
Get the free Kansas State Rehabilitation Tax Credit Fee Payment Information. Kansas Rehabilitatio...
Show details
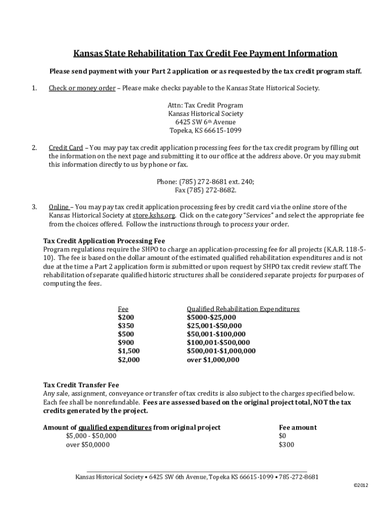
Kansas State Rehabilitation Tax Credit Fee Payment Information Please send payment with your Part 2 application or as requested by the tax credit program staff. 1. Check or money order Please make
We are not affiliated with any brand or entity on this form
Get, Create, Make and Sign kansas state rehabilitation tax

Edit your kansas state rehabilitation tax form online
Type text, complete fillable fields, insert images, highlight or blackout data for discretion, add comments, and more.

Add your legally-binding signature
Draw or type your signature, upload a signature image, or capture it with your digital camera.

Share your form instantly
Email, fax, or share your kansas state rehabilitation tax form via URL. You can also download, print, or export forms to your preferred cloud storage service.
Editing kansas state rehabilitation tax online
Here are the steps you need to follow to get started with our professional PDF editor:
1
Register the account. Begin by clicking Start Free Trial and create a profile if you are a new user.
2
Upload a file. Select Add New on your Dashboard and upload a file from your device or import it from the cloud, online, or internal mail. Then click Edit.
3
Edit kansas state rehabilitation tax. Rearrange and rotate pages, add new and changed texts, add new objects, and use other useful tools. When you're done, click Done. You can use the Documents tab to merge, split, lock, or unlock your files.
4
Get your file. Select your file from the documents list and pick your export method. You may save it as a PDF, email it, or upload it to the cloud.
Dealing with documents is simple using pdfFiller.
Uncompromising security for your PDF editing and eSignature needs
Your private information is safe with pdfFiller. We employ end-to-end encryption, secure cloud storage, and advanced access control to protect your documents and maintain regulatory compliance.
How to fill out kansas state rehabilitation tax

How to fill out kansas state rehabilitation tax
01
To fill out the Kansas State Rehabilitation Tax, follow these steps:
02
Collect all the necessary documents such as proof of expenses, receipts, and supporting documentation.
03
Fill out the personal information section, including your name, address, and SSN.
04
Provide information about the rehabilitation project, including its location, purpose, and total cost.
05
Calculate the total qualifying expenses and enter them in the appropriate section.
06
If applicable, claim any additional credits or deductions related to the rehabilitation project.
07
Review the form to ensure accuracy and completeness.
08
Sign and date the form.
09
Attach any required supporting documents.
10
Submit the completed form and supporting documents to the Kansas Department of Revenue.
11
Keep a copy of the filled-out form and supporting documents for your records.
Who needs kansas state rehabilitation tax?
01
Kansas state rehabilitation tax is needed by individuals or businesses who have undertaken eligible rehabilitation projects in the state of Kansas.
02
Eligible projects include the restoration, renovation, or rehabilitation of historic buildings, certified historic structures, or buildings located in designated rehabilitation districts.
03
Anyone who has incurred qualifying expenses related to such projects may benefit from claiming the Kansas State Rehabilitation Tax credit.
Fill
form
: Try Risk Free
For pdfFiller’s FAQs
Below is a list of the most common customer questions. If you can’t find an answer to your question, please don’t hesitate to reach out to us.
How do I edit kansas state rehabilitation tax online?
pdfFiller not only lets you change the content of your files, but you can also change the number and order of pages. Upload your kansas state rehabilitation tax to the editor and make any changes in a few clicks. The editor lets you black out, type, and erase text in PDFs. You can also add images, sticky notes, and text boxes, as well as many other things.
How do I make edits in kansas state rehabilitation tax without leaving Chrome?
Adding the pdfFiller Google Chrome Extension to your web browser will allow you to start editing kansas state rehabilitation tax and other documents right away when you search for them on a Google page. People who use Chrome can use the service to make changes to their files while they are on the Chrome browser. pdfFiller lets you make fillable documents and make changes to existing PDFs from any internet-connected device.
How do I complete kansas state rehabilitation tax on an Android device?
Use the pdfFiller Android app to finish your kansas state rehabilitation tax and other documents on your Android phone. The app has all the features you need to manage your documents, like editing content, eSigning, annotating, sharing files, and more. At any time, as long as there is an internet connection.
What is kansas state rehabilitation tax?
The Kansas State Rehabilitation Tax is a tax incentive designed to encourage the rehabilitation of historic properties and buildings in the state of Kansas by providing tax credits for qualifying rehabilitation expenditures.
Who is required to file kansas state rehabilitation tax?
Individuals or entities that undertake renovation or rehabilitation projects on certified historic buildings or properties in Kansas and wish to claim tax credits must file for the Kansas State Rehabilitation Tax.
How to fill out kansas state rehabilitation tax?
To fill out the Kansas State Rehabilitation Tax, filers must complete the appropriate tax credit application forms, provide documentation of rehabilitation expenses, and submit the forms to the Kansas Department of Revenue along with their tax returns.
What is the purpose of kansas state rehabilitation tax?
The purpose of the Kansas State Rehabilitation Tax is to promote the restoration and preservation of historical properties, stimulate economic development, and rejuvenate communities by providing financial incentives for rehabilitation projects.
What information must be reported on kansas state rehabilitation tax?
Filing individuals must report details such as the property's address, the nature of the rehabilitation work performed, the total amount of eligible expenses, and any supporting documentation that verifies the expenditures.
Fill out your kansas state rehabilitation tax online with pdfFiller!
pdfFiller is an end-to-end solution for managing, creating, and editing documents and forms in the cloud. Save time and hassle by preparing your tax forms online.

Kansas State Rehabilitation Tax is not the form you're looking for?Search for another form here.
Relevant keywords
Related Forms
If you believe that this page should be taken down, please follow our DMCA take down process
here
.
This form may include fields for payment information. Data entered in these fields is not covered by PCI DSS compliance.