalogk-stateedupreviewentitycollege of technology, follow these steps:
02
Start by opening the catalogk-stateedupreviewentitycollege of technology form on your web browser.
03
Enter your personal information such as name, address, and contact details in the designated fields.
04
Provide your educational background, including the details of your previous degrees and institutions.
05
Specify your areas of expertise, research interests, and any relevant publications or projects.
06
Describe your professional experience, including employment history and positions held.
07
Highlight any awards, honors, or certifications you have received in your field.
08
Upload supporting documents such as a resume, cover letter, or recommendation letters, if required.
09
Review all the entered information carefully to ensure accuracy and completeness.
10
Submit the catalogk-stateedupreviewentitycollege of technology form by clicking the 'Submit' button.
11
Keep a copy of the submitted form for your records.
12
Congratulations! You have successfully filled out the catalogk-stateedupreviewentitycollege of technology form.
Who needs catalogk-stateedupreviewentitycollege of technology and?
01
The catalogk-stateedupreviewentitycollege of technology form is required by individuals who want to apply for admission, scholarships, or employment opportunities at the College of Technology.
02
Prospective students who wish to enroll in a technology-related program, faculty members seeking employment, or individuals applying for research grants may need to fill out this form.
03
Additionally, anyone interested in collaborating with the College of Technology or engaging in academic partnerships may be required to complete and submit the catalogk-stateedupreviewentitycollege of technology form.
Fill
form
: Try Risk Free
For pdfFiller’s FAQs
Below is a list of the most common customer questions. If you can’t find an answer to your question, please don’t hesitate to reach out to us.
How can I get catalogk-stateedupreviewentitycollege of technology and?
The premium version of pdfFiller gives you access to a huge library of fillable forms (more than 25 million fillable templates). You can download, fill out, print, and sign them all. State-specific catalogk-stateedupreviewentitycollege of technology and and other forms will be easy to find in the library. Find the template you need and use advanced editing tools to make it your own.
Can I create an eSignature for the catalogk-stateedupreviewentitycollege of technology and in Gmail?
You may quickly make your eSignature using pdfFiller and then eSign your catalogk-stateedupreviewentitycollege of technology and right from your mailbox using pdfFiller's Gmail add-on. Please keep in mind that in order to preserve your signatures and signed papers, you must first create an account.
Can I edit catalogk-stateedupreviewentitycollege of technology and on an iOS device?
No, you can't. With the pdfFiller app for iOS, you can edit, share, and sign catalogk-stateedupreviewentitycollege of technology and right away. At the Apple Store, you can buy and install it in a matter of seconds. The app is free, but you will need to set up an account if you want to buy a subscription or start a free trial.
What is catalogk-stateedupreviewentitycollege of technology and?
The catalogk-stateedupreviewentitycollege of technology and is a document that provides detailed information about the programs and courses offered by a specific college of technology.
Who is required to file catalogk-stateedupreviewentitycollege of technology and?
The college administration or designated faculty members are required to file the catalogk-stateedupreviewentitycollege of technology and.
How to fill out catalogk-stateedupreviewentitycollege of technology and?
The catalogk-stateedupreviewentitycollege of technology and is typically filled out by providing detailed descriptions of each program, course requirements, faculty information, and any other relevant details.
What is the purpose of catalogk-stateedupreviewentitycollege of technology and?
The purpose of the catalogk-stateedupreviewentitycollege of technology and is to provide current and prospective students with a comprehensive overview of the college's offerings and policies.
What information must be reported on catalogk-stateedupreviewentitycollege of technology and?
The catalogk-stateedupreviewentitycollege of technology and must include information about academic programs, course descriptions, faculty qualifications, admission requirements, and student services.
Fill out your catalogk-stateedupreviewentitycollege of technology and online with pdfFiller!
pdfFiller is an end-to-end solution for managing, creating, and editing documents and forms in the cloud. Save time and hassle by preparing your tax forms online.

Catalogk-Stateedupreviewentitycollege Of Technology And is not the form you're looking for?Search for another form here.
Relevant keywords
Related Forms
If you believe that this page should be taken down, please follow our DMCA take down process
here
.
This form may include fields for payment information. Data entered in these fields is not covered by PCI DSS compliance.