Get the free in.nau.edu wp-content uploadsNAU Award for Excellence in Service and Leadership
Show details
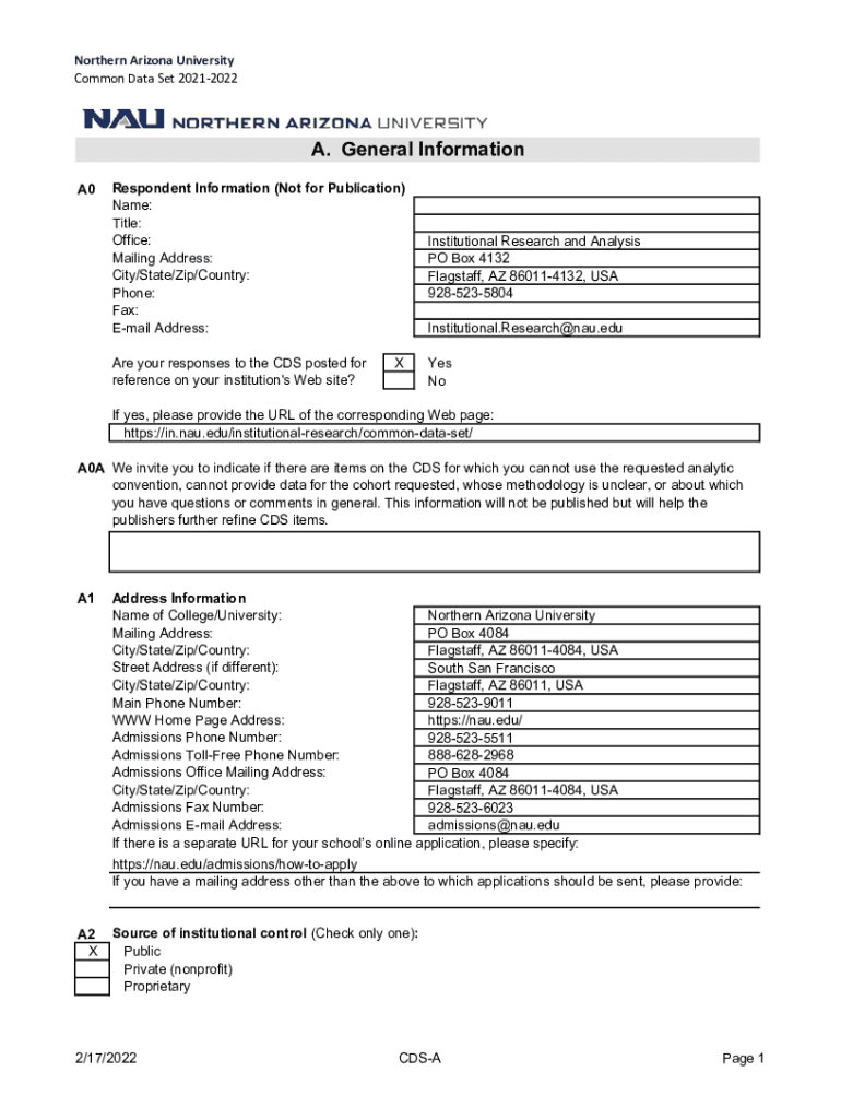
NorthernArizonaUniversity CommonDataSet20212022A. General Information A0Respondent Information (Not for Publication) Name: Title: Office: Mailing Address: City/State/Zip/Country: Phone: Fax: Email
We are not affiliated with any brand or entity on this form
Get, Create, Make and Sign innauedu wp-content uploadsnau award
Edit your innauedu wp-content uploadsnau award form online
Type text, complete fillable fields, insert images, highlight or blackout data for discretion, add comments, and more.
Add your legally-binding signature
Draw or type your signature, upload a signature image, or capture it with your digital camera.
Share your form instantly
Email, fax, or share your innauedu wp-content uploadsnau award form via URL. You can also download, print, or export forms to your preferred cloud storage service.
How to edit innauedu wp-content uploadsnau award online
Use the instructions below to start using our professional PDF editor:
1
Log in. Click Start Free Trial and create a profile if necessary.
2
Prepare a file. Use the Add New button. Then upload your file to the system from your device, importing it from internal mail, the cloud, or by adding its URL.
3
Edit innauedu wp-content uploadsnau award. Rearrange and rotate pages, add and edit text, and use additional tools. To save changes and return to your Dashboard, click Done. The Documents tab allows you to merge, divide, lock, or unlock files.
4
Save your file. Select it from your list of records. Then, move your cursor to the right toolbar and choose one of the exporting options. You can save it in multiple formats, download it as a PDF, send it by email, or store it in the cloud, among other things.
pdfFiller makes dealing with documents a breeze. Create an account to find out!
Uncompromising security for your PDF editing and eSignature needs
Your private information is safe with pdfFiller. We employ end-to-end encryption, secure cloud storage, and advanced access control to protect your documents and maintain regulatory compliance.
How to fill out innauedu wp-content uploadsnau award
How to fill out innauedu wp-content uploadsnau award
01
To fill out the innauedu wp-content uploadsnau award, follow these steps:
02
Access the innauedu website and navigate to the 'wp-content' section
03
Click on the 'uploadsnau' folder
04
Look for the 'award' file within the folder
05
Open the 'award' file and review its contents
06
Fill out the necessary information in the 'award' file
07
Save the filled-out 'award' file
08
Go back to the 'wp-content' page
09
Upload the filled-out 'award' file
10
Submit the form or application as required
Who needs innauedu wp-content uploadsnau award?
01
The innauedu wp-content uploadsnau award is needed by individuals or organizations who are applying for an award or recognition from innauedu. This can include students, researchers, educators, or any other person or group in the academic community who wishes to be considered for an award or honor.
Fill
form
: Try Risk Free
For pdfFiller’s FAQs
Below is a list of the most common customer questions. If you can’t find an answer to your question, please don’t hesitate to reach out to us.
How can I modify innauedu wp-content uploadsnau award without leaving Google Drive?
People who need to keep track of documents and fill out forms quickly can connect PDF Filler to their Google Docs account. This means that they can make, edit, and sign documents right from their Google Drive. Make your innauedu wp-content uploadsnau award into a fillable form that you can manage and sign from any internet-connected device with this add-on.
How do I make changes in innauedu wp-content uploadsnau award?
With pdfFiller, you may not only alter the content but also rearrange the pages. Upload your innauedu wp-content uploadsnau award and modify it with a few clicks. The editor lets you add photos, sticky notes, text boxes, and more to PDFs.
How do I make edits in innauedu wp-content uploadsnau award without leaving Chrome?
Get and add pdfFiller Google Chrome Extension to your browser to edit, fill out and eSign your innauedu wp-content uploadsnau award, which you can open in the editor directly from a Google search page in just one click. Execute your fillable documents from any internet-connected device without leaving Chrome.
What is innauedu wp-content uploadsnau award?
The innauedu wp-content uploadsnau award is an award given by Innau Education for outstanding achievements in the field of education.
Who is required to file innauedu wp-content uploadsnau award?
Teachers, administrators, and educators in the education sector are required to file the innauedu wp-content uploadsnau award.
How to fill out innauedu wp-content uploadsnau award?
The innauedu wp-content uploadsnau award can be filled out online through the official website of Innau Education or submitted physically through the mail.
What is the purpose of innauedu wp-content uploadsnau award?
The purpose of the innauedu wp-content uploadsnau award is to recognize and reward excellence in education and promote innovation in teaching and learning.
What information must be reported on innauedu wp-content uploadsnau award?
The innauedu wp-content uploadsnau award typically requires information such as the nominee's name, qualifications, achievements, and contributions to education.
Fill out your innauedu wp-content uploadsnau award online with pdfFiller!
pdfFiller is an end-to-end solution for managing, creating, and editing documents and forms in the cloud. Save time and hassle by preparing your tax forms online.
Innauedu Wp-Content Uploadsnau Award is not the form you're looking for?Search for another form here.
Relevant keywords
Related Forms
If you believe that this page should be taken down, please follow our DMCA take down process
here
.
This form may include fields for payment information. Data entered in these fields is not covered by PCI DSS compliance.