Get the free International history and physical forms for PDF -09.doc
Show details
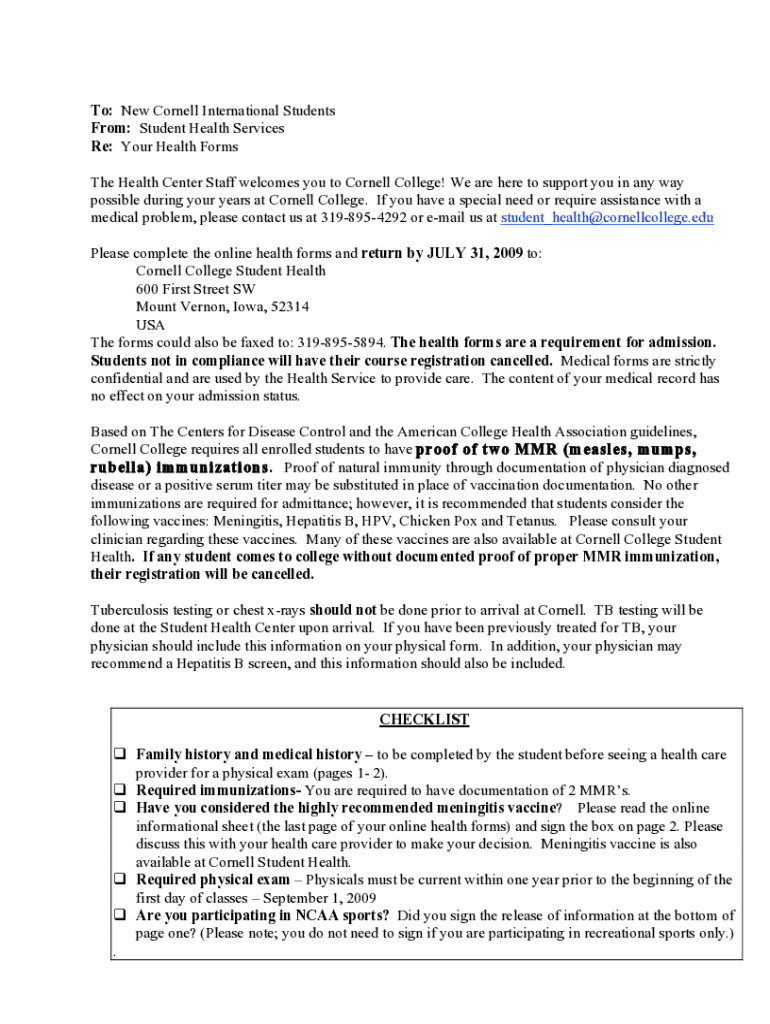
To: New Cornell International Students From: Student Health Services Re: Your Health Forms The Health Center Staff welcomes you to Cornell College! We are here to support you in any way possible during
We are not affiliated with any brand or entity on this form
Get, Create, Make and Sign international history and physical
Edit your international history and physical form online
Type text, complete fillable fields, insert images, highlight or blackout data for discretion, add comments, and more.
Add your legally-binding signature
Draw or type your signature, upload a signature image, or capture it with your digital camera.
Share your form instantly
Email, fax, or share your international history and physical form via URL. You can also download, print, or export forms to your preferred cloud storage service.
How to edit international history and physical online
Use the instructions below to start using our professional PDF editor:
1
Register the account. Begin by clicking Start Free Trial and create a profile if you are a new user.
2
Upload a file. Select Add New on your Dashboard and upload a file from your device or import it from the cloud, online, or internal mail. Then click Edit.
3
Edit international history and physical. Rearrange and rotate pages, add and edit text, and use additional tools. To save changes and return to your Dashboard, click Done. The Documents tab allows you to merge, divide, lock, or unlock files.
4
Get your file. Select the name of your file in the docs list and choose your preferred exporting method. You can download it as a PDF, save it in another format, send it by email, or transfer it to the cloud.
It's easier to work with documents with pdfFiller than you can have ever thought. Sign up for a free account to view.
Uncompromising security for your PDF editing and eSignature needs
Your private information is safe with pdfFiller. We employ end-to-end encryption, secure cloud storage, and advanced access control to protect your documents and maintain regulatory compliance.
How to fill out international history and physical
How to fill out international history and physical
01
Start by gathering all relevant medical records and documentation of previous illnesses, surgeries, and medical conditions.
02
Research and familiarize yourself with the format and requirements of an international history and physical form.
03
Begin by providing personal information such as your full name, date of birth, and contact details.
04
Fill in your medical history, including any chronic illnesses, allergies, or genetic conditions you may have.
05
Document any surgeries, hospitalizations, or major medical procedures you've undergone in the past.
06
Include a list of medications you are currently taking, including dosage and frequency.
07
Provide detailed information about any existing medical conditions or ongoing treatments.
08
Note any relevant family medical history, such as a history of heart disease or cancer in close relatives.
09
Make sure to include information about recent vaccinations and immunizations.
10
Finally, review and double-check all the entered information for accuracy and completeness before submitting the form.
Who needs international history and physical?
01
International history and physical forms are typically required by individuals who are seeking medical treatment or consultations abroad.
02
This can include patients traveling abroad for specialized medical procedures, seeking second opinions, or participating in medical research studies.
03
Additionally, individuals applying for certain types of visas or work permits in foreign countries may also be asked to provide an international history and physical as part of their application process.
Fill
form
: Try Risk Free
For pdfFiller’s FAQs
Below is a list of the most common customer questions. If you can’t find an answer to your question, please don’t hesitate to reach out to us.
How can I edit international history and physical from Google Drive?
You can quickly improve your document management and form preparation by integrating pdfFiller with Google Docs so that you can create, edit and sign documents directly from your Google Drive. The add-on enables you to transform your international history and physical into a dynamic fillable form that you can manage and eSign from any internet-connected device.
How can I send international history and physical to be eSigned by others?
When you're ready to share your international history and physical, you can swiftly email it to others and receive the eSigned document back. You may send your PDF through email, fax, text message, or USPS mail, or you can notarize it online. All of this may be done without ever leaving your account.
How do I make changes in international history and physical?
With pdfFiller, the editing process is straightforward. Open your international history and physical in the editor, which is highly intuitive and easy to use. There, you’ll be able to blackout, redact, type, and erase text, add images, draw arrows and lines, place sticky notes and text boxes, and much more.
What is international history and physical?
International history and physical is a document that provides information about a person's medical history and current health status, which is required for international travel.
Who is required to file international history and physical?
International history and physical must be filed by individuals traveling internationally, especially those seeking medical treatment abroad.
How to fill out international history and physical?
To fill out international history and physical, individuals need to provide details about their medical history, current medications, allergies, and any existing health conditions.
What is the purpose of international history and physical?
The purpose of international history and physical is to ensure that individuals are fit to travel internationally and receive appropriate medical care while abroad.
What information must be reported on international history and physical?
Information such as medical history, current health status, medications, allergies, and any existing health conditions must be reported on international history and physical.
Fill out your international history and physical online with pdfFiller!
pdfFiller is an end-to-end solution for managing, creating, and editing documents and forms in the cloud. Save time and hassle by preparing your tax forms online.
International History And Physical is not the form you're looking for?Search for another form here.
Relevant keywords
Related Forms
If you believe that this page should be taken down, please follow our DMCA take down process
here
.
This form may include fields for payment information. Data entered in these fields is not covered by PCI DSS compliance.