
Get the free Public Address Procedures Moore County Board of Education - SharpSchool
Show details
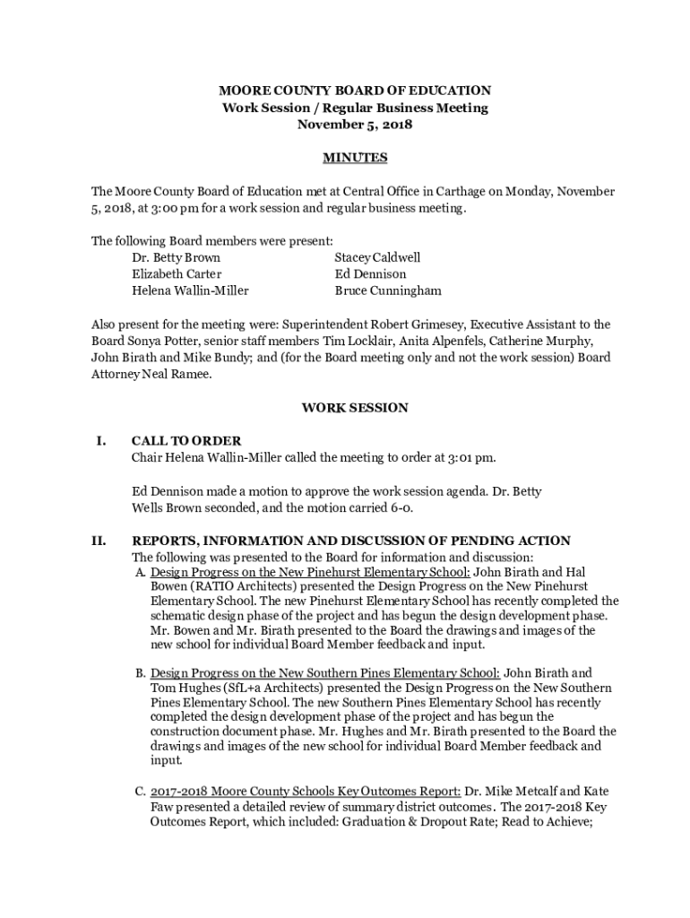
MOORE COUNTY BOARD OF EDUCATION Work Session / Regular Business Meeting November 5, 2018, MINUTES The Moore County Board of Education met at Central Office in Carthage on Monday, November 5, 2018,
We are not affiliated with any brand or entity on this form
Get, Create, Make and Sign public address procedures moore

Edit your public address procedures moore form online
Type text, complete fillable fields, insert images, highlight or blackout data for discretion, add comments, and more.

Add your legally-binding signature
Draw or type your signature, upload a signature image, or capture it with your digital camera.

Share your form instantly
Email, fax, or share your public address procedures moore form via URL. You can also download, print, or export forms to your preferred cloud storage service.
How to edit public address procedures moore online
To use the professional PDF editor, follow these steps:
1
Set up an account. If you are a new user, click Start Free Trial and establish a profile.
2
Prepare a file. Use the Add New button to start a new project. Then, using your device, upload your file to the system by importing it from internal mail, the cloud, or adding its URL.
3
Edit public address procedures moore. Replace text, adding objects, rearranging pages, and more. Then select the Documents tab to combine, divide, lock or unlock the file.
4
Save your file. Choose it from the list of records. Then, shift the pointer to the right toolbar and select one of the several exporting methods: save it in multiple formats, download it as a PDF, email it, or save it to the cloud.
With pdfFiller, it's always easy to deal with documents.
Uncompromising security for your PDF editing and eSignature needs
Your private information is safe with pdfFiller. We employ end-to-end encryption, secure cloud storage, and advanced access control to protect your documents and maintain regulatory compliance.
How to fill out public address procedures moore

How to fill out public address procedures moore
01
To fill out public address procedures in Moore, follow these steps:
02
Begin by accessing the appropriate form or document for public address procedures in Moore. This may be available online or provided by the relevant authorities.
03
Read through the instructions and requirements carefully to ensure you understand what information needs to be provided.
04
Start by entering your personal details such as your name, address, contact information, and any other required identification details.
05
Provide specific details about the event or situation for which the public address procedures are being filled out. This may include the date, time, location, and purpose of the event or any relevant details related to the situation.
06
Clearly state the message or announcement that needs to be delivered over the public address system. Make sure it is concise, clear, and conveys the necessary information.
07
Include any additional information or instructions that may be needed for the public address procedures.
08
Review the completed form or document to ensure all the provided information is accurate and complete.
09
Sign and date the form where required, and make a copy for your records if necessary.
10
Submit the filled-out public address procedures form to the appropriate authorities or follow the specified submission process as per the instructions provided.
11
Follow up with the relevant authorities or organization to confirm that your public address procedures have been received and processed correctly.
Who needs public address procedures moore?
01
Public address procedures in Moore are needed by individuals, organizations, or event planners who require a systematic and organized way of delivering messages or announcements to a large audience.
02
This may include:
03
- Event organizers who need to make important announcements or provide instructions to participants and attendees.
04
- Emergency response teams or authorities who need to issue public alerts or instructions during crisis situations.
05
- Public facilities or venues that regularly use public address systems, such as stadiums, theaters, or transportation hubs.
06
- Government agencies or organizations responsible for public safety and communication.
07
- Educational institutions or schools that require guidelines for public address systems during assemblies, events, or emergencies.
08
- Businesses or workplaces that need to communicate important messages or announcements to employees or customers.
09
- Any individual or group that wishes to ensure effective communication to a large audience in Moore.
Fill
form
: Try Risk Free
For pdfFiller’s FAQs
Below is a list of the most common customer questions. If you can’t find an answer to your question, please don’t hesitate to reach out to us.
How can I get public address procedures moore?
The premium version of pdfFiller gives you access to a huge library of fillable forms (more than 25 million fillable templates). You can download, fill out, print, and sign them all. State-specific public address procedures moore and other forms will be easy to find in the library. Find the template you need and use advanced editing tools to make it your own.
How do I complete public address procedures moore online?
pdfFiller has made filling out and eSigning public address procedures moore easy. The solution is equipped with a set of features that enable you to edit and rearrange PDF content, add fillable fields, and eSign the document. Start a free trial to explore all the capabilities of pdfFiller, the ultimate document editing solution.
Can I edit public address procedures moore on an Android device?
You can make any changes to PDF files, such as public address procedures moore, with the help of the pdfFiller mobile app for Android. Edit, sign, and send documents right from your mobile device. Install the app and streamline your document management wherever you are.
What is public address procedures moore?
Public address procedures moore refer to the guidelines and protocols for announcing important information or updates to the general public.
Who is required to file public address procedures moore?
Public address procedures moore must be filed by organizations or entities responsible for communicating information to the public.
How to fill out public address procedures moore?
Public address procedures moore can be filled out by following the specific instructions provided by the organization or regulatory body.
What is the purpose of public address procedures moore?
The purpose of public address procedures moore is to ensure clear and effective communication with the public in case of emergencies or important announcements.
What information must be reported on public address procedures moore?
Public address procedures moore may require information such as contact details, message templates, emergency protocols, and communication channels.
Fill out your public address procedures moore online with pdfFiller!
pdfFiller is an end-to-end solution for managing, creating, and editing documents and forms in the cloud. Save time and hassle by preparing your tax forms online.

Public Address Procedures Moore is not the form you're looking for?Search for another form here.
Relevant keywords
Related Forms
If you believe that this page should be taken down, please follow our DMCA take down process
here
.
This form may include fields for payment information. Data entered in these fields is not covered by PCI DSS compliance.