Get the free le.utah.gov xcode Title63MUtah Code Chapter 63M-7 - Utah State Legislature - le utah
Show details
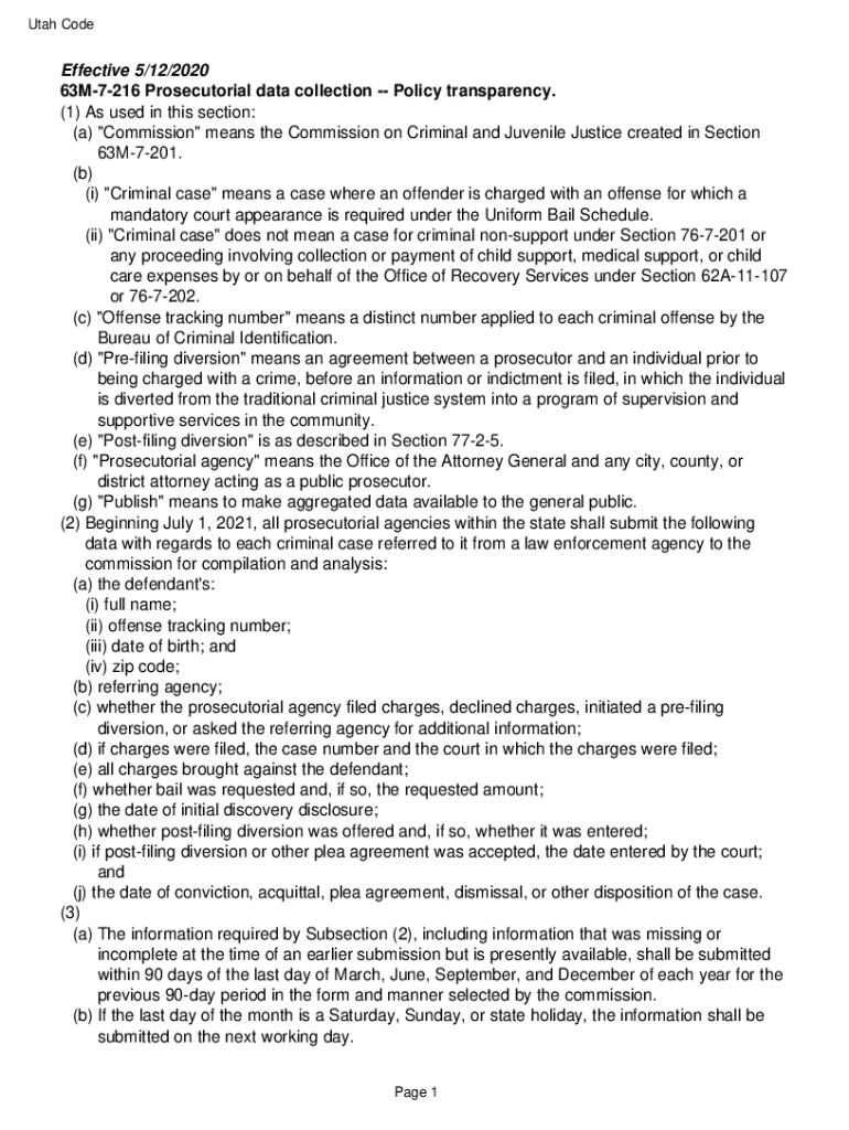
Utah Noneffective 5/12/2020 63M7216 Prosecutorial data collection Policy transparency. (1) As used in this section: (a) \” Commission\” means the Commission on Criminal and Juvenile Justice created
We are not affiliated with any brand or entity on this form
Get, Create, Make and Sign leutahgov xcode title63mutah code
Edit your leutahgov xcode title63mutah code form online
Type text, complete fillable fields, insert images, highlight or blackout data for discretion, add comments, and more.
Add your legally-binding signature
Draw or type your signature, upload a signature image, or capture it with your digital camera.
Share your form instantly
Email, fax, or share your leutahgov xcode title63mutah code form via URL. You can also download, print, or export forms to your preferred cloud storage service.
Editing leutahgov xcode title63mutah code online
Here are the steps you need to follow to get started with our professional PDF editor:
1
Set up an account. If you are a new user, click Start Free Trial and establish a profile.
2
Prepare a file. Use the Add New button to start a new project. Then, using your device, upload your file to the system by importing it from internal mail, the cloud, or adding its URL.
3
Edit leutahgov xcode title63mutah code. Rearrange and rotate pages, insert new and alter existing texts, add new objects, and take advantage of other helpful tools. Click Done to apply changes and return to your Dashboard. Go to the Documents tab to access merging, splitting, locking, or unlocking functions.
4
Save your file. Select it from your records list. Then, click the right toolbar and select one of the various exporting options: save in numerous formats, download as PDF, email, or cloud.
Dealing with documents is always simple with pdfFiller. Try it right now
Uncompromising security for your PDF editing and eSignature needs
Your private information is safe with pdfFiller. We employ end-to-end encryption, secure cloud storage, and advanced access control to protect your documents and maintain regulatory compliance.
How to fill out leutahgov xcode title63mutah code
How to fill out leutahgov xcode title63mutah code
01
To fill out the leutahgov xcode title63mutah code, follow these steps:
02
Go to the leutahgov website.
03
Search for the xcode title63mutah code section.
04
Click on the link to access the code form.
05
Provide the required information accurately.
06
Review the filled-out form for any errors or missing details.
07
Submit the form and keep a copy for your records.
Who needs leutahgov xcode title63mutah code?
01
Individuals and organizations who are looking for information or guidelines related to Title 63mutah code may need to refer to leutahgov xcode title63mutah code. This includes lawyers, legal professionals, researchers, and anyone interested in understanding and complying with the laws and regulations defined in Title 63mutah code.
Fill
form
: Try Risk Free
For pdfFiller’s FAQs
Below is a list of the most common customer questions. If you can’t find an answer to your question, please don’t hesitate to reach out to us.
How can I edit leutahgov xcode title63mutah code on a smartphone?
The best way to make changes to documents on a mobile device is to use pdfFiller's apps for iOS and Android. You may get them from the Apple Store and Google Play. Learn more about the apps here. To start editing leutahgov xcode title63mutah code, you need to install and log in to the app.
How do I complete leutahgov xcode title63mutah code on an iOS device?
Install the pdfFiller app on your iOS device to fill out papers. If you have a subscription to the service, create an account or log in to an existing one. After completing the registration process, upload your leutahgov xcode title63mutah code. You may now use pdfFiller's advanced features, such as adding fillable fields and eSigning documents, and accessing them from any device, wherever you are.
How do I complete leutahgov xcode title63mutah code on an Android device?
Use the pdfFiller mobile app to complete your leutahgov xcode title63mutah code on an Android device. The application makes it possible to perform all needed document management manipulations, like adding, editing, and removing text, signing, annotating, and more. All you need is your smartphone and an internet connection.
What is leutahgov xcode title63mutah code?
The leutahgov xcode title63mutah code refers to the Utah State Tax Commission's Title 63 tax laws and codes.
Who is required to file leutahgov xcode title63mutah code?
Businesses and individuals who meet certain criteria set forth by the Utah State Tax Commission are required to file the leutahgov xcode title63mutah code.
How to fill out leutahgov xcode title63mutah code?
To fill out the leutahgov xcode title63mutah code, taxpayers must gather all necessary financial information, complete the required forms, and submit them to the Utah State Tax Commission.
What is the purpose of leutahgov xcode title63mutah code?
The purpose of the leutahgov xcode title63mutah code is to ensure that individuals and businesses accurately report and pay their taxes in accordance with Utah State tax laws.
What information must be reported on leutahgov xcode title63mutah code?
Taxpayers must report various financial information, such as income, deductions, credits, and any other relevant tax-related details on the leutahgov xcode title63mutah code.
Fill out your leutahgov xcode title63mutah code online with pdfFiller!
pdfFiller is an end-to-end solution for managing, creating, and editing documents and forms in the cloud. Save time and hassle by preparing your tax forms online.
Leutahgov Xcode title63mutah Code is not the form you're looking for?Search for another form here.
Relevant keywords
Related Forms
If you believe that this page should be taken down, please follow our DMCA take down process
here
.
This form may include fields for payment information. Data entered in these fields is not covered by PCI DSS compliance.