Form preview

Get the free chem.uncg.eduwp-contentuploadsIn order for your Application to be reviewed you must ...

Get Form
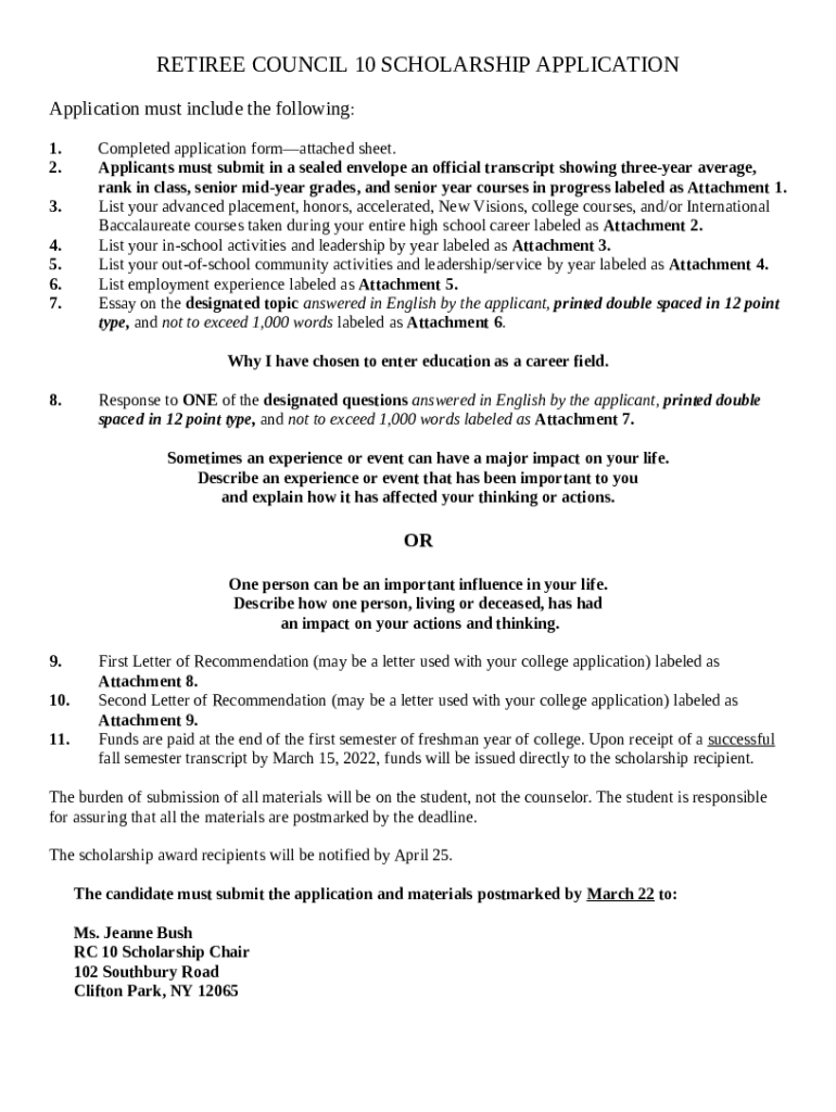
RETIREE COUNCIL 10 SCHOLARSHIP APPLICATIONApplication must include the following:1. Completed application form attached sheet.2. Applicants must submit in a sealed envelope an official transcript
We are not affiliated with any brand or entity on this form

Get, Create, Make and Sign chemuncgeduwp-contentuploadsin order for your

Edit
Edit your chemuncgeduwp-contentuploadsin order for your form online
Type text, complete fillable fields, insert images, highlight or blackout data for discretion, add comments, and more.
Add
Add your legally-binding signature
Draw or type your signature, upload a signature image, or capture it with your digital camera.
Share
Share your form instantly
Email, fax, or share your chemuncgeduwp-contentuploadsin order for your form via URL. You can also download, print, or export forms to your preferred cloud storage service.

How to edit chemuncgeduwp-contentuploadsin order for your online

9.5
Ease of Setup
pdfFiller User Ratings on G2
9.0
Ease of Use
pdfFiller User Ratings on G2
Follow the steps below to benefit from the PDF editor's expertise:
1
Log in to your account. Click on Start Free Trial and register a profile if you don't have one yet.
2
Prepare a file. Use the Add New button. Then upload your file to the system from your device, importing it from internal mail, the cloud, or by adding its URL.
3
Edit chemuncgeduwp-contentuploadsin order for your. Rearrange and rotate pages, add new and changed texts, add new objects, and use other useful tools. When you're done, click Done. You can use the Documents tab to merge, split, lock, or unlock your files.
4
Get your file. Select the name of your file in the docs list and choose your preferred exporting method. You can download it as a PDF, save it in another format, send it by email, or transfer it to the cloud.
pdfFiller makes working with documents easier than you could ever imagine. Create an account to find out for yourself how it works!

Uncompromising security for your PDF editing and eSignature needs

Your private information is safe with pdfFiller. We employ end-to-end encryption, secure cloud storage, and advanced access control to protect your documents and maintain regulatory compliance.
GDPR
AICPA SOC 2
PCI
HIPAA
CCPA
FDA

How to fill out chemuncgeduwp-contentuploadsin order for your

Illustration

How to fill out chemuncgeduwp-contentuploadsin order for your

01
To fill out chemuncgeduwp-contentuploadsin order for your, follow these steps:
02
Open a web browser and go to the website chemuncgeduwp-contentuploads.
03
Look for the section or link that says 'Upload' or 'Submit'. Click on it.
04
Select the file you want to upload from your computer. Make sure the file meets the required format and size restrictions.
05
Fill out any necessary information or forms related to the upload. This may include providing your name, contact information, or any specific instructions or details required by the website.
06
Double-check that all the information you have provided is accurate and complete.
07
Click the 'Submit' or 'Upload' button to complete the process.
08
Wait for the confirmation message or notification that your upload has been successful.
09
If necessary, keep a copy of the confirmation or receipt for future reference.
10
That's it! You have now successfully filled out chemuncgeduwp-contentuploadsin order for your.

Who needs chemuncgeduwp-contentuploadsin order for your?

01
Anyone who wants to upload or submit a file to the website chemuncgeduwp-contentuploads needs it. This could include website users, members, or visitors who have specific documents, media files, or other content they wish to share or contribute to the website. It could also include individuals or organizations who are required to provide certain documents or files as part of a process or procedure.

What is chem.uncg.eduwp-contentuploadsIn order for your Application to be reviewed you must do the ... - rc10 ny aft Form?

The chem.uncg.eduwp-contentuploadsIn order for your Application to be reviewed you must do the ... - rc10 ny aft is a writable document which can be filled-out and signed for specific purpose. Then, it is furnished to the relevant addressee to provide specific details of any kinds. The completion and signing can be done manually or via a trusted application e. g. PDFfiller. Such applications help to submit any PDF or Word file without printing out. It also allows you to edit it for your requirements and put a legal e-signature. Once finished, the user ought to send the chem.uncg.eduwp-contentuploadsIn order for your Application to be reviewed you must do the ... - rc10 ny aft to the respective recipient or several of them by mail or fax. PDFfiller has a feature and options that make your Word form printable. It has a number of settings for printing out. It doesn't matter how you will file a form after filling it out - in hard copy or electronically - it will always look well-designed and clear. To not to create a new editable template from the beginning over and over, turn the original Word file into a template. Later, you will have a customizable sample.

Template chem.uncg.eduwp-contentuploadsIn order for your Application to be reviewed you must do the ... - rc10 ny aft instructions

Before starting filling out chem.uncg.eduwp-contentuploadsIn order for your Application to be reviewed you must do the ... - rc10 ny aft form, remember to prepared enough of information required. It's a mandatory part, as long as some errors can cause unpleasant consequences starting with re-submission of the whole entire template and completing with deadlines missed and even penalties. You have to be especially careful filling out the figures. At first glimpse, it might seem to be very simple. Nonetheless, it is easy to make a mistake. Some people use some sort of a lifehack keeping all data in a separate file or a record book and then put this information into documents' samples. Anyway, try to make all efforts and present true and correct info with your chem.uncg.eduwp-contentuploadsIn order for your Application to be reviewed you must do the ... - rc10 ny aft word template, and doublecheck it when filling out all the fields. If you find any mistakes later, you can easily make some more amends while using PDFfiller application and avoid missing deadlines.

How should you fill out the chem.uncg.eduwp-contentuploadsIn order for your Application to be reviewed you must do the ... - rc10 ny aft template

The very first thing you need to start to fill out chem.uncg.eduwp-contentuploadsIn order for your Application to be reviewed you must do the ... - rc10 ny aft writable doc form is exactly template of it. For PDFfiller users, there are these ways how to get it:

  • Search for the chem.uncg.eduwp-contentuploadsIn order for your Application to be reviewed you must do the ... - rc10 ny aft form from the PDFfiller’s filebase.
  • Upload your own Word form to the editing tool, in case you have it.
  • If there is no the form you need in library or your storage space, generate it on your own using the editing and form building features.

No matter what option you favor, it will be possible to edit the document and add different fancy elements in it. Except for, if you need a word form that contains all fillable fields from the box, you can get it only from the catalogue. The rest 2 options don’t have this feature, so you need to place fields yourself. However, it is very easy and fast to do. Once you finish this process, you'll have a useful template to be completed. These fields are easy to put once you need them in the document and can be deleted in one click. Each purpose of the fields corresponds to a certain type: for text, for date, for checkmarks. If you need other persons to sign it, there is a signature field as well. E-sign tool makes it possible to put your own autograph. Once everything is completely ready, hit Done. After that, you can share your form.

Fill form : Try Risk Free
Users Most Likely To Recommend - Summer 2025
Grid Leader in Small-Business - Summer 2025
High Performer - Summer 2025
Regional Leader - Summer 2025
Easiest To Do Business With - Summer 2025
Best Meets Requirements- Summer 2025
Rate the form
4.7
Satisfied
60 Votes

For pdfFiller’s FAQs

Below is a list of the most common customer questions. If you can’t find an answer to your question, please don’t hesitate to reach out to us.

Using pdfFiller's Gmail add-on, you can edit, fill out, and sign your chemuncgeduwp-contentuploadsin order for your and other papers directly in your email. You may get it through Google Workspace Marketplace. Make better use of your time by handling your papers and eSignatures.
Once your chemuncgeduwp-contentuploadsin order for your is ready, you can securely share it with recipients and collect eSignatures in a few clicks with pdfFiller. You can send a PDF by email, text message, fax, USPS mail, or notarize it online - right from your account. Create an account now and try it yourself.
Make sure you get and install the pdfFiller iOS app. Next, open the app and log in or set up an account to use all of the solution's editing tools. If you want to open your chemuncgeduwp-contentuploadsin order for your, you can upload it from your device or cloud storage, or you can type the document's URL into the box on the right. After you fill in all of the required fields in the document and eSign it, if that is required, you can save or share it with other people.
The document is a form that needs to be completed for tax purposes.
Individuals and businesses who meet certain criteria set by the tax authorities.
You can fill out the form either manually or electronically, following the instructions provided by the tax authorities.
The purpose is to report income, deductions, and other tax-related information to the tax authorities.
Income, expenses, deductions, and other relevant financial information.
Fill out your chemuncgeduwp-contentuploadsin order for your online with pdfFiller!

pdfFiller is an end-to-end solution for managing, creating, and editing documents and forms in the cloud. Save time and hassle by preparing your tax forms online.

Get started now
Form preview
If you believe that this page should be taken down, please follow our DMCA take down process here .
This form may include fields for payment information. Data entered in these fields is not covered by PCI DSS compliance.