Get the free www.uslegalforms.comform-library140717-umassUMass Dartmouth Visiting Scholar/Researc...
Show details
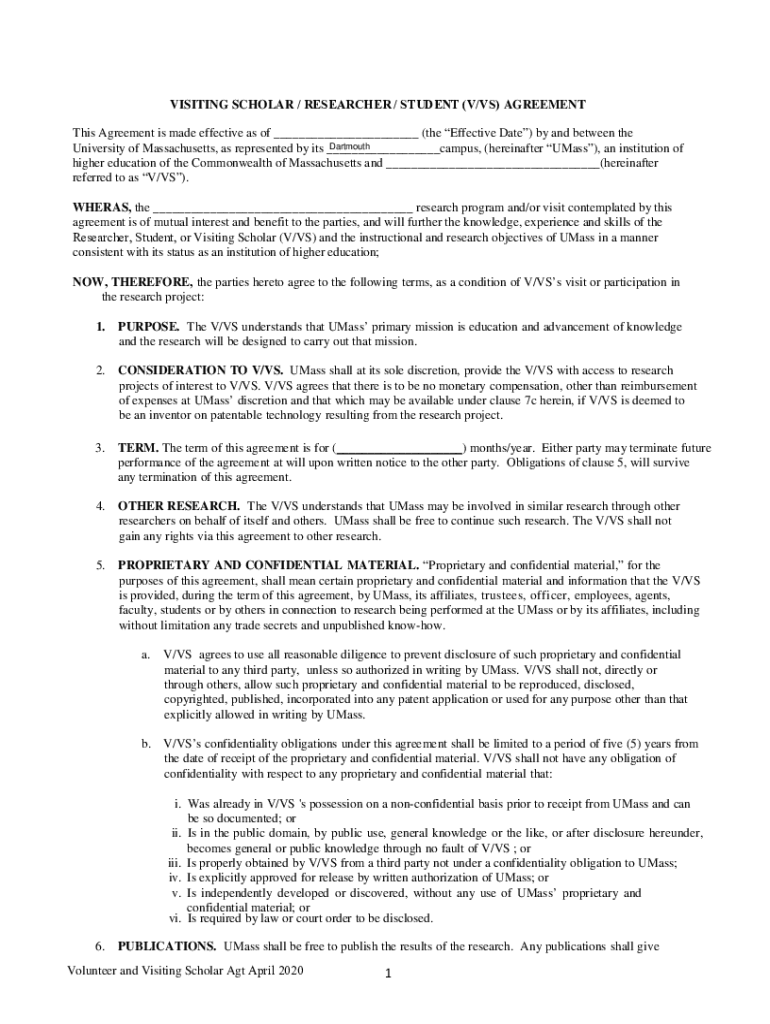
VISITING SCHOLAR / RESEARCHER / STUDENT (V/VS) AGREEMENT This Agreement is made effective as of ___ (the Effective Date) by and between the Dartmouth University of Massachusetts, as represented by
We are not affiliated with any brand or entity on this form
Get, Create, Make and Sign wwwuslegalformscomform-library140717-umassumass dartmouth visiting scholarresearc
Edit your wwwuslegalformscomform-library140717-umassumass dartmouth visiting scholarresearc form online
Type text, complete fillable fields, insert images, highlight or blackout data for discretion, add comments, and more.
Add your legally-binding signature
Draw or type your signature, upload a signature image, or capture it with your digital camera.
Share your form instantly
Email, fax, or share your wwwuslegalformscomform-library140717-umassumass dartmouth visiting scholarresearc form via URL. You can also download, print, or export forms to your preferred cloud storage service.
How to edit wwwuslegalformscomform-library140717-umassumass dartmouth visiting scholarresearc online
Follow the steps down below to use a professional PDF editor:
1
Create an account. Begin by choosing Start Free Trial and, if you are a new user, establish a profile.
2
Prepare a file. Use the Add New button. Then upload your file to the system from your device, importing it from internal mail, the cloud, or by adding its URL.
3
Edit wwwuslegalformscomform-library140717-umassumass dartmouth visiting scholarresearc. Add and replace text, insert new objects, rearrange pages, add watermarks and page numbers, and more. Click Done when you are finished editing and go to the Documents tab to merge, split, lock or unlock the file.
4
Save your file. Select it from your list of records. Then, move your cursor to the right toolbar and choose one of the exporting options. You can save it in multiple formats, download it as a PDF, send it by email, or store it in the cloud, among other things.
Dealing with documents is simple using pdfFiller. Try it right now!
Uncompromising security for your PDF editing and eSignature needs
Your private information is safe with pdfFiller. We employ end-to-end encryption, secure cloud storage, and advanced access control to protect your documents and maintain regulatory compliance.
How to fill out wwwuslegalformscomform-library140717-umassumass dartmouth visiting scholarresearc
How to fill out wwwuslegalformscomform-library140717-umassumass dartmouth visiting scholarresearcherstudent
01
Open the website www.uslegalforms.com.
02
Search for the form 'UMass Dartmouth Visiting Scholar/Researcher/Student'.
03
Click on the form to download it.
04
Save the form to your computer.
05
Open the saved form using a PDF reader.
06
Fill out the form by entering the required information in the designated fields.
07
Review the filled form for any errors or missing information.
08
Save the completed form on your computer.
09
Print the form if required.
10
Submit the filled and signed form as per the instructions provided by UMass Dartmouth.
Who needs wwwuslegalformscomform-library140717-umassumass dartmouth visiting scholarresearcherstudent?
01
Anyone who is planning to visit UMass Dartmouth as a scholar, researcher, or student and needs to fill out the necessary paperwork.
Fill
form
: Try Risk Free
For pdfFiller’s FAQs
Below is a list of the most common customer questions. If you can’t find an answer to your question, please don’t hesitate to reach out to us.
How do I edit wwwuslegalformscomform-library140717-umassumass dartmouth visiting scholarresearc in Chrome?
Add pdfFiller Google Chrome Extension to your web browser to start editing wwwuslegalformscomform-library140717-umassumass dartmouth visiting scholarresearc and other documents directly from a Google search page. The service allows you to make changes in your documents when viewing them in Chrome. Create fillable documents and edit existing PDFs from any internet-connected device with pdfFiller.
How do I edit wwwuslegalformscomform-library140717-umassumass dartmouth visiting scholarresearc on an Android device?
You can. With the pdfFiller Android app, you can edit, sign, and distribute wwwuslegalformscomform-library140717-umassumass dartmouth visiting scholarresearc from anywhere with an internet connection. Take use of the app's mobile capabilities.
How do I complete wwwuslegalformscomform-library140717-umassumass dartmouth visiting scholarresearc on an Android device?
On Android, use the pdfFiller mobile app to finish your wwwuslegalformscomform-library140717-umassumass dartmouth visiting scholarresearc. Adding, editing, deleting text, signing, annotating, and more are all available with the app. All you need is a smartphone and internet.
What is wwwuslegalformscomform-library140717-umassumass dartmouth visiting scholarresearcherstudent?
wwwuslegalformscomform-library140717-umass dartmouth visiting scholarresearcherstudent is a form for visiting scholars, researchers, or students at UMass Dartmouth to provide necessary information and comply with regulations.
Who is required to file wwwuslegalformscomform-library140717-umassumass dartmouth visiting scholarresearcherstudent?
Visiting scholars, researchers, or students at UMass Dartmouth are required to file wwwuslegalformscomform-library140717-umassumass dartmouth visiting scholarresearcherstudent.
How to fill out wwwuslegalformscomform-library140717-umassumass dartmouth visiting scholarresearcherstudent?
You can fill out wwwuslegalformscomform-library140717-umassumass dartmouth visiting scholarresearcherstudent by providing accurate information as requested in the form.
What is the purpose of wwwuslegalformscomform-library140717-umassumass dartmouth visiting scholarresearcherstudent?
The purpose of wwwuslegalformscomform-library140717-umassumass dartmouth visiting scholarresearcherstudent is to collect important information from visiting scholars, researchers, or students for administrative and regulatory purposes.
What information must be reported on wwwuslegalformscomform-library140717-umassumass dartmouth visiting scholarresearcherstudent?
wwwuslegalformscomform-library140717-umassumass dartmouth visiting scholarresearcherstudent may require reporting personal details, academic affiliation, research purpose, and contact information.
Fill out your wwwuslegalformscomform-library140717-umassumass dartmouth visiting scholarresearc online with pdfFiller!
pdfFiller is an end-to-end solution for managing, creating, and editing documents and forms in the cloud. Save time and hassle by preparing your tax forms online.
Wwwuslegalformscomform-library140717-Umassumass Dartmouth Visiting Scholarresearc is not the form you're looking for?Search for another form here.
Relevant keywords
Related Forms
If you believe that this page should be taken down, please follow our DMCA take down process
here
.
This form may include fields for payment information. Data entered in these fields is not covered by PCI DSS compliance.