Get the free Rental Application Approval Letter (Sample Letter & EmailHOME Rental Housing...
Show details
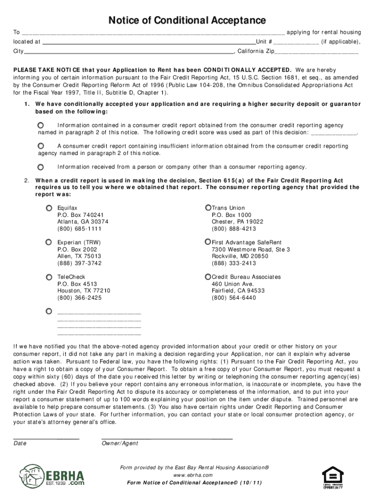
Notice of Conditional Acceptance To ___ applying for rental housing Unit #___ (if applicable), located at City, California Zip___PLEASE TAKE NOTICE that your Application to Rent has been CONDITIONALLY
We are not affiliated with any brand or entity on this form
Get, Create, Make and Sign rental application approval letter
Edit your rental application approval letter form online
Type text, complete fillable fields, insert images, highlight or blackout data for discretion, add comments, and more.
Add your legally-binding signature
Draw or type your signature, upload a signature image, or capture it with your digital camera.
Share your form instantly
Email, fax, or share your rental application approval letter form via URL. You can also download, print, or export forms to your preferred cloud storage service.
Editing rental application approval letter online
Follow the guidelines below to use a professional PDF editor:
1
Log in. Click Start Free Trial and create a profile if necessary.
2
Upload a file. Select Add New on your Dashboard and upload a file from your device or import it from the cloud, online, or internal mail. Then click Edit.
3
Edit rental application approval letter. Add and replace text, insert new objects, rearrange pages, add watermarks and page numbers, and more. Click Done when you are finished editing and go to the Documents tab to merge, split, lock or unlock the file.
4
Get your file. Select your file from the documents list and pick your export method. You may save it as a PDF, email it, or upload it to the cloud.
With pdfFiller, it's always easy to work with documents.
Uncompromising security for your PDF editing and eSignature needs
Your private information is safe with pdfFiller. We employ end-to-end encryption, secure cloud storage, and advanced access control to protect your documents and maintain regulatory compliance.
How to fill out rental application approval letter
How to fill out rental application approval letter
01
To fill out a rental application approval letter, follow these steps:
02
Start by stating your name and contact information at the top of the letter.
03
Address the letter to the appropriate landlord or rental agency.
04
Begin the letter by expressing your interest in renting the property and provide any necessary details, such as the address or unit number.
05
Clearly state the purpose of the letter, which is to request approval for your rental application.
06
Include relevant information about yourself, such as your employment status, income, and any other factors that may help support your application.
07
Provide any additional documentation or references that the landlord may require, such as a credit report or rental history.
08
Express your willingness to provide any further information or undergo any necessary background checks or screenings.
09
Thank the landlord or rental agency for considering your application and express your eagerness to move forward with the rental process.
10
End the letter with a polite closing and your signature.
11
Remember to always proofread your letter before submitting it.
12
You can also consult with a real estate advisor or attorney if you need assistance in filling out the rental application approval letter.
Who needs rental application approval letter?
01
A rental application approval letter is needed by individuals or parties who are interested in renting a property.
02
These may include individuals looking for apartments, houses, or commercial spaces for rent.
03
Landlords or property management companies may also require a rental application approval letter from prospective tenants to assess their eligibility and make informed rental decisions.
Fill
form
: Try Risk Free
For pdfFiller’s FAQs
Below is a list of the most common customer questions. If you can’t find an answer to your question, please don’t hesitate to reach out to us.
How do I edit rental application approval letter in Chrome?
Install the pdfFiller Google Chrome Extension to edit rental application approval letter and other documents straight from Google search results. When reading documents in Chrome, you may edit them. Create fillable PDFs and update existing PDFs using pdfFiller.
Can I create an eSignature for the rental application approval letter in Gmail?
When you use pdfFiller's add-on for Gmail, you can add or type a signature. You can also draw a signature. pdfFiller lets you eSign your rental application approval letter and other documents right from your email. In order to keep signed documents and your own signatures, you need to sign up for an account.
Can I edit rental application approval letter on an Android device?
The pdfFiller app for Android allows you to edit PDF files like rental application approval letter. Mobile document editing, signing, and sending. Install the app to ease document management anywhere.
What is rental application approval letter?
A rental application approval letter is a document provided by a landlord to a potential tenant confirming that their rental application has been accepted.
Who is required to file rental application approval letter?
The landlord is required to provide and file the rental application approval letter for the potential tenant.
How to fill out rental application approval letter?
The rental application approval letter can be filled out by the landlord with the necessary details related to the tenant and the rental property.
What is the purpose of rental application approval letter?
The purpose of the rental application approval letter is to officially confirm that the tenant's application has been accepted and they can proceed with signing the lease agreement.
What information must be reported on rental application approval letter?
The rental application approval letter should include details such as the tenant's name, the rental property address, the date of approval, and any specific terms or conditions of the lease.
Fill out your rental application approval letter online with pdfFiller!
pdfFiller is an end-to-end solution for managing, creating, and editing documents and forms in the cloud. Save time and hassle by preparing your tax forms online.
Rental Application Approval Letter is not the form you're looking for?Search for another form here.
Relevant keywords
Related Forms
If you believe that this page should be taken down, please follow our DMCA take down process
here
.
This form may include fields for payment information. Data entered in these fields is not covered by PCI DSS compliance.