Get the free 612484186
Show details
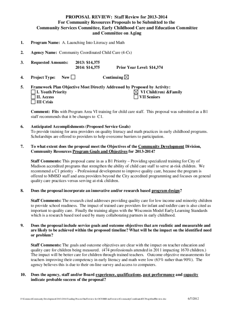
PROPOSAL REVIEW: Staff Review for 20132014 For Community Resources Proposals to be Submitted to the Community Services Committee, Early Childhood Care and Education Committee and Committee on Aging
We are not affiliated with any brand or entity on this form
Get, Create, Make and Sign 612484186 form
Edit your 612484186 form form online
Type text, complete fillable fields, insert images, highlight or blackout data for discretion, add comments, and more.
Add your legally-binding signature
Draw or type your signature, upload a signature image, or capture it with your digital camera.
Share your form instantly
Email, fax, or share your 612484186 form form via URL. You can also download, print, or export forms to your preferred cloud storage service.
How to edit 612484186 form online
To use the professional PDF editor, follow these steps below:
1
Log in. Click Start Free Trial and create a profile if necessary.
2
Upload a document. Select Add New on your Dashboard and transfer a file into the system in one of the following ways: by uploading it from your device or importing from the cloud, web, or internal mail. Then, click Start editing.
3
Edit 612484186 form. Rearrange and rotate pages, add new and changed texts, add new objects, and use other useful tools. When you're done, click Done. You can use the Documents tab to merge, split, lock, or unlock your files.
4
Get your file. When you find your file in the docs list, click on its name and choose how you want to save it. To get the PDF, you can save it, send an email with it, or move it to the cloud.
pdfFiller makes working with documents easier than you could ever imagine. Register for an account and see for yourself!
Uncompromising security for your PDF editing and eSignature needs
Your private information is safe with pdfFiller. We employ end-to-end encryption, secure cloud storage, and advanced access control to protect your documents and maintain regulatory compliance.
How to fill out 612484186 form
How to fill out cnlslanlgovaids-indiamyworkproposal for implementing primary
01
To fill out cnlslanlgovaids-indiamyworkproposal for implementing primary, follow these steps:
02
Start by opening the document in a word processing software or a text editor.
03
Fill in the necessary personal information such as your name, contact details, and designation.
04
Provide details about the primary implementation project, including its objectives, timeline, and budget.
05
Clearly outline the steps or phases of the primary implementation process.
06
Describe the roles and responsibilities of the team members involved in the project.
07
Include any required resources, materials, or equipment needed for the successful implementation.
08
Provide a detailed plan for monitoring and evaluating the progress of the primary implementation.
09
Include a section for risks and mitigation strategies to address any potential challenges.
10
Finally, review the completed proposal for any errors or missing information before submitting it.
Who needs cnlslanlgovaids-indiamyworkproposal for implementing primary?
01
cnlslanlgovaids-indiamyworkproposal for implementing primary is needed by organizations or individuals who are planning to initiate a primary implementation project. This may include educational institutions, government agencies, non-profit organizations, or private businesses.
Fill
form
: Try Risk Free
For pdfFiller’s FAQs
Below is a list of the most common customer questions. If you can’t find an answer to your question, please don’t hesitate to reach out to us.
How can I send 612484186 form for eSignature?
612484186 form is ready when you're ready to send it out. With pdfFiller, you can send it out securely and get signatures in just a few clicks. PDFs can be sent to you by email, text message, fax, USPS mail, or notarized on your account. You can do this right from your account. Become a member right now and try it out for yourself!
Can I create an electronic signature for signing my 612484186 form in Gmail?
You can easily create your eSignature with pdfFiller and then eSign your 612484186 form directly from your inbox with the help of pdfFiller’s add-on for Gmail. Please note that you must register for an account in order to save your signatures and signed documents.
How do I edit 612484186 form on an Android device?
Yes, you can. With the pdfFiller mobile app for Android, you can edit, sign, and share 612484186 form on your mobile device from any location; only an internet connection is needed. Get the app and start to streamline your document workflow from anywhere.
What is cnlslanlgovaids-indiamyworkproposal for implementing primary?
cnlslanlgovaids-indiamyworkproposal is a proposal outlining the plan for implementing primary initiatives in India.
Who is required to file cnlslanlgovaids-indiamyworkproposal for implementing primary?
Any organization or individual involved in primary education initiatives in India may be required to file cnlslanlgovaids-indiamyworkproposal.
How to fill out cnlslanlgovaids-indiamyworkproposal for implementing primary?
To fill out cnlslanlgovaids-indiamyworkproposal, you need to provide detailed information about the primary initiatives planned, resources needed, timeline, and expected outcomes.
What is the purpose of cnlslanlgovaids-indiamyworkproposal for implementing primary?
The purpose of cnlslanlgovaids-indiamyworkproposal is to outline and communicate the plan for implementing primary education initiatives effectively.
What information must be reported on cnlslanlgovaids-indiamyworkproposal for implementing primary?
Information such as project objectives, activities, budget, timeline, responsible parties, and expected outcomes must be reported on cnlslanlgovaids-indiamyworkproposal.
Fill out your 612484186 form online with pdfFiller!
pdfFiller is an end-to-end solution for managing, creating, and editing documents and forms in the cloud. Save time and hassle by preparing your tax forms online.
612484186 Form is not the form you're looking for?Search for another form here.
Relevant keywords
Related Forms
If you believe that this page should be taken down, please follow our DMCA take down process
here
.
This form may include fields for payment information. Data entered in these fields is not covered by PCI DSS compliance.