Get the free NC CLEAN WATER REVOLVING LOAN & GRANT PROGRAM State Authorization: G. S ...
Show details
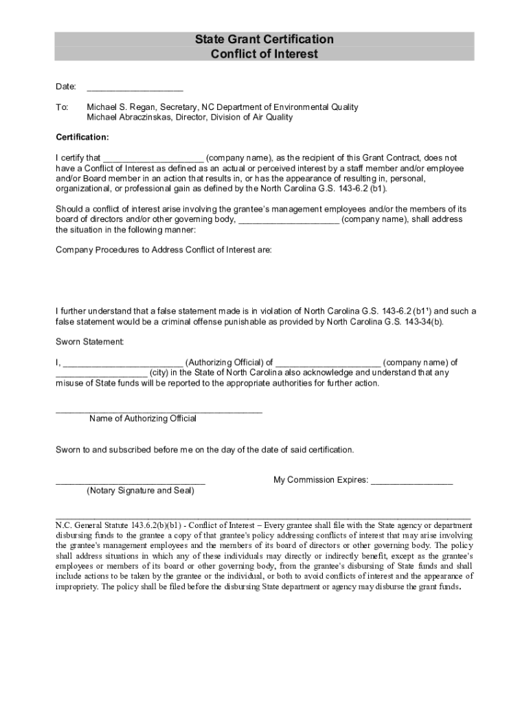
State Grant Certification Conflict of Interest Date:___To:Michael S. Regan, Secretary, NC Department of Environmental Quality Michael Abraczinskas, Director, Division of Air QualityCertification:
We are not affiliated with any brand or entity on this form
Get, Create, Make and Sign nc clean water revolving
Edit your nc clean water revolving form online
Type text, complete fillable fields, insert images, highlight or blackout data for discretion, add comments, and more.
Add your legally-binding signature
Draw or type your signature, upload a signature image, or capture it with your digital camera.
Share your form instantly
Email, fax, or share your nc clean water revolving form via URL. You can also download, print, or export forms to your preferred cloud storage service.
Editing nc clean water revolving online
Here are the steps you need to follow to get started with our professional PDF editor:
1
Create an account. Begin by choosing Start Free Trial and, if you are a new user, establish a profile.
2
Prepare a file. Use the Add New button. Then upload your file to the system from your device, importing it from internal mail, the cloud, or by adding its URL.
3
Edit nc clean water revolving. Add and change text, add new objects, move pages, add watermarks and page numbers, and more. Then click Done when you're done editing and go to the Documents tab to merge or split the file. If you want to lock or unlock the file, click the lock or unlock button.
4
Get your file. Select your file from the documents list and pick your export method. You may save it as a PDF, email it, or upload it to the cloud.
With pdfFiller, it's always easy to deal with documents.
Uncompromising security for your PDF editing and eSignature needs
Your private information is safe with pdfFiller. We employ end-to-end encryption, secure cloud storage, and advanced access control to protect your documents and maintain regulatory compliance.
How to fill out nc clean water revolving
How to fill out nc clean water revolving
01
Step 1: Gather all the necessary information and resources, such as the project details, funding requirements, and application forms.
02
Step 2: Verify if your project meets the eligibility criteria set by the NC Clean Water Revolving program.
03
Step 3: Fill out the application form accurately, providing all the required information.
04
Step 4: Attach any supporting documents or additional information as requested.
05
Step 5: Review the completed application for any errors or missing information.
06
Step 6: Submit the filled-out application and supporting documents to the appropriate department or agency.
07
Step 7: Wait for the review and evaluation process to be completed.
08
Step 8: If approved, follow the instructions provided to access the funding and implement your project.
09
Step 9: Maintain proper documentation and fulfill any reporting or monitoring requirements as necessary.
10
Step 10: Seek assistance or clarification from the NC Clean Water Revolving program if needed throughout the process.
Who needs nc clean water revolving?
01
Municipalities looking to improve their water quality and infrastructure.
02
Public water systems in need of financing for water treatment or distribution projects.
03
Local governments and agencies responsible for improving water resources in North Carolina.
04
Private or non-profit entities involved in water conservation or pollution control initiatives.
Fill
form
: Try Risk Free
For pdfFiller’s FAQs
Below is a list of the most common customer questions. If you can’t find an answer to your question, please don’t hesitate to reach out to us.
How can I modify nc clean water revolving without leaving Google Drive?
By integrating pdfFiller with Google Docs, you can streamline your document workflows and produce fillable forms that can be stored directly in Google Drive. Using the connection, you will be able to create, change, and eSign documents, including nc clean water revolving, all without having to leave Google Drive. Add pdfFiller's features to Google Drive and you'll be able to handle your documents more effectively from any device with an internet connection.
How can I get nc clean water revolving?
It's simple with pdfFiller, a full online document management tool. Access our huge online form collection (over 25M fillable forms are accessible) and find the nc clean water revolving in seconds. Open it immediately and begin modifying it with powerful editing options.
How do I edit nc clean water revolving on an iOS device?
You can. Using the pdfFiller iOS app, you can edit, distribute, and sign nc clean water revolving. Install it in seconds at the Apple Store. The app is free, but you must register to buy a subscription or start a free trial.
What is nc clean water revolving?
The NC Clean Water Revolving Fund is a low-interest loan program that provides funding for local governments to improve water quality.
Who is required to file nc clean water revolving?
Local governments and municipalities are required to file for the NC Clean Water Revolving Fund.
How to fill out nc clean water revolving?
To fill out the NC Clean Water Revolving application, local governments need to provide project details, financial information, and other supporting documents.
What is the purpose of nc clean water revolving?
The purpose of the NC Clean Water Revolving Fund is to assist local governments in financing water quality improvement projects.
What information must be reported on nc clean water revolving?
The NC Clean Water Revolving application requires information on project scope, budget, financing, and environmental impact.
Fill out your nc clean water revolving online with pdfFiller!
pdfFiller is an end-to-end solution for managing, creating, and editing documents and forms in the cloud. Save time and hassle by preparing your tax forms online.
Nc Clean Water Revolving is not the form you're looking for?Search for another form here.
Relevant keywords
Related Forms
If you believe that this page should be taken down, please follow our DMCA take down process
here
.
This form may include fields for payment information. Data entered in these fields is not covered by PCI DSS compliance.